Exercise Stress Testing Enhances Plasma Protein Carbonyl Levels in Patients With Asymptomatic Moderate-to-Severe Aortic Stenosis.

2区 生物学 Q1 Biochemistry, Genetics and Molecular Biology
Oxidative Medicine and Cellular Longevity Pub Date : 2024-12-20 eCollection Date: 2024-01-01 DOI:10.1155/omcl/4852300
Magdalena Kopytek, Renata Kolasa-Trela, Krzysztof Piotr Malinowski, Michał Ząbczyk, Joanna Natorska, Anetta Undas
{"title":"Exercise Stress Testing Enhances Plasma Protein Carbonyl Levels in Patients With Asymptomatic Moderate-to-Severe Aortic Stenosis.","authors":"Magdalena Kopytek, Renata Kolasa-Trela, Krzysztof Piotr Malinowski, Michał Ząbczyk, Joanna Natorska, Anetta Undas","doi":"10.1155/omcl/4852300","DOIUrl":null,"url":null,"abstract":"<p><p><b>Background:</b> Exercise stress test-induced hypofibrinolysis and changes in circulating levels of several interleukins have been observed in aortic stenosis (AS). However, it is unknown whether the pattern of exercise-induced changes in oxidative stress differs between AS patients and controls and if the differences are associated with changes in fibrinolysis and inflammation. <b>Methods:</b> We studied 32 asymptomatic patients with moderate-to-severe AS and 32 controls of similar age, sex, and body mass index. We assessed plasma protein carbonyl (PC) concentrations, a marker of oxidative stress, in relation to interleukin (IL)-10 and -6 levels and fibrinolysis capacity, expressed as plasma clot lysis time (CLT) at four time points: at baseline, at peak exercise, 1 and 24 h after a symptom-limited exercise test. <b>Results:</b> AS patients had 12.8% and 27% higher PC concentrations 1 and 24 h after exercise than controls (both <i>p</i>  < 0.05), with no differences at baseline and peak exercise. In AS patients, PC concentration was 8.3% higher at peak exercise compared to baseline followed by further PC increase (+12.8% at 1 h and +20.5% at 24 h) compared to peak exercise (all <i>p</i>  < 0.05). In controls, PC concentrations increased during exercise, reaching the highest values 1 h after exercise (+21.9%). In the AS group, PC concentrations at baseline correlated with AS severity measured as peak transvalvular velocity (<i>V</i> <sub>max</sub>: <i>r</i> = 0.49, <i>p</i>  < 0.05), mean (PG<sub>mean</sub>: <i>r</i> = 0.42, <i>p</i>  < 0.05), and maximal transvalvular pressure gradients (PG<sub>max</sub>: <i>r</i> = 0.41, <i>p</i>  < 0.05). PC concentrations correlated with IL-10 levels 1 h (<i>r</i> = 0.37, <i>p</i>  < 0.05) and 24 h (<i>r</i> = 0.38, <i>p</i>  < 0.05) post exercise in AS patients, whereas in controls only at baseline (<i>r</i> = 0.42, <i>p</i>  < 0.05). No associations between PC levels and IL-6 or CLT were observed at any time point. <b>Conclusions:</b> Our findings show that AS patients respond differently to exercise in terms of PC compared to controls, which suggests a novel effect of hemodynamic abnormalities in this disease on intensity of oxidative stress.</p>","PeriodicalId":19657,"journal":{"name":"Oxidative Medicine and Cellular Longevity","volume":"2024 ","pages":"4852300"},"PeriodicalIF":0.0000,"publicationDate":"2024-12-20","publicationTypes":"Journal Article","fieldsOfStudy":null,"isOpenAccess":false,"openAccessPdf":"https://www.ncbi.nlm.nih.gov/pmc/articles/PMC11679273/pdf/","citationCount":"0","resultStr":null,"platform":"Semanticscholar","paperid":null,"PeriodicalName":"Oxidative Medicine and Cellular Longevity","FirstCategoryId":"99","ListUrlMain":"https://doi.org/10.1155/omcl/4852300","RegionNum":2,"RegionCategory":"生物学","ArticlePicture":[],"TitleCN":null,"AbstractTextCN":null,"PMCID":null,"EPubDate":"2024/1/1 0:00:00","PubModel":"eCollection","JCR":"Q1","JCRName":"Biochemistry, Genetics and Molecular Biology","Score":null,"Total":0}
引用次数: 0

