Neuroprotective Effects of Trimetazidine against Cisplatin-Induced Peripheral Neuropathy: Involvement of AMPK-Mediated PI3K/mTOR, Nrf2, and NF-κB Signaling Axes.

2区 生物学 Q1 Biochemistry, Genetics and Molecular Biology
Oxidative Medicine and Cellular Longevity Pub Date : 2024-08-20 eCollection Date: 2024-01-01 DOI:10.1155/2024/6612009
Marawan A Elbaset, Sherif M Afifi, Tuba Esatbeyoglu, Sahar S Abdelrahman, Dalia O Saleh
{"title":"Neuroprotective Effects of Trimetazidine against Cisplatin-Induced Peripheral Neuropathy: Involvement of AMPK-Mediated PI3K/mTOR, Nrf2, and NF-<i>κ</i>B Signaling Axes.","authors":"Marawan A Elbaset, Sherif M Afifi, Tuba Esatbeyoglu, Sahar S Abdelrahman, Dalia O Saleh","doi":"10.1155/2024/6612009","DOIUrl":null,"url":null,"abstract":"<p><p>Cisplatin-induced peripheral neuropathy (CIPN) is a common and debilitating side effect of cisplatin chemotherapy used in cancer treatment. This study explored the neuroprotective effects of Trimetazidine (TRI) against CIPN by preserving nerve integrity, reducing neuro-oxidative stress, and alleviating neuroinflammation. Using a rat model of CIPN, we evaluated TRI's impact on motor coordination, pain sensitivity, and peripheral nerve histopathology. Also, its effects on neuro-oxidative stress and neuroinflammatory markers were assessed. The findings showed that rats with CIPN had worse motor coordination and increased sensitivity to pain but that these symptoms were alleviated by TRI therapy in a dose-dependent way. Nerve conduction velocities were normalized, and expression of genes involved in neuropathy signaling was suppressed after TRI therapy. Antioxidant benefits were also shown in TRI, with oxidative damage being reduced and the cellular energy balance being restored. By inhibiting the production of inflammatory markers, it also demonstrated anti-inflammatory properties. Histopathological examination revealed that TRI, especially when administered at a higher dose, inhibited the degeneration and demyelination of nerve fibers. The anti-inflammatory properties of TRI in the sciatic nerves were further shown by the fact that its administration reduced iNOS expression. In conclusion, AMPK-mediated PI3K/mTOR, Nrf2, and NF-<i>κ</i>B signaling pathways may all be involved in the therapeutic benefits of TRI for CIPN. These results indicate that TRI may be useful for reducing the side effects of CIPN and enhancing patient outcomes during cisplatin chemotherapy.</p>","PeriodicalId":19657,"journal":{"name":"Oxidative Medicine and Cellular Longevity","volume":"2024 ","pages":"6612009"},"PeriodicalIF":0.0000,"publicationDate":"2024-08-20","publicationTypes":"Journal Article","fieldsOfStudy":null,"isOpenAccess":false,"openAccessPdf":"https://www.ncbi.nlm.nih.gov/pmc/articles/PMC11535264/pdf/","citationCount":"0","resultStr":null,"platform":"Semanticscholar","paperid":null,"PeriodicalName":"Oxidative Medicine and Cellular Longevity","FirstCategoryId":"99","ListUrlMain":"https://doi.org/10.1155/2024/6612009","RegionNum":2,"RegionCategory":"生物学","ArticlePicture":[],"TitleCN":null,"AbstractTextCN":null,"PMCID":null,"EPubDate":"2024/1/1 0:00:00","PubModel":"eCollection","JCR":"Q1","JCRName":"Biochemistry, Genetics and Molecular Biology","Score":null,"Total":0}
引用次数: 0

