Happiness Maximization Is a WEIRD Way of Living.

IF 8.4 1区 心理学 Q1 PSYCHOLOGY, MULTIDISCIPLINARY
Perspectives on Psychological Science Pub Date : 2025-09-01 Epub Date: 2024-02-13 DOI:10.1177/17456916231208367
Kuba Krys, Olga Kostoula, Wijnand A P van Tilburg, Oriana Mosca, J Hannah Lee, Fridanna Maricchiolo, Aleksandra Kosiarczyk, Agata Kocimska-Bortnowska, Claudio Torres, Hidefumi Hitokoto, Kongmeng Liew, Michael H Bond, Vivian Miu-Chi Lun, Vivian L Vignoles, John M Zelenski, Brian W Haas, Joonha Park, Christin-Melanie Vauclair, Anna Kwiatkowska, Marta Roczniewska, Nina Witoszek, İdil Işık, Natasza Kosakowska-Berezecka, Alejandra Domínguez-Espinosa, June Chun Yeung, Maciej Górski, Mladen Adamovic, Isabelle Albert, Vassilis Pavlopoulos, Márta Fülöp, David Sirlopu, Ayu Okvitawanli, Diana Boer, Julien Teyssier, Arina Malyonova, Alin Gavreliuc, Ursula Serdarevich, Charity S Akotia, Lily Appoh, D M Arévalo Mira, Arno Baltin, Patrick Denoux, Carla Sofia Esteves, Vladimer Gamsakhurdia, Ragna B Garðarsdóttir, David O Igbokwe, Eric R Igou, Natalia Kascakova, Lucie Klůzová Kračmárová, Nicole Kronberger, Pablo Eduardo Barrientos, Tamara Mohorić, Elke Murdock, Nur Fariza Mustaffa, Martin Nader, Azar Nadi, Yvette van Osch, Zoran Pavlović, Iva Poláčková Šolcová, Muhammad Rizwan, Vladyslav Romashov, Espen Røysamb, Ruta Sargautyte, Beate Schwarz, Lenka Selecká, Heyla A Selim, Maria Stogianni, Chien-Ru Sun, Agnieszka Wojtczuk-Turek, Cai Xing, Yukiko Uchida
{"title":"Happiness Maximization Is a WEIRD Way of Living.","authors":"Kuba Krys, Olga Kostoula, Wijnand A P van Tilburg, Oriana Mosca, J Hannah Lee, Fridanna Maricchiolo, Aleksandra Kosiarczyk, Agata Kocimska-Bortnowska, Claudio Torres, Hidefumi Hitokoto, Kongmeng Liew, Michael H Bond, Vivian Miu-Chi Lun, Vivian L Vignoles, John M Zelenski, Brian W Haas, Joonha Park, Christin-Melanie Vauclair, Anna Kwiatkowska, Marta Roczniewska, Nina Witoszek, İdil Işık, Natasza Kosakowska-Berezecka, Alejandra Domínguez-Espinosa, June Chun Yeung, Maciej Górski, Mladen Adamovic, Isabelle Albert, Vassilis Pavlopoulos, Márta Fülöp, David Sirlopu, Ayu Okvitawanli, Diana Boer, Julien Teyssier, Arina Malyonova, Alin Gavreliuc, Ursula Serdarevich, Charity S Akotia, Lily Appoh, D M Arévalo Mira, Arno Baltin, Patrick Denoux, Carla Sofia Esteves, Vladimer Gamsakhurdia, Ragna B Garðarsdóttir, David O Igbokwe, Eric R Igou, Natalia Kascakova, Lucie Klůzová Kračmárová, Nicole Kronberger, Pablo Eduardo Barrientos, Tamara Mohorić, Elke Murdock, Nur Fariza Mustaffa, Martin Nader, Azar Nadi, Yvette van Osch, Zoran Pavlović, Iva Poláčková Šolcová, Muhammad Rizwan, Vladyslav Romashov, Espen Røysamb, Ruta Sargautyte, Beate Schwarz, Lenka Selecká, Heyla A Selim, Maria Stogianni, Chien-Ru Sun, Agnieszka Wojtczuk-Turek, Cai Xing, Yukiko Uchida","doi":"10.1177/17456916231208367","DOIUrl":null,"url":null,"abstract":"<p><p>Psychological science tends to treat subjective well-being and happiness synonymously. We start from the assumption that subjective well-being is more than being happy to ask the fundamental question: What is the <i>ideal</i> level of happiness? From a cross-cultural perspective, we propose that the idealization of attaining maximum levels of happiness may be especially characteristic of Western, educated, industrial, rich, and democratic (WEIRD) societies but less so for others. Searching for an explanation for why \"happiness maximization\" might have emerged in these societies, we turn to studies linking cultures to their eco-environmental habitat. We discuss the premise that WEIRD cultures emerged in an exceptionally benign ecological habitat (i.e., faced relatively light existential pressures compared with other regions). We review the influence of the Gulf Stream on the Northwestern European climate as a source of these comparatively benign geographical conditions. We propose that the ecological conditions in which WEIRD societies emerged afforded them a basis to endorse happiness as a value and to idealize attaining its maximum level. To provide a nomological network for happiness maximization, we also studied some of its potential side effects, namely alcohol and drug consumption and abuse and the prevalence of mania. To evaluate our hypothesis, we reanalyze data from two large-scale studies on ideal levels of personal life satisfaction-the most common operationalization of happiness in psychology-involving respondents from 61 countries. We conclude that societies whose members seek to maximize happiness tend to be characterized as WEIRD, and generalizing this across societies can prove problematic if adopted at the ideological and policy level.</p>","PeriodicalId":19757,"journal":{"name":"Perspectives on Psychological Science","volume":" ","pages":"874-902"},"PeriodicalIF":8.4000,"publicationDate":"2025-09-01","publicationTypes":"Journal Article","fieldsOfStudy":null,"isOpenAccess":false,"openAccessPdf":"https://www.ncbi.nlm.nih.gov/pmc/articles/PMC12408936/pdf/","citationCount":"0","resultStr":null,"platform":"Semanticscholar","paperid":null,"PeriodicalName":"Perspectives on Psychological Science","FirstCategoryId":"102","ListUrlMain":"https://doi.org/10.1177/17456916231208367","RegionNum":1,"RegionCategory":"心理学","ArticlePicture":[],"TitleCN":null,"AbstractTextCN":null,"PMCID":null,"EPubDate":"2024/2/13 0:00:00","PubModel":"Epub","JCR":"Q1","JCRName":"PSYCHOLOGY, MULTIDISCIPLINARY","Score":null,"Total":0}
引用次数: 0

