Machine learning approaches and genetic determinants that influence the development of type 2 diabetes mellitus: a genetic association study in Brazilian patients.

IF 1.9 4区 医学 Q2 BIOLOGY
K F Santos, L P Assunção, R S Santos, A A S Reis
{"title":"Machine learning approaches and genetic determinants that influence the development of type 2 diabetes mellitus: a genetic association study in Brazilian patients.","authors":"K F Santos, L P Assunção, R S Santos, A A S Reis","doi":"10.1590/1414-431X2024e13957","DOIUrl":null,"url":null,"abstract":"<p><p>This genetic association study including 120 patients with type 2 diabetes mellitus (T2DM) and 166 non-diabetic individuals aimed to investigate the association of polymorphisms in the genes GSTM1 and GSTT1 (gene deletion), GSTP1 (rs1695), ACE (rs4646994), ACE2 (rs2285666), VEGF-A (rs28357093), and MTHFR (rs1801133) with the development of T2DM in the population of Goiás, Brazil. Additionally, the combined effects of these polymorphisms and the possible differences between sexes in susceptibility to the disease were evaluated. Finally, machine learning models were integrated to select the main risk characteristics for the T2DM diagnosis. Risk associations were found for the GSTT1-null genotype in the non-stratified sample and females, and for mutant C allele of the VEGF-A rs28357093 polymorphism in the non-stratified sample. Furthermore, an association of heterozygous (AG) and mutant (GG) GSTP1 genotypes was observed when combined with GSTT1-null. Machine learning approaches corroborated the results found. Therefore, these results suggested that GSTT1 and GSTP1 polymorphisms may contribute to T2DM susceptibility in a Brazilian sample.</p>","PeriodicalId":9088,"journal":{"name":"Brazilian Journal of Medical and Biological Research","volume":"57 ","pages":"e13957"},"PeriodicalIF":1.9000,"publicationDate":"2024-12-02","publicationTypes":"Journal Article","fieldsOfStudy":null,"isOpenAccess":false,"openAccessPdf":"https://www.ncbi.nlm.nih.gov/pmc/articles/PMC11653484/pdf/","citationCount":"0","resultStr":null,"platform":"Semanticscholar","paperid":null,"PeriodicalName":"Brazilian Journal of Medical and Biological Research","FirstCategoryId":"3","ListUrlMain":"https://doi.org/10.1590/1414-431X2024e13957","RegionNum":4,"RegionCategory":"医学","ArticlePicture":[],"TitleCN":null,"AbstractTextCN":null,"PMCID":null,"EPubDate":"2024/1/1 0:00:00","PubModel":"eCollection","JCR":"Q2","JCRName":"BIOLOGY","Score":null,"Total":0}
引用次数: 0

