TaDeg7表达下调可抑制面包小麦的光合活性。

IF 1.6 4区 生物学 Q2 PLANT SCIENCES
Photosynthetica Pub Date : 2023-03-30 eCollection Date: 2023-01-01 DOI:10.32615/ps.2023.008
F F Liu, G P Li, H W Li
{"title":"TaDeg7表达下调可抑制面包小麦的光合活性。","authors":"F F Liu, G P Li, H W Li","doi":"10.32615/ps.2023.008","DOIUrl":null,"url":null,"abstract":"<p><p>Deg proteases play critical roles in photoprotection and PSII-repair circle, which remains elusive in cereal crops including wheat. Here, a Deg7-encoding gene <i>TaDeg7</i> was silenced in wheat <i>via</i> a <i>Barley stripe mosaic virus</i>-induced gene-silencing system (BSMV-VIGS). When the expression level of <i>TaDeg7</i> was downregulated, the photosynthetic activity including CO<sub>2</sub> assimilation rate, actual photochemical efficiency of PSII, and electron transport rate declined while the nonphotochemical quenching increased significantly. When grown in high light, the <i>BSMV:TaDeg7</i> plants accumulated more soluble sugar, malondialdehyde, and superoxide anion but had lower superoxide dismutase activity and less ascorbic acid. Additionally, the expression levels of <i>TaPsbA</i> and <i>TarbcS</i> were repressed in the <i>BSMV:TaDeg7</i> plants in high light. The <i>BSMV:TaDeg7</i> plants also were more sensitive to high-light stress. Collectively, it appeared that <i>TaDeg7</i> may be a potential target for wheat radiation-use efficiency improvement against high light stress.</p>","PeriodicalId":20157,"journal":{"name":"Photosynthetica","volume":"29 1","pages":"97-107"},"PeriodicalIF":1.6000,"publicationDate":"2023-03-30","publicationTypes":"Journal Article","fieldsOfStudy":null,"isOpenAccess":false,"openAccessPdf":"https://www.ncbi.nlm.nih.gov/pmc/articles/PMC11515814/pdf/","citationCount":"0","resultStr":"{\"title\":\"Downregulated expression of <i>TaDeg7</i> inhibits photosynthetic activity in bread wheat (<i>Triticum aestivum</i> L.).\",\"authors\":\"F F Liu, G P Li, H W Li\",\"doi\":\"10.32615/ps.2023.008\",\"DOIUrl\":null,\"url\":null,\"abstract\":\"<p><p>Deg proteases play critical roles in photoprotection and PSII-repair circle, which remains elusive in cereal crops including wheat. Here, a Deg7-encoding gene <i>TaDeg7</i> was silenced in wheat <i>via</i> a <i>Barley stripe mosaic virus</i>-induced gene-silencing system (BSMV-VIGS). When the expression level of <i>TaDeg7</i> was downregulated, the photosynthetic activity including CO<sub>2</sub> assimilation rate, actual photochemical efficiency of PSII, and electron transport rate declined while the nonphotochemical quenching increased significantly. When grown in high light, the <i>BSMV:TaDeg7</i> plants accumulated more soluble sugar, malondialdehyde, and superoxide anion but had lower superoxide dismutase activity and less ascorbic acid. Additionally, the expression levels of <i>TaPsbA</i> and <i>TarbcS</i> were repressed in the <i>BSMV:TaDeg7</i> plants in high light. The <i>BSMV:TaDeg7</i> plants also were more sensitive to high-light stress. Collectively, it appeared that <i>TaDeg7</i> may be a potential target for wheat radiation-use efficiency improvement against high light stress.</p>\",\"PeriodicalId\":20157,\"journal\":{\"name\":\"Photosynthetica\",\"volume\":\"29 1\",\"pages\":\"97-107\"},\"PeriodicalIF\":1.6000,\"publicationDate\":\"2023-03-30\",\"publicationTypes\":\"Journal Article\",\"fieldsOfStudy\":null,\"isOpenAccess\":false,\"openAccessPdf\":\"https://www.ncbi.nlm.nih.gov/pmc/articles/PMC11515814/pdf/\",\"citationCount\":\"0\",\"resultStr\":null,\"platform\":\"Semanticscholar\",\"paperid\":null,\"PeriodicalName\":\"Photosynthetica\",\"FirstCategoryId\":\"99\",\"ListUrlMain\":\"https://doi.org/10.32615/ps.2023.008\",\"RegionNum\":4,\"RegionCategory\":\"生物学\",\"ArticlePicture\":[],\"TitleCN\":null,\"AbstractTextCN\":null,\"PMCID\":null,\"EPubDate\":\"2023/1/1 0:00:00\",\"PubModel\":\"eCollection\",\"JCR\":\"Q2\",\"JCRName\":\"PLANT SCIENCES\",\"Score\":null,\"Total\":0}","platform":"Semanticscholar","paperid":null,"PeriodicalName":"Photosynthetica","FirstCategoryId":"99","ListUrlMain":"https://doi.org/10.32615/ps.2023.008","RegionNum":4,"RegionCategory":"生物学","ArticlePicture":[],"TitleCN":null,"AbstractTextCN":null,"PMCID":null,"EPubDate":"2023/1/1 0:00:00","PubModel":"eCollection","JCR":"Q2","JCRName":"PLANT SCIENCES","Score":null,"Total":0}
引用次数: 0

