Historical Cohort Differences in Views on Aging in the US: A Trend Toward Longer Midlife but Older Felt Age.

IF 1.8 3区 社会学 Q2 GERONTOLOGY
Research on Aging Pub Date : 2025-03-01 Epub Date: 2024-10-10 DOI:10.1177/01640275241290279
Stephanie K Ennis, Moritz Gehring, Susanne Wurm
{"title":"Historical Cohort Differences in Views on Aging in the US: A Trend Toward Longer Midlife but Older Felt Age.","authors":"Stephanie K Ennis, Moritz Gehring, Susanne Wurm","doi":"10.1177/01640275241290279","DOIUrl":null,"url":null,"abstract":"<p><p>This study compared equal age groups from two cohorts from the Midlife in the United States (MIDUS) study surveyed at different times to characterize societal changes in measures of subjective age and age threshold. Two successive MIDUS cohorts were utilized (1995-1996 and 2011-2014; age range 25-74). Outcomes included subjective age (felt age and desired age) and age threshold. Following multiple imputations of missing data and balancing methods, weighted linear regression measured associations between subjective age outcomes and cohort, sex, and chronological age. Individuals of the later MIDUS cohort reported older felt age and younger desired age in middle age groups (35-64 years old). An increase in age threshold was observed only in older age groups (65+). Possible underlying historical changes in health and societal age stereotypes are explored to explain the observed trend toward older felt age and age threshold, but a younger desired age.</p>","PeriodicalId":47983,"journal":{"name":"Research on Aging","volume":" ","pages":"167-180"},"PeriodicalIF":1.8000,"publicationDate":"2025-03-01","publicationTypes":"Journal Article","fieldsOfStudy":null,"isOpenAccess":false,"openAccessPdf":"https://www.ncbi.nlm.nih.gov/pmc/articles/PMC11869513/pdf/","citationCount":"0","resultStr":null,"platform":"Semanticscholar","paperid":null,"PeriodicalName":"Research on Aging","FirstCategoryId":"90","ListUrlMain":"https://doi.org/10.1177/01640275241290279","RegionNum":3,"RegionCategory":"社会学","ArticlePicture":[],"TitleCN":null,"AbstractTextCN":null,"PMCID":null,"EPubDate":"2024/10/10 0:00:00","PubModel":"Epub","JCR":"Q2","JCRName":"GERONTOLOGY","Score":null,"Total":0}
引用次数: 0

Abstract

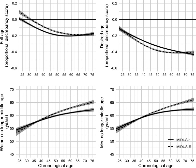
This study compared equal age groups from two cohorts from the Midlife in the United States (MIDUS) study surveyed at different times to characterize societal changes in measures of subjective age and age threshold. Two successive MIDUS cohorts were utilized (1995-1996 and 2011-2014; age range 25-74). Outcomes included subjective age (felt age and desired age) and age threshold. Following multiple imputations of missing data and balancing methods, weighted linear regression measured associations between subjective age outcomes and cohort, sex, and chronological age. Individuals of the later MIDUS cohort reported older felt age and younger desired age in middle age groups (35-64 years old). An increase in age threshold was observed only in older age groups (65+). Possible underlying historical changes in health and societal age stereotypes are explored to explain the observed trend toward older felt age and age threshold, but a younger desired age.

Abstract Image

Abstract Image

Abstract Image

美国老龄化观点的历史群组差异:中年更长但感觉年龄更大的趋势。
本研究比较了美国中年(MIDUS)研究在不同时期调查的两个队列中的相同年龄组,以描述主观年龄和年龄阈值测量的社会变化特征。研究采用了两个连续的 MIDUS 组群(1995-1996 年和 2011-2014 年;年龄范围为 25-74 岁)。结果包括主观年龄(感觉年龄和期望年龄)和年龄阈值。在对缺失数据进行多重估算和平衡方法后,加权线性回归测量了主观年龄结果与队列、性别和实际年龄之间的关联。MIDUS 后期队列中的个体在中年组(35-64 岁)报告的感觉年龄较大,期望年龄较小。只有在老年组(65 岁以上)才观察到年龄阈值的增加。我们探讨了健康和社会年龄定型观念可能发生的历史性变化,以解释所观察到的感觉年龄和年龄阈值变大但期望年龄变小的趋势。
本文章由计算机程序翻译,如有差异,请以英文原文为准。
求助全文
约1分钟内获得全文 求助全文
来源期刊
Research on Aging
Research on Aging GERONTOLOGY-
CiteScore
4.50
自引率
0.00%
发文量
59
期刊介绍: Research on Aging is an interdisciplinary journal designed to reflect the expanding role of research in the field of social gerontology. Research on Aging exists to provide for publication of research in the broad range of disciplines concerned with aging. Scholars from the disciplines of sociology, geriatrics, history, psychology, anthropology, public health, economics, political science, criminal justice, and social work are encouraged to contribute articles to the journal. Emphasis will be on materials of broad scope and cross-disciplinary interest. Assessment of the current state of knowledge is as important as provision of an outlet for new knowledge, so critical and review articles are welcomed. Systematic attention to particular topics will also be featured.
×
引用
GB/T 7714-2015
复制
MLA
复制
APA
复制
导出至
BibTeX EndNote RefMan NoteFirst NoteExpress
×
提示
您的信息不完整,为了账户安全,请先补充。
现在去补充
×
提示
您因"违规操作"
具体请查看互助需知
我知道了
×
提示
确定
请完成安全验证×
copy
已复制链接
快去分享给好友吧!
我知道了
右上角分享
点击右上角分享
0
联系我们:info@booksci.cn Book学术提供免费学术资源搜索服务,方便国内外学者检索中英文文献。致力于提供最便捷和优质的服务体验。 Copyright © 2023 布克学术 All rights reserved.
京ICP备2023020795号-1
ghs 京公网安备 11010802042870号
Book学术文献互助
Book学术文献互助群
群 号:604180095
Book学术官方微信