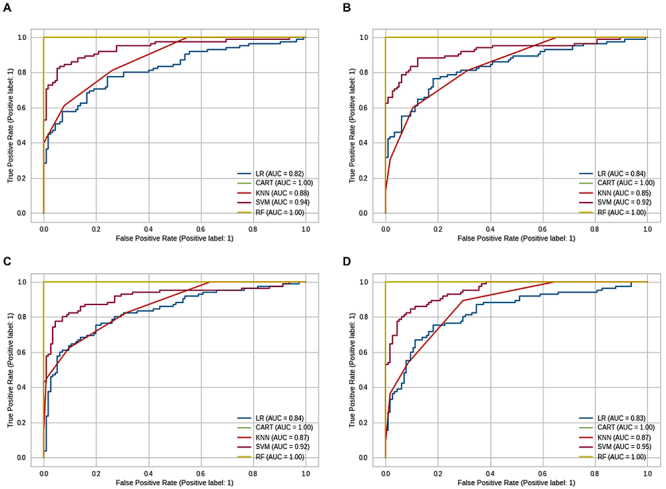
Abstract

This genetic association study including 120 patients with type 2 diabetes mellitus (T2DM) and 166 non-diabetic individuals aimed to investigate the association of polymorphisms in the genes GSTM1 and GSTT1 (gene deletion), GSTP1 (rs1695), ACE (rs4646994), ACE2 (rs2285666), VEGF-A (rs28357093), and MTHFR (rs1801133) with the development of T2DM in the population of Goiás, Brazil. Additionally, the combined effects of these polymorphisms and the possible differences between sexes in susceptibility to the disease were evaluated. Finally, machine learning models were integrated to select the main risk characteristics for the T2DM diagnosis. Risk associations were found for the GSTT1-null genotype in the non-stratified sample and females, and for mutant C allele of the VEGF-A rs28357093 polymorphism in the non-stratified sample. Furthermore, an association of heterozygous (AG) and mutant (GG) GSTP1 genotypes was observed when combined with GSTT1-null. Machine learning approaches corroborated the results found. Therefore, these results suggested that GSTT1 and GSTP1 polymorphisms may contribute to T2DM susceptibility in a Brazilian sample.

Abstract Image

Abstract Image

Abstract Image

机器学习方法和影响2型糖尿病发展的遗传决定因素:巴西患者的遗传关联研究
这项遗传关联研究包括120例2型糖尿病(T2DM)患者和166例非糖尿病个体,旨在研究巴西Goiás人群中GSTM1和GSTT1(基因缺失)、GSTP1 (rs1695)、ACE (rs4646994)、ACE2 (rs2285666)、VEGF-A (rs28357093)和MTHFR (rs1801133)基因多态性与T2DM发生的关系。此外,这些多态性的综合影响和对疾病易感性的性别之间可能的差异进行了评估。最后,结合机器学习模型选择T2DM诊断的主要风险特征。在非分层样本和女性中发现了GSTT1-null基因型的风险关联,在非分层样本中发现了VEGF-A rs28357093多态性突变基因C的风险关联。此外,当与GSTT1-null组合时,观察到杂合型(AG)和突变型(GG) GSTP1基因型的关联。机器学习方法证实了发现的结果。因此,这些结果表明,GSTT1和GSTP1多态性可能与巴西样本中的T2DM易感性有关。
本文章由计算机程序翻译,如有差异,请以英文原文为准。
求助全文
约1分钟内获得全文 求助全文
来源期刊
CiteScore
4.00
自引率
0.00%
发文量
129
审稿时长
2 months
期刊介绍: The Brazilian Journal of Medical and Biological Research, founded by Michel Jamra, is edited and published monthly by the Associação Brasileira de Divulgação Científica (ABDC), a federation of Brazilian scientific societies: - Sociedade Brasileira de Biofísica (SBBf) - Sociedade Brasileira de Farmacologia e Terapêutica Experimental (SBFTE) - Sociedade Brasileira de Fisiologia (SBFis) - Sociedade Brasileira de Imunologia (SBI) - Sociedade Brasileira de Investigação Clínica (SBIC) - Sociedade Brasileira de Neurociências e Comportamento (SBNeC).
×
引用
GB/T 7714-2015
复制
MLA
复制
APA
复制
导出至
BibTeX EndNote RefMan NoteFirst NoteExpress
×
提示
您的信息不完整,为了账户安全,请先补充。
现在去补充
×
提示
您因"违规操作"
具体请查看互助需知
我知道了
×
提示
确定
请完成安全验证×
copy
已复制链接
快去分享给好友吧!
我知道了
右上角分享
点击右上角分享
0
联系我们:info@booksci.cn Book学术提供免费学术资源搜索服务,方便国内外学者检索中英文文献。致力于提供最便捷和优质的服务体验。 Copyright © 2023 布克学术 All rights reserved.
京ICP备2023020795号-1
ghs 京公网安备 11010802042870号
Book学术文献互助
Book学术文献互助群
群 号:604180095
Book学术官方微信