急性基底节缺血性脑卒中患者多频带功能连接性变化:机器学习方法

IF 0.1 0 LITERATURE
Childrens Literature Pub Date : 2022-03-20 eCollection Date: 2022-01-01 DOI:10.1155/2022/1560748
Jie Li, Lulu Cheng, Shijian Chen, Jian Zhang, Dongqiang Liu, Zhijian Liang, Huayun Li
{"title":"急性基底节缺血性脑卒中患者多频带功能连接性变化:机器学习方法","authors":"Jie Li, Lulu Cheng, Shijian Chen, Jian Zhang, Dongqiang Liu, Zhijian Liang, Huayun Li","doi":"10.1155/2022/1560748","DOIUrl":null,"url":null,"abstract":"<p><strong>Purpose: </strong>Several functional magnetic resonance imaging (fMRI) studies have investigated the resting-state functional connectivity (rs-FC) changes in the primary motor cortex (M1) in patients with acute basal ganglia ischemic stroke (BGIS). However, the frequency-specific FC changes of M1 in acute BGIS patients are still unclear. Our study was aimed at exploring the altered FC of M1 in three frequency bands and the potential features as biomarkers for the identification by using a support vector machine (SVM).</p><p><strong>Methods: </strong>We included 28 acute BGIS patients and 42 healthy controls (HCs). Seed-based FC of two regions of interest (ROI, bilateral M1s) were calculated in conventional, slow-5, and slow-4 frequency bands. The abnormal voxel-wise FC values were defined as the features for SVM in different frequency bands.</p><p><strong>Results: </strong>In the ipsilesional M1, the acute BGIS patients exhibited decreased FC with the right lingual gyrus in the conventional and slow-4 frequency band. Besides, the acute BGIS patients showed increased FC with the right medial superior frontal gyrus (SFGmed) in the conventional and slow-5 frequency band and decreased FC with the left lingual gyrus in the slow-5 frequency band. In the contralesional M1, the BGIS patients showed lower FC with the right SFGmed in the conventional frequency band. The higher FC values with the right lingual gyrus and left SFGmed were detected in the slow-4 frequency band. In the slow-5 frequency band, the BGIS patients showed decreased FC with the left calcarine sulcus. SVM results showed that the combined features (slow-4+slow-5) had the highest accuracy in classification prediction of acute BGIS patients, with an area under curve (AUC) of 0.86.</p><p><strong>Conclusion: </strong>Acute BGIS patients had frequency-specific alterations in FC; SVM is a promising method for exploring these frequency-dependent FC alterations. The abnormal brain regions might be potential targets for future researchers in the rehabilitation and treatment of stroke patients.</p>","PeriodicalId":40504,"journal":{"name":"Childrens Literature","volume":"24 1","pages":"1560748"},"PeriodicalIF":0.1000,"publicationDate":"2022-03-20","publicationTypes":"Journal Article","fieldsOfStudy":null,"isOpenAccess":false,"openAccessPdf":"https://www.ncbi.nlm.nih.gov/pmc/articles/PMC8958111/pdf/","citationCount":"0","resultStr":"{\"title\":\"Functional Connectivity Changes in Multiple-Frequency Bands in Acute Basal Ganglia Ischemic Stroke Patients: A Machine Learning Approach.\",\"authors\":\"Jie Li, Lulu Cheng, Shijian Chen, Jian Zhang, Dongqiang Liu, Zhijian Liang, Huayun Li\",\"doi\":\"10.1155/2022/1560748\",\"DOIUrl\":null,\"url\":null,\"abstract\":\"<p><strong>Purpose: </strong>Several functional magnetic resonance imaging (fMRI) studies have investigated the resting-state functional connectivity (rs-FC) changes in the primary motor cortex (M1) in patients with acute basal ganglia ischemic stroke (BGIS). However, the frequency-specific FC changes of M1 in acute BGIS patients are still unclear. Our study was aimed at exploring the altered FC of M1 in three frequency bands and the potential features as biomarkers for the identification by using a support vector machine (SVM).</p><p><strong>Methods: </strong>We included 28 acute BGIS patients and 42 healthy controls (HCs). Seed-based FC of two regions of interest (ROI, bilateral M1s) were calculated in conventional, slow-5, and slow-4 frequency bands. The abnormal voxel-wise FC values were defined as the features for SVM in different frequency bands.</p><p><strong>Results: </strong>In the ipsilesional M1, the acute BGIS patients exhibited decreased FC with the right lingual gyrus in the conventional and slow-4 frequency band. Besides, the acute BGIS patients showed increased FC with the right medial superior frontal gyrus (SFGmed) in the conventional and slow-5 frequency band and decreased FC with the left lingual gyrus in the slow-5 frequency band. In the contralesional M1, the BGIS patients showed lower FC with the right SFGmed in the conventional frequency band. The higher FC values with the right lingual gyrus and left SFGmed were detected in the slow-4 frequency band. In the slow-5 frequency band, the BGIS patients showed decreased FC with the left calcarine sulcus. SVM results showed that the combined features (slow-4+slow-5) had the highest accuracy in classification prediction of acute BGIS patients, with an area under curve (AUC) of 0.86.</p><p><strong>Conclusion: </strong>Acute BGIS patients had frequency-specific alterations in FC; SVM is a promising method for exploring these frequency-dependent FC alterations. The abnormal brain regions might be potential targets for future researchers in the rehabilitation and treatment of stroke patients.</p>\",\"PeriodicalId\":40504,\"journal\":{\"name\":\"Childrens Literature\",\"volume\":\"24 1\",\"pages\":\"1560748\"},\"PeriodicalIF\":0.1000,\"publicationDate\":\"2022-03-20\",\"publicationTypes\":\"Journal Article\",\"fieldsOfStudy\":null,\"isOpenAccess\":false,\"openAccessPdf\":\"https://www.ncbi.nlm.nih.gov/pmc/articles/PMC8958111/pdf/\",\"citationCount\":\"0\",\"resultStr\":null,\"platform\":\"Semanticscholar\",\"paperid\":null,\"PeriodicalName\":\"Childrens Literature\",\"FirstCategoryId\":\"3\",\"ListUrlMain\":\"https://doi.org/10.1155/2022/1560748\",\"RegionNum\":0,\"RegionCategory\":null,\"ArticlePicture\":[],\"TitleCN\":null,\"AbstractTextCN\":null,\"PMCID\":null,\"EPubDate\":\"2022/1/1 0:00:00\",\"PubModel\":\"eCollection\",\"JCR\":\"0\",\"JCRName\":\"LITERATURE\",\"Score\":null,\"Total\":0}","platform":"Semanticscholar","paperid":null,"PeriodicalName":"Childrens Literature","FirstCategoryId":"3","ListUrlMain":"https://doi.org/10.1155/2022/1560748","RegionNum":0,"RegionCategory":null,"ArticlePicture":[],"TitleCN":null,"AbstractTextCN":null,"PMCID":null,"EPubDate":"2022/1/1 0:00:00","PubModel":"eCollection","JCR":"0","JCRName":"LITERATURE","Score":null,"Total":0}
引用次数: 0

