Assessing the Feasibility and Efficacy of Virtual Reality Navigational Training for Older Adults.

IF 4.3 3区 医学 Q1 GERIATRICS & GERONTOLOGY
Innovation in Aging Pub Date : 2024-12-12 eCollection Date: 2025-01-01 DOI:10.1093/geroni/igae099
Tong Bill Xu, Armin Mostafavi, Walter R Boot, Sara Czaja, Saleh Kalantari
{"title":"Assessing the Feasibility and Efficacy of Virtual Reality Navigational Training for Older Adults.","authors":"Tong Bill Xu, Armin Mostafavi, Walter R Boot, Sara Czaja, Saleh Kalantari","doi":"10.1093/geroni/igae099","DOIUrl":null,"url":null,"abstract":"<p><strong>Background and objectives: </strong>This study evaluates the feasibility of virtual reality (VR) wayfinding training with aging adults and assesses the impact of the training on wayfinding performance.</p><p><strong>Research design and methods: </strong>49 participants were recruited using a convenience sample approach. Wayfinding tasks were conducted by 3 participant groups: active VR training, passive video training, and no training, assigned randomly. The training featured 5 tasks in a digital version of a real building. Post-training assessments used 10 tasks in this same building, half of the tasks familiar from the training and half new. The study was double-blinded, with each intervention lasting 10 min. The primary outcomes include the Distance Traveled and Duration for each wayfinding task, with a fixed 10-min limit.</p><p><strong>Results: </strong>Participants in the VR group reported moderate usability and a high sense of Self Location in the environment with respect to the training intervention. No significant differences were found in performance for the first group of similar wayfinding tasks; however, in the subsequent set of new tasks the VR group significantly outperformed the Control group. This suggests a possible spatial learning effect across multiple exposures (VR training followed by similar task). No adverse effects were reported during or post intervention.</p><p><strong>Discussion and implications: </strong>This study provides preliminary evidence that VR training can help to improve wayfinding performance in older adults with no reported adverse effects.</p>","PeriodicalId":13596,"journal":{"name":"Innovation in Aging","volume":"9 1","pages":"igae099"},"PeriodicalIF":4.3000,"publicationDate":"2024-12-12","publicationTypes":"Journal Article","fieldsOfStudy":null,"isOpenAccess":false,"openAccessPdf":"https://www.ncbi.nlm.nih.gov/pmc/articles/PMC11705671/pdf/","citationCount":"0","resultStr":null,"platform":"Semanticscholar","paperid":null,"PeriodicalName":"Innovation in Aging","FirstCategoryId":"3","ListUrlMain":"https://doi.org/10.1093/geroni/igae099","RegionNum":3,"RegionCategory":"医学","ArticlePicture":[],"TitleCN":null,"AbstractTextCN":null,"PMCID":null,"EPubDate":"2025/1/1 0:00:00","PubModel":"eCollection","JCR":"Q1","JCRName":"GERIATRICS & GERONTOLOGY","Score":null,"Total":0}
引用次数: 0

Abstract

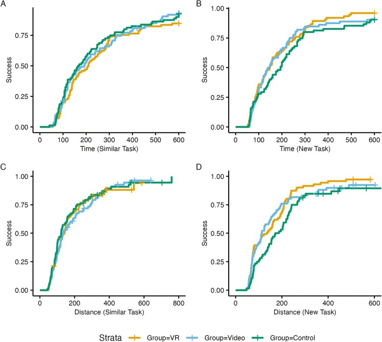
Background and objectives: This study evaluates the feasibility of virtual reality (VR) wayfinding training with aging adults and assesses the impact of the training on wayfinding performance.

Research design and methods: 49 participants were recruited using a convenience sample approach. Wayfinding tasks were conducted by 3 participant groups: active VR training, passive video training, and no training, assigned randomly. The training featured 5 tasks in a digital version of a real building. Post-training assessments used 10 tasks in this same building, half of the tasks familiar from the training and half new. The study was double-blinded, with each intervention lasting 10 min. The primary outcomes include the Distance Traveled and Duration for each wayfinding task, with a fixed 10-min limit.