Abstract

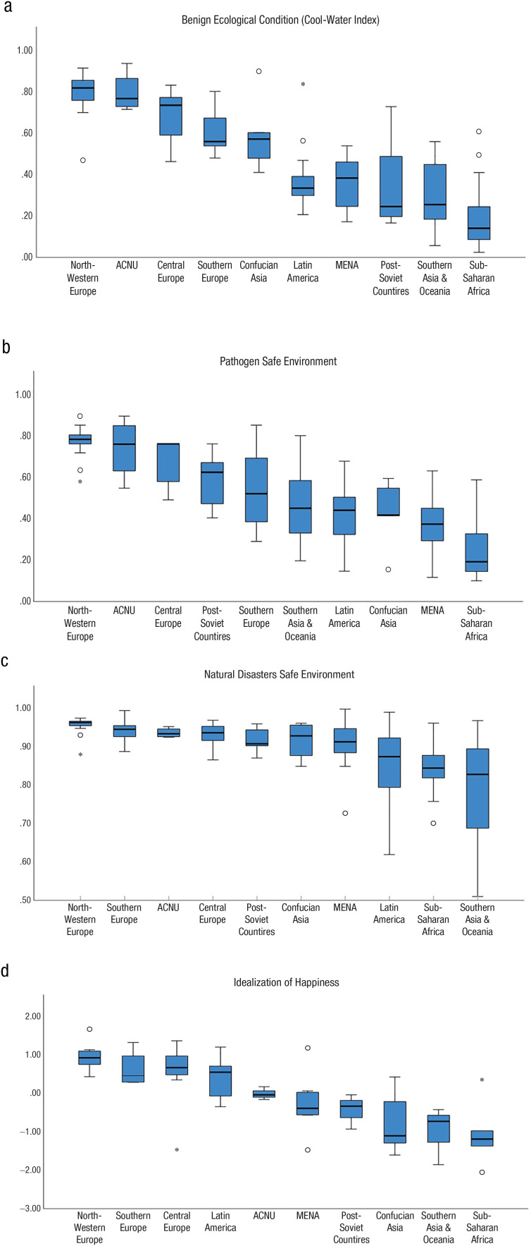
Psychological science tends to treat subjective well-being and happiness synonymously. We start from the assumption that subjective well-being is more than being happy to ask the fundamental question: What is the ideal level of happiness? From a cross-cultural perspective, we propose that the idealization of attaining maximum levels of happiness may be especially characteristic of Western, educated, industrial, rich, and democratic (WEIRD) societies but less so for others. Searching for an explanation for why "happiness maximization" might have emerged in these societies, we turn to studies linking cultures to their eco-environmental habitat. We discuss the premise that WEIRD cultures emerged in an exceptionally benign ecological habitat (i.e., faced relatively light existential pressures compared with other regions). We review the influence of the Gulf Stream on the Northwestern European climate as a source of these comparatively benign geographical conditions. We propose that the ecological conditions in which WEIRD societies emerged afforded them a basis to endorse happiness as a value and to idealize attaining its maximum level. To provide a nomological network for happiness maximization, we also studied some of its potential side effects, namely alcohol and drug consumption and abuse and the prevalence of mania. To evaluate our hypothesis, we reanalyze data from two large-scale studies on ideal levels of personal life satisfaction-the most common operationalization of happiness in psychology-involving respondents from 61 countries. We conclude that societies whose members seek to maximize happiness tend to be characterized as WEIRD, and generalizing this across societies can prove problematic if adopted at the ideological and policy level.

