慢性鼻炎伴鼻息肉患者体内 MMP-9 和 EMMPRIN 的表达谱。

IF 2.1 4区 医学 Q2 OTORHINOLARYNGOLOGY
Acta Otorhinolaryngologica Italica Pub Date : 2023-12-01 Epub Date: 2023-07-28 DOI:10.14639/0392-100X-N2197
Spyridon Lygeros, Gerasimos Danielides, George C Kyriakopoulos, Foteini Tsapardoni, Katerina Grafanaki, Constantinos Stathopoulos, Vasileios Danielides
{"title":"慢性鼻炎伴鼻息肉患者体内 MMP-9 和 EMMPRIN 的表达谱。","authors":"Spyridon Lygeros, Gerasimos Danielides, George C Kyriakopoulos, Foteini Tsapardoni, Katerina Grafanaki, Constantinos Stathopoulos, Vasileios Danielides","doi":"10.14639/0392-100X-N2197","DOIUrl":null,"url":null,"abstract":"<p><strong>Objective: </strong>Metalloproteinases (MMPs) are implicated in tissue remodeling in chronic rhinosinusitis with nasal polyps (CRSwNP). This study aimed to evaluate the expression profiles of MMP-9 and the extracellular matrix metalloproteinase inducer (EMMPRIN) in nasal polyps compared to healthy mucosa.</p><p><strong>Methods: </strong>Tissue samples from 37 CRSwNP patients undergoing functional endoscopic sinus surgery and mucosal specimens from 12 healthy controls were obtained intra-operatively. MMP-9 and EMMPRIN mRNA levels were assessed by reverse transcription-polymerase chain reaction and their protein expression by Western blot analysis.</p><p><strong>Results: </strong>MMP-9 mRNA expression levels were significantly elevated in CRSwNP compared to controls (p < 0.05). MMP-9 protein levels presented an increasing trend but with no statistical significance (p > 0.05). No statistically significant difference in EMMPRIN mRNA and protein levels was identified.</p><p><strong>Conclusions: </strong>Upregulation of MMP-9 in nasal polyps is evident and highlights its role in the pathogenesis of CRSwNP. The lack of concordance between MMP-9 mRNA and protein levels may be attributed to post-translational gene expression regulation. Although EMMPRIN expression was not significantly different between the two groups, its role remains to be elucidated. MMP-9 may be a valuable biomarker and treatment target in CRSwNP.</p>","PeriodicalId":6890,"journal":{"name":"Acta Otorhinolaryngologica Italica","volume":" ","pages":"400-408"},"PeriodicalIF":2.1000,"publicationDate":"2023-12-01","publicationTypes":"Journal Article","fieldsOfStudy":null,"isOpenAccess":false,"openAccessPdf":"https://www.ncbi.nlm.nih.gov/pmc/articles/PMC10773546/pdf/","citationCount":"0","resultStr":"{\"title\":\"Expression profiles of MMP-9 and EMMPRIN in chronic rhinosinusitis with nasal polyps.\",\"authors\":\"Spyridon Lygeros, Gerasimos Danielides, George C Kyriakopoulos, Foteini Tsapardoni, Katerina Grafanaki, Constantinos Stathopoulos, Vasileios Danielides\",\"doi\":\"10.14639/0392-100X-N2197\",\"DOIUrl\":null,\"url\":null,\"abstract\":\"<p><strong>Objective: </strong>Metalloproteinases (MMPs) are implicated in tissue remodeling in chronic rhinosinusitis with nasal polyps (CRSwNP). This study aimed to evaluate the expression profiles of MMP-9 and the extracellular matrix metalloproteinase inducer (EMMPRIN) in nasal polyps compared to healthy mucosa.</p><p><strong>Methods: </strong>Tissue samples from 37 CRSwNP patients undergoing functional endoscopic sinus surgery and mucosal specimens from 12 healthy controls were obtained intra-operatively. MMP-9 and EMMPRIN mRNA levels were assessed by reverse transcription-polymerase chain reaction and their protein expression by Western blot analysis.</p><p><strong>Results: </strong>MMP-9 mRNA expression levels were significantly elevated in CRSwNP compared to controls (p < 0.05). MMP-9 protein levels presented an increasing trend but with no statistical significance (p > 0.05). No statistically significant difference in EMMPRIN mRNA and protein levels was identified.</p><p><strong>Conclusions: </strong>Upregulation of MMP-9 in nasal polyps is evident and highlights its role in the pathogenesis of CRSwNP. The lack of concordance between MMP-9 mRNA and protein levels may be attributed to post-translational gene expression regulation. Although EMMPRIN expression was not significantly different between the two groups, its role remains to be elucidated. MMP-9 may be a valuable biomarker and treatment target in CRSwNP.</p>\",\"PeriodicalId\":6890,\"journal\":{\"name\":\"Acta Otorhinolaryngologica Italica\",\"volume\":\" \",\"pages\":\"400-408\"},\"PeriodicalIF\":2.1000,\"publicationDate\":\"2023-12-01\",\"publicationTypes\":\"Journal Article\",\"fieldsOfStudy\":null,\"isOpenAccess\":false,\"openAccessPdf\":\"https://www.ncbi.nlm.nih.gov/pmc/articles/PMC10773546/pdf/\",\"citationCount\":\"0\",\"resultStr\":null,\"platform\":\"Semanticscholar\",\"paperid\":null,\"PeriodicalName\":\"Acta Otorhinolaryngologica Italica\",\"FirstCategoryId\":\"3\",\"ListUrlMain\":\"https://doi.org/10.14639/0392-100X-N2197\",\"RegionNum\":4,\"RegionCategory\":\"医学\",\"ArticlePicture\":[],\"TitleCN\":null,\"AbstractTextCN\":null,\"PMCID\":null,\"EPubDate\":\"2023/7/28 0:00:00\",\"PubModel\":\"Epub\",\"JCR\":\"Q2\",\"JCRName\":\"OTORHINOLARYNGOLOGY\",\"Score\":null,\"Total\":0}","platform":"Semanticscholar","paperid":null,"PeriodicalName":"Acta Otorhinolaryngologica Italica","FirstCategoryId":"3","ListUrlMain":"https://doi.org/10.14639/0392-100X-N2197","RegionNum":4,"RegionCategory":"医学","ArticlePicture":[],"TitleCN":null,"AbstractTextCN":null,"PMCID":null,"EPubDate":"2023/7/28 0:00:00","PubModel":"Epub","JCR":"Q2","JCRName":"OTORHINOLARYNGOLOGY","Score":null,"Total":0}
引用次数: 0