Results: Participants in the VR group reported moderate usability and a high sense of Self Location in the environment with respect to the training intervention. No significant differences were found in performance for the first group of similar wayfinding tasks; however, in the subsequent set of new tasks the VR group significantly outperformed the Control group. This suggests a possible spatial learning effect across multiple exposures (VR training followed by similar task). No adverse effects were reported during or post intervention.

Discussion and implications: This study provides preliminary evidence that VR training can help to improve wayfinding performance in older adults with no reported adverse effects.

Abstract Image

Abstract Image

评估老年人虚拟现实导航训练的可行性和有效性。
背景与目的:本研究评估老年人虚拟现实(VR)寻路训练的可行性,并评估训练对寻路表现的影响。研究设计与方法:采用方便抽样法,共招募49名受试者。寻路任务分为主动VR训练组、被动视频训练组和无训练组,随机分配。该培训在真实建筑的数字版本中包含5个任务。培训后评估在同一栋楼里使用了10个任务,其中一半是培训时熟悉的任务,另一半是新的任务。该研究采用双盲法,每次干预持续10分钟。主要结果包括每个寻路任务的行进距离和持续时间,固定为10分钟。结果:在训练干预方面,VR组的参与者报告了适度的可用性和高度的自我定位感。在第一组相似的寻路任务中,没有发现显著差异;然而,在随后的一系列新任务中,虚拟现实组的表现明显优于对照组。这表明在多次暴露(VR训练之后是类似的任务)中可能存在空间学习效应。干预期间和干预后均无不良反应报告。讨论和启示:本研究提供了初步证据,证明VR训练可以帮助提高老年人的寻路能力,没有报道的不良反应。
本文章由计算机程序翻译,如有差异,请以英文原文为准。
求助全文
约1分钟内获得全文 求助全文
来源期刊
Innovation in Aging
Innovation in Aging GERIATRICS & GERONTOLOGY-
CiteScore
4.10
自引率
0.00%
发文量
72
审稿时长
15 weeks
期刊介绍: Innovation in Aging, an interdisciplinary Open Access journal of the Gerontological Society of America (GSA), is dedicated to publishing innovative, conceptually robust, and methodologically rigorous research focused on aging and the life course. The journal aims to present studies with the potential to significantly enhance the health, functionality, and overall well-being of older adults by translating scientific insights into practical applications. Research published in the journal spans a variety of settings, including community, clinical, and laboratory contexts, with a clear emphasis on issues that are directly pertinent to aging and the dynamics of life over time. The content of the journal mirrors the diverse research interests of GSA members and encompasses a range of study types. These include the validation of new conceptual or theoretical models, assessments of factors impacting the health and well-being of older adults, evaluations of interventions and policies, the implementation of groundbreaking research methodologies, interdisciplinary research that adapts concepts and methods from other fields to aging studies, and the use of modeling and simulations to understand factors and processes influencing aging outcomes. The journal welcomes contributions from scholars across various disciplines, such as technology, engineering, architecture, economics, business, law, political science, public policy, education, public health, social and psychological sciences, biomedical and health sciences, and the humanities and arts, reflecting a holistic approach to advancing knowledge in gerontology.
×
引用
GB/T 7714-2015
复制
MLA
复制
APA
复制
导出至
BibTeX EndNote RefMan NoteFirst NoteExpress
×
提示
您的信息不完整,为了账户安全,请先补充。
现在去补充
×
提示
您因"违规操作"
具体请查看互助需知
我知道了
×
提示
确定
请完成安全验证×
copy
已复制链接
快去分享给好友吧!
我知道了
右上角分享
点击右上角分享
0
联系我们:info@booksci.cn Book学术提供免费学术资源搜索服务,方便国内外学者检索中英文文献。致力于提供最便捷和优质的服务体验。 Copyright © 2023 布克学术 All rights reserved.
京ICP备2023020795号-1
ghs 京公网安备 11010802042870号
Book学术文献互助
Book学术文献互助群
群 号:604180095
Book学术官方微信