COVID-19 public health restrictions and opioid overdoes: a summative content analysis of emergency medical services records in three Texas counties.

IF 3 3区 医学 Q2 SUBSTANCE ABUSE
S Scott Graham, Nandini Sharma, Tristin B Hooker, Kimberlyn Harrison, Kasey Claborn
{"title":"COVID-19 public health restrictions and opioid overdoes: a summative content analysis of emergency medical services records in three Texas counties.","authors":"S Scott Graham, Nandini Sharma, Tristin B Hooker, Kimberlyn Harrison, Kasey Claborn","doi":"10.1186/s13011-024-00627-5","DOIUrl":null,"url":null,"abstract":"<p><strong>Background: </strong>With the broad recognition of increased U.S. opioid overdose (OOD) rates between 2020 and 2021, media, public health, and healthcare organizations have raised significant concerns over the emergence of a simultaneous COVID-19-opioid \"twindemic.\" Research in this area has explored the possible relationships between negative externalities associated with the pandemic and/or COVID-19 public health interventions and increased risks for opioid use and overdose alongside diminished outcomes following OOD events.</p><p><strong>Methods: </strong>The study offers a summative content analysis of Emergency Medical Service (EMS) responses to opioid overdose (OOD) events before and after the institution of COVID-19 restrictions. Specifically, the study investigates three Texas counties to evaluate changing OOD rates, patient demographics, and OOD event features. The analysis uses a previously validated machine learning tool to identify OOD events and conducted a summative content analysis of identified events.</p><p><strong>Results: </strong>A total of 1170 OOD responses events were identified in the three-county dataset. This includes 874 in Travis County, 242 in El Paso County, and 54 in Williamson County. Each county experienced modest changes in EMS calls for OOD events between the pre-restriction and public health restriction time periods. Travis County's OOD event rate declined from 454 to 420. El Paso's increased from 103 to 139, and Williamson County's increased from 23 to 31. These changes were not significant as percentage of possible OOD events or based on by-month comparison. The notable differences between pre-restriction and public health restriction periods were significant decreases in documentation of patient race/ethnicity in Travis and Williamson Counties, significant decreases in housing insecurity and use alone in Travis County, and an increase in transport refusal after treatment in the field in Travis County.</p><p><strong>Conclusions: </strong>Ultimately the results presented here problematize prevailing analyses about the so-called opioid-COVID-19 \"twindemic.\" The data further support emerging trends about substantial geographic variation and show some ways that COVID-19 mitigation measures may have improved conditions for some populations, particularly in terms of housing security. Additionally, the results presented here indicate that further attention should be paid to the effects of first responder stress on documentation quality.</p>","PeriodicalId":22041,"journal":{"name":"Substance Abuse Treatment, Prevention, and Policy","volume":"19 1","pages":"45"},"PeriodicalIF":3.0000,"publicationDate":"2024-11-08","publicationTypes":"Journal Article","fieldsOfStudy":null,"isOpenAccess":false,"openAccessPdf":"https://www.ncbi.nlm.nih.gov/pmc/articles/PMC11545770/pdf/","citationCount":"0","resultStr":null,"platform":"Semanticscholar","paperid":null,"PeriodicalName":"Substance Abuse Treatment, Prevention, and Policy","FirstCategoryId":"3","ListUrlMain":"https://doi.org/10.1186/s13011-024-00627-5","RegionNum":3,"RegionCategory":"医学","ArticlePicture":[],"TitleCN":null,"AbstractTextCN":null,"PMCID":null,"EPubDate":"","PubModel":"","JCR":"Q2","JCRName":"SUBSTANCE ABUSE","Score":null,"Total":0}
引用次数: 0

Abstract

Background: With the broad recognition of increased U.S. opioid overdose (OOD) rates between 2020 and 2021, media, public health, and healthcare organizations have raised significant concerns over the emergence of a simultaneous COVID-19-opioid "twindemic." Research in this area has explored the possible relationships between negative externalities associated with the pandemic and/or COVID-19 public health interventions and increased risks for opioid use and overdose alongside diminished outcomes following OOD events.