摘要

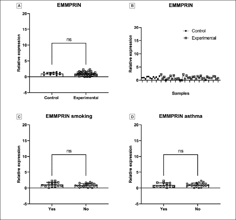
目的:金属蛋白酶(MMPs金属蛋白酶(MMPs)与慢性鼻炎伴鼻息肉(CRSwNP)的组织重塑有关。本研究旨在评估与健康粘膜相比,鼻息肉中 MMP-9 和细胞外基质金属蛋白酶诱导剂(EMMPRIN)的表达情况:方法:术中获取 37 名接受功能性内窥镜鼻窦手术的 CRSwNP 患者的组织样本和 12 名健康对照者的粘膜标本。通过反转录聚合酶链反应评估 MMP-9 和 EMMPRIN mRNA 水平,并通过 Western 印迹分析评估其蛋白表达:结果:与对照组相比,CRSwNP 患者的 MMP-9 mRNA 表达水平明显升高(p < 0.05)。MMP-9 蛋白水平呈上升趋势,但无统计学意义(P > 0.05)。EMMPRIN的mRNA和蛋白水平差异无统计学意义:结论:MMP-9 在鼻息肉中的上调是显而易见的,突出了其在 CRSwNP 发病机制中的作用。MMP-9 mRNA 和蛋白水平不一致可能是由于翻译后基因表达调控所致。虽然 EMMPRIN 的表达在两组间无明显差异,但其作用仍有待阐明。MMP-9可能是CRSwNP的一个有价值的生物标志物和治疗靶点。
本文章由计算机程序翻译,如有差异,请以英文原文为准。

Expression profiles of MMP-9 and EMMPRIN in chronic rhinosinusitis with nasal polyps.

