Physical Health and Socioeconomic Status in Ambulatory Adults With Bilateral Spastic Cerebral Palsy.

IF 1.5 Q3 REHABILITATION
Rehabilitation Research and Practice Pub Date : 2024-10-29 eCollection Date: 2024-01-01 DOI:10.1155/2024/8368191
Maaike M Eken, Nelleke G Langerak, Jacques du Toit, Melanie Saywood, Robert P Lamberts
{"title":"Physical Health and Socioeconomic Status in Ambulatory Adults With Bilateral Spastic Cerebral Palsy.","authors":"Maaike M Eken, Nelleke G Langerak, Jacques du Toit, Melanie Saywood, Robert P Lamberts","doi":"10.1155/2024/8368191","DOIUrl":null,"url":null,"abstract":"<p><p>Socioeconomic status (SES) tends to influence an individual's access to health care. It is commonly assumed that a poorer SES is associated with a weaker physical health status, especially in disadvantaged populations such as people with cerebral palsy (CP). However, to our knowledge, no study has looked at this assumption. Therefore, the aim of this study was to describe and compare the physical health status of ambulant adults with bilateral CP with different SES backgrounds. In addition, the physical health status of the ambulatory adults with CP was compared to well-matched, typically developing adults. Twenty-eight ambulatory adults with CP (gross motor functional classification system Level I/II/III: <i>n</i> = 11/12/5; SES low/middle/high: <i>n</i> = 10/9/9), and 28 matched typically developing adults were recruited for this study. No differences were observed between adults with CP from different SES backgrounds. Differences in physical health status between typically developing adults and ambulatory adults with CP in all SES backgrounds were found in passive range of motion (<i>p</i> < 0.05), muscle strength (<i>p</i> < 0.001), selectivity (<i>p</i> < 0.001), and muscle tone (<i>p</i> < 0.001) and balance (<i>p</i> < 0.05). The main finding of this study is that physical health status did not differ between ambulatory adults with CP from different SES backgrounds. This finding shows that SES does not always directly impact physical health status in ambulatory adults with CP and highlights the importance of an individual approach. Future research should determine the impact of SES on nonambulatory adults with CP.</p>","PeriodicalId":45585,"journal":{"name":"Rehabilitation Research and Practice","volume":"2024 ","pages":"8368191"},"PeriodicalIF":1.5000,"publicationDate":"2024-10-29","publicationTypes":"Journal Article","fieldsOfStudy":null,"isOpenAccess":false,"openAccessPdf":"https://www.ncbi.nlm.nih.gov/pmc/articles/PMC11537745/pdf/","citationCount":"0","resultStr":null,"platform":"Semanticscholar","paperid":null,"PeriodicalName":"Rehabilitation Research and Practice","FirstCategoryId":"1085","ListUrlMain":"https://doi.org/10.1155/2024/8368191","RegionNum":0,"RegionCategory":null,"ArticlePicture":[],"TitleCN":null,"AbstractTextCN":null,"PMCID":null,"EPubDate":"2024/1/1 0:00:00","PubModel":"eCollection","JCR":"Q3","JCRName":"REHABILITATION","Score":null,"Total":0}
引用次数: 0

Abstract

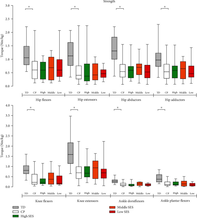
Socioeconomic status (SES) tends to influence an individual's access to health care. It is commonly assumed that a poorer SES is associated with a weaker physical health status, especially in disadvantaged populations such as people with cerebral palsy (CP). However, to our knowledge, no study has looked at this assumption. Therefore, the aim of this study was to describe and compare the physical health status of ambulant adults with bilateral CP with different SES backgrounds. In addition, the physical health status of the ambulatory adults with CP was compared to well-matched, typically developing adults. Twenty-eight ambulatory adults with CP (gross motor functional classification system Level I/II/III: n = 11/12/5; SES low/middle/high: n = 10/9/9), and 28 matched typically developing adults were recruited for this study. No differences were observed between adults with CP from different SES backgrounds. Differences in physical health status between typically developing adults and ambulatory adults with CP in all SES backgrounds were found in passive range of motion (p < 0.05), muscle strength (p < 0.001), selectivity (p < 0.001), and muscle tone (p < 0.001) and balance (p < 0.05). The main finding of this study is that physical health status did not differ between ambulatory adults with CP from different SES backgrounds. This finding shows that SES does not always directly impact physical health status in ambulatory adults with CP and highlights the importance of an individual approach. Future research should determine the impact of SES on nonambulatory adults with CP.

Abstract Image

Abstract Image

Abstract Image

双侧痉挛性脑瘫患者的身体健康和社会经济状况。
社会经济地位(SES)往往会影响个人获得医疗保健的机会。人们普遍认为,较差的社会经济地位与较弱的身体健康状况有关,尤其是在脑瘫患者(CP)等弱势群体中。然而,据我们所知,还没有研究对这一假设进行过调查。因此,本研究旨在描述和比较具有不同社会经济地位背景的双侧 CP 患者的身体健康状况。此外,还将患有脊髓灰质炎的非卧床成年人的身体健康状况与匹配良好、发育正常的成年人进行了比较。本研究招募了 28 名患有脊髓灰质炎(粗大运动功能分类系统 I/II/III 级:n = 11/12/5;社会经济地位低/中/高:n = 10/9/9)的非卧床成人和 28 名匹配的发育正常成人。来自不同社会经济地位背景的CP成人之间未发现差异。在被动运动范围(p < 0.05)、肌肉力量(p < 0.001)、选择性(p < 0.001)、肌张力(p < 0.001)和平衡(p < 0.05)方面,所有社会经济背景的发育正常成人和行动自如的脊髓灰质炎成人之间的身体健康状况均存在差异。本研究的主要发现是,来自不同社会经济地位背景的非卧床成年脊髓灰质炎患者的身体健康状况并无差异。这一结果表明,社会经济地位并不总是直接影响患有脊髓灰质炎的非卧床成年人的身体健康状况,并强调了因人而异的重要性。未来的研究应确定社会经济地位对非卧床的成年脊髓灰质炎患者的影响。
本文章由计算机程序翻译,如有差异,请以英文原文为准。
求助全文
约1分钟内获得全文 求助全文
来源期刊
CiteScore
3.80
自引率
0.00%
发文量
16
审稿时长
19 weeks
期刊介绍: Rehabilitation Research and Practice is a peer-reviewed, Open Access journal that publishes original research articles, review articles, and clinical studies in all areas of physical medicine and rehabilitation. The journal focuses on improving and restoring functional ability and quality of life to those with physical impairments or disabilities. In addition, articles looking at techniques to assess and study disabling conditions will be considered.
×
引用
GB/T 7714-2015
复制
MLA
复制
APA
复制
导出至
BibTeX EndNote RefMan NoteFirst NoteExpress
×
提示
您的信息不完整,为了账户安全,请先补充。
现在去补充
×
提示
您因"违规操作"
具体请查看互助需知
我知道了
×
提示
确定
请完成安全验证×
copy
已复制链接
快去分享给好友吧!
我知道了
右上角分享
点击右上角分享
0
联系我们:info@booksci.cn Book学术提供免费学术资源搜索服务,方便国内外学者检索中英文文献。致力于提供最便捷和优质的服务体验。 Copyright © 2023 布克学术 All rights reserved.
京ICP备2023020795号-1
ghs 京公网安备 11010802042870号
Book学术文献互助
Book学术文献互助群
群 号:604180095
Book学术官方微信