摘要

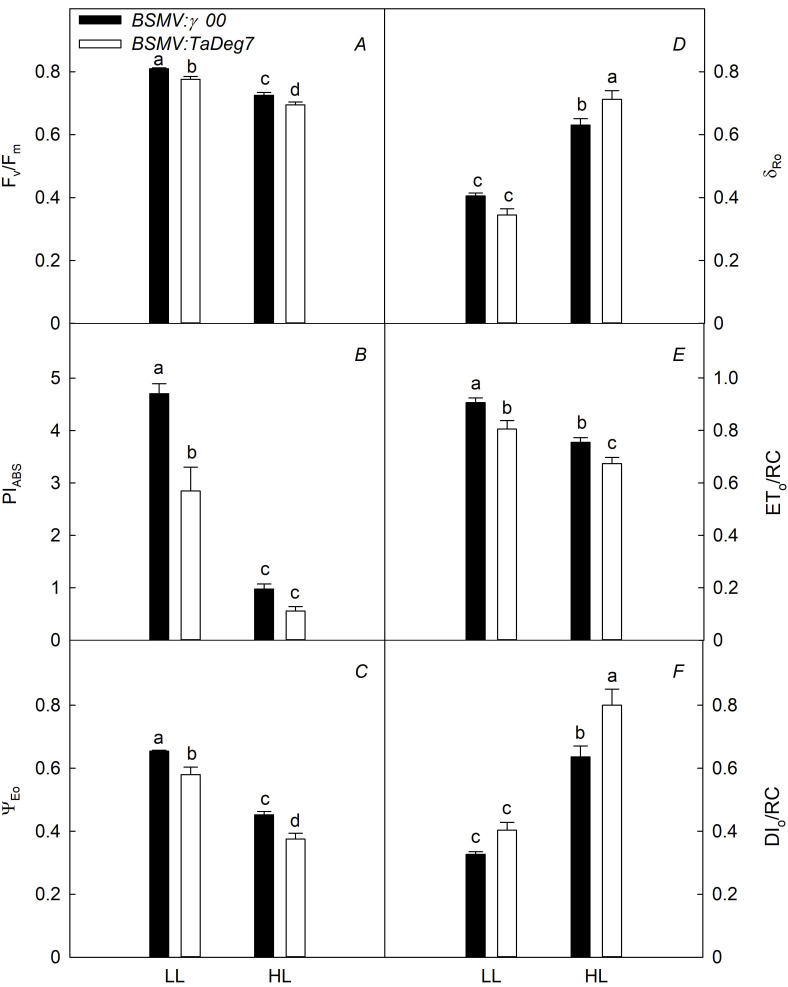
在包括小麦在内的谷类作物中,脱蛋白酶在光保护和psii修复循环中起着至关重要的作用。本研究通过大麦条纹花叶病毒诱导的基因沉默系统(BSMV-VIGS)对小麦中编码deg7的基因TaDeg7进行了沉默。当TaDeg7表达水平下调时,光合活性包括CO2同化速率、PSII的实际光化学效率和电子传递速率下降,而非光化学猝灭显著增加。在强光条件下,BSMV: tade7植株积累了更多的可溶性糖、丙二醛和超氧阴离子,但超氧歧化酶活性较低,抗坏血酸含量较低。此外,在强光条件下,BSMV: tade7植物中TaPsbA和TarbcS的表达水平受到抑制。BSMV: tade7植株对强光胁迫也更敏感。综上所述,tade7可能是提高小麦抗强光胁迫辐射利用效率的潜在靶点。
本文章由计算机程序翻译,如有差异,请以英文原文为准。