Expression profiles of MMP-9 and EMMPRIN in chronic rhinosinusitis with nasal polyps.

Expression profiles of MMP-9 and EMMPRIN in chronic rhinosinusitis with nasal polyps.

Expression profiles of MMP-9 and EMMPRIN in chronic rhinosinusitis with nasal polyps.

Objective: Metalloproteinases (MMPs) are implicated in tissue remodeling in chronic rhinosinusitis with nasal polyps (CRSwNP). This study aimed to evaluate the expression profiles of MMP-9 and the extracellular matrix metalloproteinase inducer (EMMPRIN) in nasal polyps compared to healthy mucosa.

Methods: Tissue samples from 37 CRSwNP patients undergoing functional endoscopic sinus surgery and mucosal specimens from 12 healthy controls were obtained intra-operatively. MMP-9 and EMMPRIN mRNA levels were assessed by reverse transcription-polymerase chain reaction and their protein expression by Western blot analysis.

Results: MMP-9 mRNA expression levels were significantly elevated in CRSwNP compared to controls (p < 0.05). MMP-9 protein levels presented an increasing trend but with no statistical significance (p > 0.05). No statistically significant difference in EMMPRIN mRNA and protein levels was identified.

Conclusions: Upregulation of MMP-9 in nasal polyps is evident and highlights its role in the pathogenesis of CRSwNP. The lack of concordance between MMP-9 mRNA and protein levels may be attributed to post-translational gene expression regulation. Although EMMPRIN expression was not significantly different between the two groups, its role remains to be elucidated. MMP-9 may be a valuable biomarker and treatment target in CRSwNP.

求助全文
通过发布文献求助,成功后即可免费获取论文全文。 去求助
来源期刊
Acta Otorhinolaryngologica Italica
Acta Otorhinolaryngologica Italica OTORHINOLARYNGOLOGY-
CiteScore
3.40
自引率
10.00%
发文量
97
审稿时长
6-12 weeks
期刊介绍: Acta Otorhinolaryngologica Italica first appeared as “Annali di Laringologia Otologia e Faringologia” and was founded in 1901 by Giulio Masini. It is the official publication of the Italian Hospital Otology Association (A.O.O.I.) and, since 1976, also of the Società Italiana di Otorinolaringoiatria e Chirurgia Cervico-Facciale (S.I.O.Ch.C.-F.). The journal publishes original articles (clinical trials, cohort studies, case-control studies, cross-sectional surveys, and diagnostic test assessments) of interest in the field of otorhinolaryngology as well as clinical techniques and technology (a short report of unique or original methods for surgical techniques, medical management or new devices or technology), editorials (including editorial guests – special contribution) and letters to the Editor-in-Chief. Articles concerning science investigations and well prepared systematic reviews (including meta-analyses) on themes related to basic science, clinical otorhinolaryngology and head and neck surgery have high priority.
×
引用
GB/T 7714-2015
复制
MLA
复制
APA
复制
导出至
BibTeX EndNote RefMan NoteFirst NoteExpress
×
提示
您的信息不完整,为了账户安全,请先补充。
现在去补充
×
提示
您因"违规操作"
具体请查看互助需知
我知道了
×
提示
确定
请完成安全验证×
copy
已复制链接
快去分享给好友吧!
我知道了
右上角分享
点击右上角分享
0
联系我们:info@booksci.cn Book学术提供免费学术资源搜索服务,方便国内外学者检索中英文文献。致力于提供最便捷和优质的服务体验。 Copyright © 2023 布克学术 All rights reserved.
京ICP备2023020795号-1
ghs 京公网安备 11010802042870号
Book学术文献互助
Book学术文献互助群
群 号:604180095
Book学术官方微信