摘要

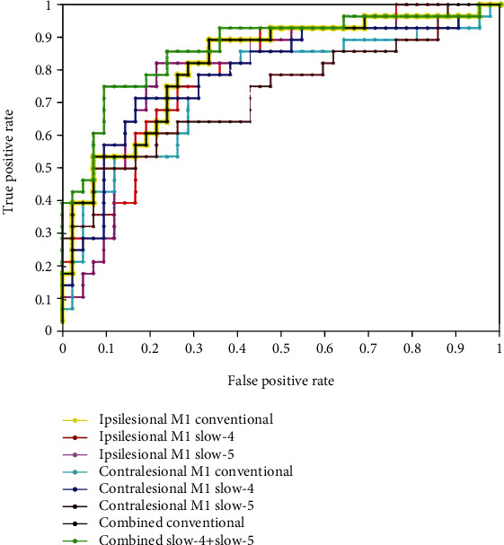
目的:几项功能磁共振成像(fMRI)研究调查了急性基底节缺血性卒中(BGIS)患者初级运动皮层(M1)的静息态功能连通性(rs-FC)变化。然而,急性基底节缺血性卒中患者M1的频率特异性FC变化仍不清楚。我们的研究旨在利用支持向量机(SVM)探索 M1 在三个频段的 FC 变化以及作为生物标记物的潜在识别特征:我们纳入了 28 名急性 BGIS 患者和 42 名健康对照者(HCs)。在常规、慢速-5 和慢速-4 频段中计算了两个感兴趣区(ROI,双侧 M1s)基于种子的 FC。异常体素FC值被定义为不同频段SVM的特征:结果:在同侧 M1 中,急性 BGIS 患者在常规和慢-4 频段中与右侧舌回的 FC 值下降。此外,在常规和慢-5 频段,急性 BGIS 患者右侧内侧额上回的 FC 增加,而在慢-5 频段,左侧舌回的 FC 减少。在对侧 M1,BGIS 患者在常规频段与右侧 SFGmed 的 FC 值较低。在慢-4 频段,右侧舌回和左侧 SFGmed 的 FC 值较高。在慢-5 频段,BGIS 患者左侧钙沟的 FC 值降低。SVM 结果显示,组合特征(慢-4+慢-5)对急性 BGIS 患者的分类预测准确率最高,曲线下面积(AUC)为 0.86:急性 BGIS 患者的 FC 有频率特异性改变;SVM 是探索这些频率依赖性 FC 改变的一种有前途的方法。这些异常脑区可能是未来研究人员在脑卒中患者康复和治疗方面的潜在目标。
本文章由计算机程序翻译,如有差异,请以英文原文为准。