Abstract

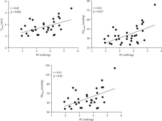
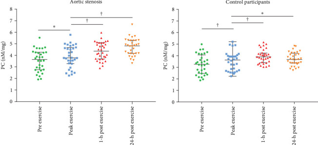
Background: Exercise stress test-induced hypofibrinolysis and changes in circulating levels of several interleukins have been observed in aortic stenosis (AS). However, it is unknown whether the pattern of exercise-induced changes in oxidative stress differs between AS patients and controls and if the differences are associated with changes in fibrinolysis and inflammation. Methods: We studied 32 asymptomatic patients with moderate-to-severe AS and 32 controls of similar age, sex, and body mass index. We assessed plasma protein carbonyl (PC) concentrations, a marker of oxidative stress, in relation to interleukin (IL)-10 and -6 levels and fibrinolysis capacity, expressed as plasma clot lysis time (CLT) at four time points: at baseline, at peak exercise, 1 and 24 h after a symptom-limited exercise test. Results: AS patients had 12.8% and 27% higher PC concentrations 1 and 24 h after exercise than controls (both p  < 0.05), with no differences at baseline and peak exercise. In AS patients, PC concentration was 8.3% higher at peak exercise compared to baseline followed by further PC increase (+12.8% at 1 h and +20.5% at 24 h) compared to peak exercise (all p  < 0.05). In controls, PC concentrations increased during exercise, reaching the highest values 1 h after exercise (+21.9%). In the AS group, PC concentrations at baseline correlated with AS severity measured as peak transvalvular velocity (V max: r = 0.49, p  < 0.05), mean (PGmean: r = 0.42, p  < 0.05), and maximal transvalvular pressure gradients (PGmax: r = 0.41, p  < 0.05). PC concentrations correlated with IL-10 levels 1 h (r = 0.37, p  < 0.05) and 24 h (r = 0.38, p  < 0.05) post exercise in AS patients, whereas in controls only at baseline (r = 0.42, p  < 0.05). No associations between PC levels and IL-6 or CLT were observed at any time point. Conclusions: Our findings show that AS patients respond differently to exercise in terms of PC compared to controls, which suggests a novel effect of hemodynamic abnormalities in this disease on intensity of oxidative stress.

Abstract Image

Abstract Image

Abstract Image

运动应激试验提高无症状中重度主动脉瓣狭窄患者血浆蛋白羰基水平
背景:在主动脉狭窄(AS)中观察到运动应激试验引起的低纤溶和几种白细胞介素循环水平的变化。然而,运动引起的氧化应激变化模式在AS患者和对照组之间是否不同,以及这种差异是否与纤维蛋白溶解和炎症的变化有关,目前尚不清楚。方法:我们研究了32例无症状的中重度AS患者和32例年龄、性别和体重指数相似的对照组。我们评估了血浆蛋白羰基(PC)浓度(氧化应激的标志物)与白细胞介素(IL)-10和-6水平和纤溶能力的关系,以血浆凝块溶解时间(CLT)表示,在四个时间点:基线时,运动高峰时,症状受限运动试验后1和24小时。结果:AS患者运动后1 h和24 h PC浓度分别比对照组高12.8%和27%(均p < 0.05),基线和运动峰值无差异。在AS患者中,与基线相比,峰值运动时PC浓度升高8.3%,随后与峰值运动相比PC进一步升高(1小时+12.8%,24小时+20.5%)(均p < 0.05)。在对照组中,PC浓度在运动过程中升高,运动后1 h达到最高值(+21.9%)。在AS组中,基线时PC浓度与AS严重程度相关,测量为经瓣速度峰值(vmax: r = 0.49, p < 0.05)、平均值(PGmean: r = 0.42, p < 0.05)和最大经瓣压力梯度(PGmax: r = 0.41, p < 0.05)。AS患者运动后1小时(r = 0.37, p < 0.05)和24小时(r = 0.38, p < 0.05) PC浓度与IL-10水平相关,而对照组仅在基线时相关(r = 0.42, p < 0.05)。在任何时间点均未观察到PC水平与IL-6或CLT之间的关联。结论:我们的研究结果表明,与对照组相比,AS患者对运动的PC反应不同,这表明该疾病中血液动力学异常对氧化应激强度有新的影响。
本文章由计算机程序翻译,如有差异,请以英文原文为准。
求助全文
约1分钟内获得全文 求助全文
来源期刊
CiteScore
13.20
自引率
0.00%
发文量
1274
审稿时长
3-8 weeks
期刊介绍: Oxidative Medicine and Cellular Longevity is a unique peer-reviewed, Open Access journal that publishes original research and review articles dealing with the cellular and molecular mechanisms of oxidative stress in the nervous system and related organ systems in relation to aging, immune function, vascular biology, metabolism, cellular survival and cellular longevity. Oxidative stress impacts almost all acute and chronic progressive disorders and on a cellular basis is intimately linked to aging, cardiovascular disease, cancer, immune function, metabolism and neurodegeneration. The journal fills a significant void in today’s scientific literature and serves as an international forum for the scientific community worldwide to translate pioneering “bench to bedside” research into clinical strategies.
×
引用
GB/T 7714-2015
复制
MLA
复制
APA
复制
导出至
BibTeX EndNote RefMan NoteFirst NoteExpress
×
提示
您的信息不完整,为了账户安全,请先补充。
现在去补充
×
提示
您因"违规操作"
具体请查看互助需知
我知道了
×
提示
确定
请完成安全验证×
copy
已复制链接
快去分享给好友吧!
我知道了
右上角分享
点击右上角分享
0
联系我们:info@booksci.cn Book学术提供免费学术资源搜索服务,方便国内外学者检索中英文文献。致力于提供最便捷和优质的服务体验。 Copyright © 2023 布克学术 All rights reserved.
京ICP备2023020795号-1
ghs 京公网安备 11010802042870号
Book学术文献互助
Book学术文献互助群
群 号:604180095
Book学术官方微信