Abstract

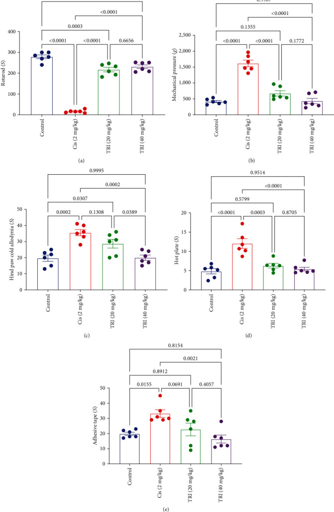
Cisplatin-induced peripheral neuropathy (CIPN) is a common and debilitating side effect of cisplatin chemotherapy used in cancer treatment. This study explored the neuroprotective effects of Trimetazidine (TRI) against CIPN by preserving nerve integrity, reducing neuro-oxidative stress, and alleviating neuroinflammation. Using a rat model of CIPN, we evaluated TRI's impact on motor coordination, pain sensitivity, and peripheral nerve histopathology. Also, its effects on neuro-oxidative stress and neuroinflammatory markers were assessed. The findings showed that rats with CIPN had worse motor coordination and increased sensitivity to pain but that these symptoms were alleviated by TRI therapy in a dose-dependent way. Nerve conduction velocities were normalized, and expression of genes involved in neuropathy signaling was suppressed after TRI therapy. Antioxidant benefits were also shown in TRI, with oxidative damage being reduced and the cellular energy balance being restored. By inhibiting the production of inflammatory markers, it also demonstrated anti-inflammatory properties. Histopathological examination revealed that TRI, especially when administered at a higher dose, inhibited the degeneration and demyelination of nerve fibers. The anti-inflammatory properties of TRI in the sciatic nerves were further shown by the fact that its administration reduced iNOS expression. In conclusion, AMPK-mediated PI3K/mTOR, Nrf2, and NF-κB signaling pathways may all be involved in the therapeutic benefits of TRI for CIPN. These results indicate that TRI may be useful for reducing the side effects of CIPN and enhancing patient outcomes during cisplatin chemotherapy.

Abstract Image

Abstract Image

Abstract Image

曲美他嗪对顺铂诱导的周围神经病变的神经保护作用:AMPK 介导的 PI3K/mTOR、Nrf2 和 NF-κB 信号轴的参与
顺铂诱导的周围神经病变(CIPN)是癌症治疗中使用的顺铂化疗的一种常见副作用,会使人衰弱。本研究探讨了曲美他嗪 (TRI) 通过保护神经完整性、减少神经氧化应激和减轻神经炎症对 CIPN 的神经保护作用。我们利用大鼠 CIPN 模型,评估了 TRI 对运动协调性、疼痛敏感性和周围神经组织病理学的影响。此外,我们还评估了 TRI 对神经氧化应激和神经炎症标志物的影响。研究结果表明,患有 CIPN 的大鼠运动协调性更差,对疼痛的敏感性更高,但 TRI 治疗可减轻这些症状,且效果与剂量相关。接受 TRI 治疗后,神经传导速度恢复正常,参与神经病变信号转导的基因表达受到抑制。TRI 还具有抗氧化功效,可减少氧化损伤,恢复细胞能量平衡。通过抑制炎症标志物的产生,TRI 还具有抗炎特性。组织病理学检查显示,TRI(尤其是在给药剂量较大时)可抑制神经纤维的变性和脱髓鞘。TRI 在坐骨神经中的抗炎特性还体现在它能减少 iNOS 的表达。总之,AMPK 介导的 PI3K/mTOR、Nrf2 和 NF-κB 信号通路可能都参与了 TRI 对 CIPN 的治疗作用。这些结果表明,在顺铂化疗期间,TRI 可能有助于减轻 CIPN 的副作用并提高患者的预后。
本文章由计算机程序翻译,如有差异,请以英文原文为准。
求助全文
约1分钟内获得全文 求助全文
来源期刊
CiteScore
13.20
自引率
0.00%
发文量
1274
审稿时长
3-8 weeks
期刊介绍: Oxidative Medicine and Cellular Longevity is a unique peer-reviewed, Open Access journal that publishes original research and review articles dealing with the cellular and molecular mechanisms of oxidative stress in the nervous system and related organ systems in relation to aging, immune function, vascular biology, metabolism, cellular survival and cellular longevity. Oxidative stress impacts almost all acute and chronic progressive disorders and on a cellular basis is intimately linked to aging, cardiovascular disease, cancer, immune function, metabolism and neurodegeneration. The journal fills a significant void in today’s scientific literature and serves as an international forum for the scientific community worldwide to translate pioneering “bench to bedside” research into clinical strategies.
×
引用
GB/T 7714-2015
复制
MLA
复制
APA
复制
导出至
BibTeX EndNote RefMan NoteFirst NoteExpress
×
提示
您的信息不完整,为了账户安全,请先补充。
现在去补充
×
提示
您因"违规操作"
具体请查看互助需知
我知道了
×
提示
确定
请完成安全验证×
copy
已复制链接
快去分享给好友吧!
我知道了
右上角分享
点击右上角分享
0
联系我们:info@booksci.cn Book学术提供免费学术资源搜索服务,方便国内外学者检索中英文文献。致力于提供最便捷和优质的服务体验。 Copyright © 2023 布克学术 All rights reserved.
京ICP备2023020795号-1
ghs 京公网安备 11010802042870号
Book学术文献互助
Book学术文献互助群
群 号:604180095
Book学术官方微信