Functional Connectivity Changes in Multiple-Frequency Bands in Acute Basal Ganglia Ischemic Stroke Patients: A Machine Learning Approach.

Functional Connectivity Changes in Multiple-Frequency Bands in Acute Basal Ganglia Ischemic Stroke Patients: A Machine Learning Approach.

Functional Connectivity Changes in Multiple-Frequency Bands in Acute Basal Ganglia Ischemic Stroke Patients: A Machine Learning Approach.

Functional Connectivity Changes in Multiple-Frequency Bands in Acute Basal Ganglia Ischemic Stroke Patients: A Machine Learning Approach.

Purpose: Several functional magnetic resonance imaging (fMRI) studies have investigated the resting-state functional connectivity (rs-FC) changes in the primary motor cortex (M1) in patients with acute basal ganglia ischemic stroke (BGIS). However, the frequency-specific FC changes of M1 in acute BGIS patients are still unclear. Our study was aimed at exploring the altered FC of M1 in three frequency bands and the potential features as biomarkers for the identification by using a support vector machine (SVM).

Methods: We included 28 acute BGIS patients and 42 healthy controls (HCs). Seed-based FC of two regions of interest (ROI, bilateral M1s) were calculated in conventional, slow-5, and slow-4 frequency bands. The abnormal voxel-wise FC values were defined as the features for SVM in different frequency bands.

Results: In the ipsilesional M1, the acute BGIS patients exhibited decreased FC with the right lingual gyrus in the conventional and slow-4 frequency band. Besides, the acute BGIS patients showed increased FC with the right medial superior frontal gyrus (SFGmed) in the conventional and slow-5 frequency band and decreased FC with the left lingual gyrus in the slow-5 frequency band. In the contralesional M1, the BGIS patients showed lower FC with the right SFGmed in the conventional frequency band. The higher FC values with the right lingual gyrus and left SFGmed were detected in the slow-4 frequency band. In the slow-5 frequency band, the BGIS patients showed decreased FC with the left calcarine sulcus. SVM results showed that the combined features (slow-4+slow-5) had the highest accuracy in classification prediction of acute BGIS patients, with an area under curve (AUC) of 0.86.

Conclusion: Acute BGIS patients had frequency-specific alterations in FC; SVM is a promising method for exploring these frequency-dependent FC alterations. The abnormal brain regions might be potential targets for future researchers in the rehabilitation and treatment of stroke patients.

求助全文
通过发布文献求助,成功后即可免费获取论文全文。 去求助
来源期刊
Childrens Literature
Childrens Literature LITERATURE-
CiteScore
0.30
自引率
0.00%
发文量
0
×
引用
GB/T 7714-2015
复制
MLA
复制
APA
复制
导出至
BibTeX EndNote RefMan NoteFirst NoteExpress
×
提示
您的信息不完整,为了账户安全,请先补充。
现在去补充
×
提示
您因"违规操作"
具体请查看互助需知
我知道了
×
提示
确定
请完成安全验证×
copy
已复制链接
快去分享给好友吧!
我知道了
右上角分享
点击右上角分享
0
联系我们:info@booksci.cn Book学术提供免费学术资源搜索服务,方便国内外学者检索中英文文献。致力于提供最便捷和优质的服务体验。 Copyright © 2023 布克学术 All rights reserved.
京ICP备2023020795号-1
ghs 京公网安备 11010802042870号
Book学术文献互助
Book学术文献互助群
群 号:604180095
Book学术官方微信