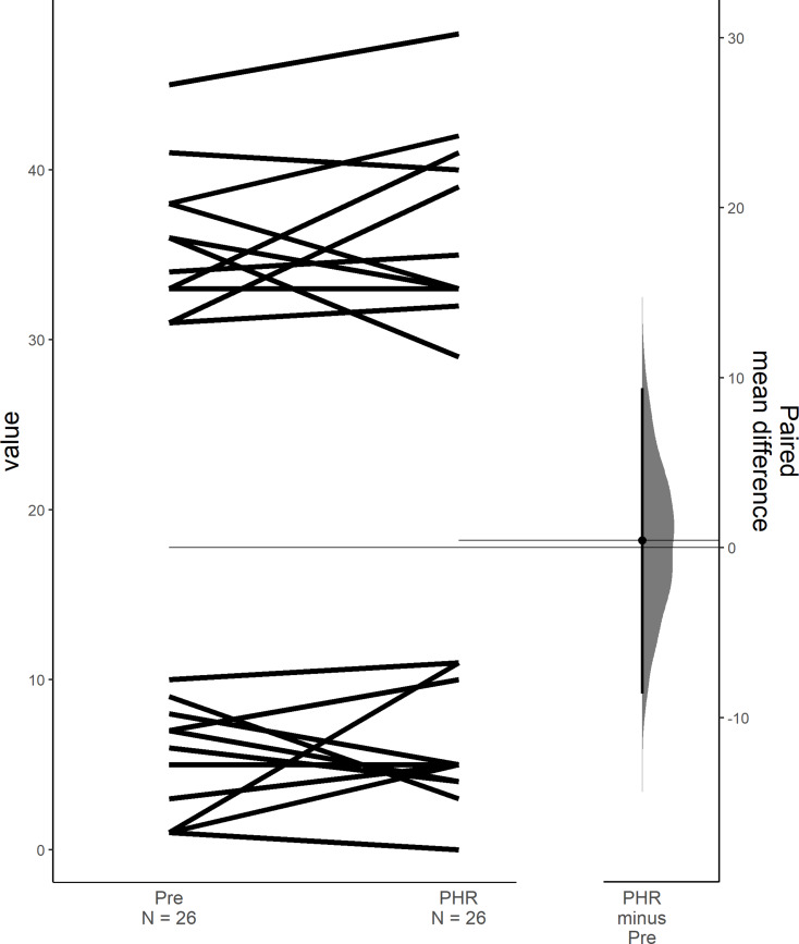
Methods: The study offers a summative content analysis of Emergency Medical Service (EMS) responses to opioid overdose (OOD) events before and after the institution of COVID-19 restrictions. Specifically, the study investigates three Texas counties to evaluate changing OOD rates, patient demographics, and OOD event features. The analysis uses a previously validated machine learning tool to identify OOD events and conducted a summative content analysis of identified events.

Results: A total of 1170 OOD responses events were identified in the three-county dataset. This includes 874 in Travis County, 242 in El Paso County, and 54 in Williamson County. Each county experienced modest changes in EMS calls for OOD events between the pre-restriction and public health restriction time periods. Travis County's OOD event rate declined from 454 to 420. El Paso's increased from 103 to 139, and Williamson County's increased from 23 to 31. These changes were not significant as percentage of possible OOD events or based on by-month comparison. The notable differences between pre-restriction and public health restriction periods were significant decreases in documentation of patient race/ethnicity in Travis and Williamson Counties, significant decreases in housing insecurity and use alone in Travis County, and an increase in transport refusal after treatment in the field in Travis County.

Conclusions: Ultimately the results presented here problematize prevailing analyses about the so-called opioid-COVID-19 "twindemic." The data further support emerging trends about substantial geographic variation and show some ways that COVID-19 mitigation measures may have improved conditions for some populations, particularly in terms of housing security. Additionally, the results presented here indicate that further attention should be paid to the effects of first responder stress on documentation quality.