Abstract Image

Abstract Image

Abstract Image

幸福最大化是一种奇怪的生活方式。
心理科学倾向于将主观幸福感与快乐同义。我们从 "主观幸福感不仅仅是快乐 "这一假设出发,提出了一个基本问题:什么是理想的幸福水平?从跨文化的角度来看,我们提出,实现最大程度幸福的理想化可能是西方、受过教育、工业化、富裕和民主(WEIRD)社会的特别特征,但对其他社会来说则不那么明显。为了解释为什么 "幸福最大化 "会在这些社会中出现,我们转向了将文化与其生态环境栖息地联系起来的研究。我们讨论的前提是,WEIRD 文化出现在一个特别良好的生态环境中(即与其他地区相比,面临的生存压力相对较小)。我们回顾了湾流对西北欧气候的影响,认为它是这些相对有利的地理条件的来源。我们提出,WEIRD 社会出现的生态条件为他们提供了一个基础,使他们能够将幸福作为一种价值观,并理想化地达到幸福的最高水平。为了给幸福最大化提供一个名义网络,我们还研究了它的一些潜在副作用,即酒精和药物的消费和滥用以及躁狂症的流行。为了评估我们的假设,我们重新分析了两项关于个人生活满意度理想水平(心理学中最常见的幸福操作化)的大规模研究数据,这些研究涉及 61 个国家的受访者。我们的结论是,那些追求幸福最大化的社会往往被描述为 "WEIRD "社会,如果在意识形态和政策层面上采用这种观点,那么在不同社会之间进行推广就会产生问题。
本文章由计算机程序翻译,如有差异,请以英文原文为准。
求助全文
约1分钟内获得全文 求助全文
来源期刊
Perspectives on Psychological Science
Perspectives on Psychological Science PSYCHOLOGY, MULTIDISCIPLINARY-
CiteScore
22.70
自引率
4.00%
发文量
111
期刊介绍: Perspectives on Psychological Science is a journal that publishes a diverse range of articles and reports in the field of psychology. The journal includes broad integrative reviews, overviews of research programs, meta-analyses, theoretical statements, book reviews, and articles on various topics such as the philosophy of science and opinion pieces about major issues in the field. It also features autobiographical reflections of senior members of the field, occasional humorous essays and sketches, and even has a section for invited and submitted articles. The impact of the journal can be seen through the reverberation of a 2009 article on correlative analyses commonly used in neuroimaging studies, which still influences the field. Additionally, a recent special issue of Perspectives, featuring prominent researchers discussing the "Next Big Questions in Psychology," is shaping the future trajectory of the discipline. Perspectives on Psychological Science provides metrics that showcase the performance of the journal. However, the Association for Psychological Science, of which the journal is a signatory of DORA, recommends against using journal-based metrics for assessing individual scientist contributions, such as for hiring, promotion, or funding decisions. Therefore, the metrics provided by Perspectives on Psychological Science should only be used by those interested in evaluating the journal itself.
×
引用
GB/T 7714-2015
复制
MLA
复制
APA
复制
导出至
BibTeX EndNote RefMan NoteFirst NoteExpress
×
提示
您的信息不完整,为了账户安全,请先补充。
现在去补充
×
提示
您因"违规操作"
具体请查看互助需知
我知道了
×
提示
确定
请完成安全验证×
copy
已复制链接
快去分享给好友吧!
我知道了
右上角分享
点击右上角分享
0
联系我们:info@booksci.cn Book学术提供免费学术资源搜索服务,方便国内外学者检索中英文文献。致力于提供最便捷和优质的服务体验。 Copyright © 2023 布克学术 All rights reserved.
京ICP备2023020795号-1
ghs 京公网安备 11010802042870号
Book学术文献互助
Book学术文献互助群
群 号:604180095
Book学术官方微信