Downregulated expression of <i>TaDeg7</i> inhibits photosynthetic activity in bread wheat (<i>Triticum aestivum</i> L.).

Downregulated expression of <i>TaDeg7</i> inhibits photosynthetic activity in bread wheat (<i>Triticum aestivum</i> L.).

Downregulated expression of <i>TaDeg7</i> inhibits photosynthetic activity in bread wheat (<i>Triticum aestivum</i> L.).

Downregulated expression of TaDeg7 inhibits photosynthetic activity in bread wheat (Triticum aestivum L.).

Deg proteases play critical roles in photoprotection and PSII-repair circle, which remains elusive in cereal crops including wheat. Here, a Deg7-encoding gene TaDeg7 was silenced in wheat via a Barley stripe mosaic virus-induced gene-silencing system (BSMV-VIGS). When the expression level of TaDeg7 was downregulated, the photosynthetic activity including CO2 assimilation rate, actual photochemical efficiency of PSII, and electron transport rate declined while the nonphotochemical quenching increased significantly. When grown in high light, the BSMV:TaDeg7 plants accumulated more soluble sugar, malondialdehyde, and superoxide anion but had lower superoxide dismutase activity and less ascorbic acid. Additionally, the expression levels of TaPsbA and TarbcS were repressed in the BSMV:TaDeg7 plants in high light. The BSMV:TaDeg7 plants also were more sensitive to high-light stress. Collectively, it appeared that TaDeg7 may be a potential target for wheat radiation-use efficiency improvement against high light stress.

求助全文
通过发布文献求助,成功后即可免费获取论文全文。 去求助
来源期刊
Photosynthetica
Photosynthetica 生物-植物科学
CiteScore
5.60
自引率
7.40%
发文量
55
审稿时长
3.8 months
期刊介绍: Photosynthetica publishes original scientific papers and brief communications, reviews on specialized topics, book reviews and announcements and reports covering wide range of photosynthesis research or research including photosynthetic parameters of both experimental and theoretical nature and dealing with physiology, biophysics, biochemistry, molecular biology on one side and leaf optics, stress physiology and ecology of photosynthesis on the other side. The language of journal is English (British or American). Papers should not be published or under consideration for publication elsewhere.
×
引用
GB/T 7714-2015
复制
MLA
复制
APA
复制
导出至
BibTeX EndNote RefMan NoteFirst NoteExpress
×
提示
您的信息不完整,为了账户安全,请先补充。
现在去补充
×
提示
您因"违规操作"
具体请查看互助需知
我知道了
×
提示
确定
请完成安全验证×
copy
已复制链接
快去分享给好友吧!
我知道了
右上角分享
点击右上角分享
0
联系我们:info@booksci.cn Book学术提供免费学术资源搜索服务,方便国内外学者检索中英文文献。致力于提供最便捷和优质的服务体验。 Copyright © 2023 布克学术 All rights reserved.
京ICP备2023020795号-1
ghs 京公网安备 11010802042870号
Book学术文献互助
Book学术文献互助群
群 号:604180095
Book学术官方微信