Abstract Image

Abstract Image

Abstract Image

COVID-19 公共卫生限制与阿片类药物过量:对德克萨斯州三个县的紧急医疗服务记录进行总结性内容分析。
背景:随着人们广泛认识到 2020 年至 2021 年期间美国阿片类药物过量(OOD)率的增加,媒体、公共卫生和医疗保健组织对 COVID-19 和阿片类药物 "双流行 "的同时出现表示了极大的担忧。该领域的研究探讨了与该流行病和/或 COVID-19 公共卫生干预措施相关的负外部性与阿片类药物使用和过量风险增加以及 OOD 事件后治疗效果降低之间可能存在的关系:本研究对 COVID-19 限制措施实施前后紧急医疗服务 (EMS) 对阿片类药物过量 (OOD) 事件的反应进行了总结性内容分析。具体而言,该研究调查了德克萨斯州的三个县,以评估不断变化的 OOD 发生率、患者人口统计学特征和 OOD 事件特征。分析使用了之前经过验证的机器学习工具来识别 OOD 事件,并对识别出的事件进行了总结性内容分析:结果:三县数据集中共识别出 1170 起 OOD 反应事件。其中特拉维斯县 874 起,埃尔帕索县 242 起,威廉姆森县 54 起。在限制前和公共卫生限制期间,每个县的 OOD 事件紧急医疗服务呼叫量都略有变化。特拉维斯县的 OOD 事件率从 454 下降到 420。埃尔帕索县的 OOD 事件从 103 起增加到 139 起,威廉姆森县从 23 起增加到 31 起。这些变化在可能发生的 OOD 事件中所占的百分比或逐月比较中并不明显。限制前和公共卫生限制期之间的显著差异是:特拉维斯县和威廉姆森县的患者种族/族裔记录显著减少,特拉维斯县的住房不安全和单独使用显著减少,以及特拉维斯县在现场治疗后拒绝转运的情况增加:最终,本文介绍的结果对所谓阿片类药物-COVID-19 "双流行 "的普遍分析提出了质疑。这些数据进一步支持了新出现的关于巨大地域差异的趋势,并显示出 COVID-19 缓解措施可能改善了某些人群的状况,尤其是在住房安全方面。此外,本文介绍的结果表明,应进一步关注第一响应者压力对文件质量的影响。
本文章由计算机程序翻译,如有差异,请以英文原文为准。
求助全文
约1分钟内获得全文 求助全文
来源期刊
CiteScore
5.20
自引率
0.00%
发文量
73
审稿时长
19 weeks
期刊介绍: Substance Abuse Treatment, Prevention, and Policy is an open access, peer-reviewed journal that encompasses research concerning substance abuse, with a focus on policy issues. The journal aims to provide an environment for the exchange of ideas, new research, consensus papers, and critical reviews, to bridge the established fields that share a mutual goal of reducing the harms from substance use. These fields include: legislation pertaining to substance use; correctional supervision of people with substance use disorder; medical treatment and screening; mental health services; research; and evaluation of substance use disorder programs.
×
引用
GB/T 7714-2015
复制
MLA
复制
APA
复制
导出至
BibTeX EndNote RefMan NoteFirst NoteExpress
×
提示
您的信息不完整,为了账户安全,请先补充。
现在去补充
×
提示
您因"违规操作"
具体请查看互助需知
我知道了
×
提示
确定
请完成安全验证×
copy
已复制链接
快去分享给好友吧!
我知道了
右上角分享
点击右上角分享
0
联系我们:info@booksci.cn Book学术提供免费学术资源搜索服务,方便国内外学者检索中英文文献。致力于提供最便捷和优质的服务体验。 Copyright © 2023 布克学术 All rights reserved.
京ICP备2023020795号-1
ghs 京公网安备 11010802042870号
Book学术文献互助
Book学术文献互助群
群 号:604180095
Book学术官方微信