Outcome of Cancer Patients with an Unplanned Intensive Care Unit Admission: Predictors of Mortality and Long-term Survival.

IF 1.5 Q2 MEDICINE, GENERAL & INTERNAL
Ghiath AlSaied, Hani Lababidi, Taher AlHawdar, Saud AlZahrani, Abdullah AlMotairi, Mohamad AlMaani
{"title":"Outcome of Cancer Patients with an Unplanned Intensive Care Unit Admission: Predictors of Mortality and Long-term Survival.","authors":"Ghiath AlSaied, Hani Lababidi, Taher AlHawdar, Saud AlZahrani, Abdullah AlMotairi, Mohamad AlMaani","doi":"10.4103/sjmms.sjmms_145_23","DOIUrl":null,"url":null,"abstract":"<p><strong>Background: </strong>Understanding the characteristics and outcomes of cancer patients with unplanned ICU admission is imperative for therapeutic decisions and prognostication purposes.</p><p><strong>Objective: </strong>To describe the clinical characteristics of patients with hematological and non-hematological malignancies (NHM) who require unplanned ICU admission and to determine the predictors of mortality and long-term survival.</p><p><strong>Methods: </strong>This retrospective study included all patients with cancer who had an unplanned ICU admission between 2011 and 2016 at a tertiary hospital in Saudi Arabia. The following variables were collected: age, gender, ICU length of stay (LOS), APACHE II score, type of malignancy, febrile neutropenia, source and time of admission, and need for mechanical ventilation (MV), renal replacement therapy (RRT), and treatment with vasopressors (VP). Predictors of mortality and survival rates at 28 days and 3, 6, and 12 months were calculated.</p><p><strong>Results: </strong>The study included 410 cancer patients with 466 unplanned ICU admissions. Of these, 52% had NHM. The average LOS in the ICU was 9.6 days and the mean APACHE score was 21.9. MV was needed in 73% of the patients, RRT in 15%, and VP in 24%, while febrile neutropenia was present in 24%. There were statistically significant differences between survivors and non-survivors in the APACHE II score (17.7 ± 8.0 vs. 25.6 ± 9.2), MV use (52% vs. 92%), need for RRT (6% vs. 23%), VP use (42% vs. 85%), and presence of febrile neutropenia (18% vs. 30%). The predictors of mortality were need for MV (OR = 4.97), VP (OR = 3.43), RRT (OR = 3.31), and APACHE II score (OR = 1.10). Survival rates at 28 days, 3, 6, and 12 months were 52%, 28%, 22%, and 15%, respectively.</p><p><strong>Conclusion: </strong>The survival rate of cancer patients with an unplanned admission to the ICU remains low. Predictors of mortality include need for MV, RRT, and VP and presence of febrile neutropenia. About 85% of cancer patients died within 1 year after ICU admission.</p>","PeriodicalId":21442,"journal":{"name":"Saudi Journal of Medicine & Medical Sciences","volume":"12 2","pages":"153-161"},"PeriodicalIF":1.5000,"publicationDate":"2024-04-01","publicationTypes":"Journal Article","fieldsOfStudy":null,"isOpenAccess":false,"openAccessPdf":"https://www.ncbi.nlm.nih.gov/pmc/articles/PMC11098267/pdf/","citationCount":"0","resultStr":null,"platform":"Semanticscholar","paperid":null,"PeriodicalName":"Saudi Journal of Medicine & Medical Sciences","FirstCategoryId":"1085","ListUrlMain":"https://doi.org/10.4103/sjmms.sjmms_145_23","RegionNum":0,"RegionCategory":null,"ArticlePicture":[],"TitleCN":null,"AbstractTextCN":null,"PMCID":null,"EPubDate":"2024/4/5 0:00:00","PubModel":"Epub","JCR":"Q2","JCRName":"MEDICINE, GENERAL & INTERNAL","Score":null,"Total":0}
引用次数: 0

Abstract

Background: Understanding the characteristics and outcomes of cancer patients with unplanned ICU admission is imperative for therapeutic decisions and prognostication purposes.

Objective: To describe the clinical characteristics of patients with hematological and non-hematological malignancies (NHM) who require unplanned ICU admission and to determine the predictors of mortality and long-term survival.

Methods: This retrospective study included all patients with cancer who had an unplanned ICU admission between 2011 and 2016 at a tertiary hospital in Saudi Arabia. The following variables were collected: age, gender, ICU length of stay (LOS), APACHE II score, type of malignancy, febrile neutropenia, source and time of admission, and need for mechanical ventilation (MV), renal replacement therapy (RRT), and treatment with vasopressors (VP). Predictors of mortality and survival rates at 28 days and 3, 6, and 12 months were calculated.

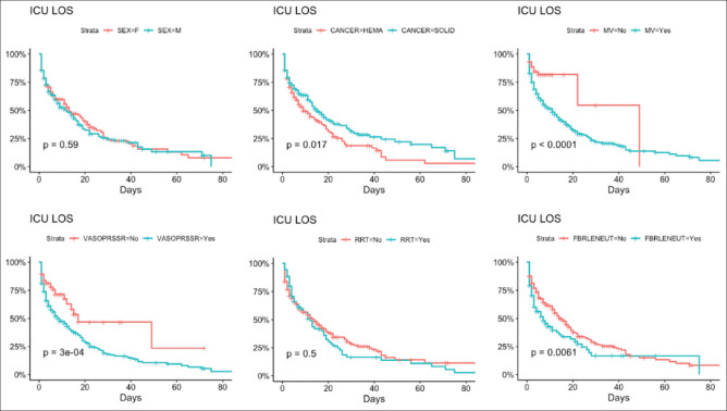
Results: The study included 410 cancer patients with 466 unplanned ICU admissions. Of these, 52% had NHM. The average LOS in the ICU was 9.6 days and the mean APACHE score was 21.9. MV was needed in 73% of the patients, RRT in 15%, and VP in 24%, while febrile neutropenia was present in 24%. There were statistically significant differences between survivors and non-survivors in the APACHE II score (17.7 ± 8.0 vs. 25.6 ± 9.2), MV use (52% vs. 92%), need for RRT (6% vs. 23%), VP use (42% vs. 85%), and presence of febrile neutropenia (18% vs. 30%). The predictors of mortality were need for MV (OR = 4.97), VP (OR = 3.43), RRT (OR = 3.31), and APACHE II score (OR = 1.10). Survival rates at 28 days, 3, 6, and 12 months were 52%, 28%, 22%, and 15%, respectively.

Conclusion: The survival rate of cancer patients with an unplanned admission to the ICU remains low. Predictors of mortality include need for MV, RRT, and VP and presence of febrile neutropenia. About 85% of cancer patients died within 1 year after ICU admission.

Abstract Image

Abstract Image

Abstract Image

计划外入住重症监护室的癌症患者的预后:死亡率和长期存活率的预测因素
背景:了解计划外入住重症监护室的癌症患者的特征和预后对于治疗决策和预后至关重要:描述需要意外入住重症监护病房的血液和非血液恶性肿瘤(NHM)患者的临床特征,并确定死亡率和长期生存率的预测因素:这项回顾性研究纳入了沙特阿拉伯一家三级甲等医院 2011 年至 2016 年期间意外入住 ICU 的所有癌症患者。研究收集了以下变量:年龄、性别、重症监护室住院时间(LOS)、APACHE II评分、恶性肿瘤类型、发热性中性粒细胞减少症、入院来源和时间,以及是否需要机械通气(MV)、肾脏替代治疗(RRT)和使用血管加压剂(VP)治疗。计算了28天、3、6和12个月的死亡率和存活率:研究共纳入了 410 名癌症患者,其中 466 人意外入住重症监护病房。其中 52% 患有 NHM。在重症监护室的平均住院时间为 9.6 天,平均 APACHE 评分为 21.9 分。73%的患者需要 MV,15%的患者需要 RRT,24%的患者需要 VP,24%的患者出现发热性中性粒细胞减少症。在 APACHE II 评分(17.7 ± 8.0 vs. 25.6 ± 9.2)、MV 使用率(52% vs. 92%)、RRT 需求(6% vs. 23%)、VP 使用率(42% vs. 85%)和发热性中性粒细胞减少症(18% vs. 30%)方面,幸存者和非幸存者之间存在显著统计学差异。预测死亡率的因素是需要 MV(OR = 4.97)、VP(OR = 3.43)、RRT(OR = 3.31)和 APACHE II 评分(OR = 1.10)。28天、3个月、6个月和12个月的存活率分别为52%、28%、22%和15%:结论:计划外入住重症监护室的癌症患者的存活率仍然很低。死亡率的预测因素包括需要 MV、RRT 和 VP 以及发热性中性粒细胞减少症。约85%的癌症患者在入住重症监护室后一年内死亡。
本文章由计算机程序翻译,如有差异,请以英文原文为准。
求助全文
约1分钟内获得全文 求助全文
来源期刊
Saudi Journal of Medicine & Medical Sciences
Saudi Journal of Medicine & Medical Sciences MEDICINE, GENERAL & INTERNAL-
CiteScore
1.40
自引率
0.00%
发文量
52
审稿时长
15 weeks
期刊介绍: Saudi Journal of Medicine & Medical Sciences (SJMMS) is the official scientific journal of Imam Abdulrahman Bin Faisal University. It is an international peer-reviewed, general medical journal. The scope of the Journal is to publish research that will be of interest to health specialties both in academic and clinical practice. The Journal aims at disseminating high-powered research results with the objective of turning research into knowledge. It seeks to promote scholarly publishing in medicine and medical sciences. The Journal is published in print and online. The target readers of the Journal include all medical and health professionals in the health cluster such as in medicine, dentistry, nursing, applied medical sciences, clinical pharmacology, public health, etc.
×
引用
GB/T 7714-2015
复制
MLA
复制
APA
复制
导出至
BibTeX EndNote RefMan NoteFirst NoteExpress
×
提示
您的信息不完整,为了账户安全,请先补充。
现在去补充
×
提示
您因"违规操作"
具体请查看互助需知
我知道了
×
提示
确定
请完成安全验证×
copy
已复制链接
快去分享给好友吧!
我知道了
右上角分享
点击右上角分享
0
联系我们:info@booksci.cn Book学术提供免费学术资源搜索服务,方便国内外学者检索中英文文献。致力于提供最便捷和优质的服务体验。 Copyright © 2023 布克学术 All rights reserved.
京ICP备2023020795号-1
ghs 京公网安备 11010802042870号
Book学术文献互助
Book学术文献互助群
群 号:604180095
Book学术官方微信