急性脑外伤患者入院时的血清生物标志物浓度:喀麦隆转诊医院中创伤性脑损伤严重程度、弓形虫感染和预后的相关性。

IF 1.2 4区 医学 Q3 EDUCATION, SPECIAL
Infants & Young Children Pub Date : 2023-07-03 eCollection Date: 2023-09-01 DOI:10.3390/neurosci4030015
Franklin Chu Buh, Germain Sotoing Taiwe, Firas H Kobeissy, Kevin W Wang, Andrew I R Maas, Mathieu Motah, Basil Kum Meh, Eric Youm, Peter J A Hutchinson, Irene Ule Ngole Sumbele
{"title":"急性脑外伤患者入院时的血清生物标志物浓度:喀麦隆转诊医院中创伤性脑损伤严重程度、弓形虫感染和预后的相关性。","authors":"Franklin Chu Buh, Germain Sotoing Taiwe, Firas H Kobeissy, Kevin W Wang, Andrew I R Maas, Mathieu Motah, Basil Kum Meh, Eric Youm, Peter J A Hutchinson, Irene Ule Ngole Sumbele","doi":"10.3390/neurosci4030015","DOIUrl":null,"url":null,"abstract":"<p><p>Despite the available literature on traumatic brain injury (TBI) biomarkers elsewhere, data are limited or non-existent in sub-Saharan Africa (SSA). The aim of the study was to analyse associations in acute TBI between the admission serum biomarker concentrations and TBI severity, CT-scan findings, and outcome, as well as to explore the influence of concurrent <i>Toxoplasma gondii</i> infection. The concentrations of serum biomarkers (GFAP, NFL Tau, UCH-L1, and S100B) were measured and <i>Toxoplasma gondii</i> were detected in the samples obtained <24 h post injury. GOSE was used to evaluate the 6-month outcome. All of the biomarker levels increased with the severity of TBI, but this increase was significant only for NFL (<i>p</i> = 0.01). The GFAP values significantly increased (<i>p</i> = 0.026) in those with an unfavourable outcome. The Tau levels were higher in those who died (<i>p</i> = 0.017). GFAP and NFL were sensitive to CT-scan pathology (<i>p</i> values of 0.004 and 0.002, respectively). The S100B levels were higher (<i>p</i> < 0.001) in TBI patients seropositive to <i>Toxoplasma gondii.</i> In conclusion, NFL was found to be sensitive to TBI severity, while NFL and GFAP were predictive of CT intracranial abnormalities. Increased levels of GFAP and Tau were associated with poorer outcomes 6 months after TBI, and the S100B levels were significantly affected by concurrent <i>T. gondii</i> infection in TBI patients compared with the seronegative patients.</p>","PeriodicalId":47099,"journal":{"name":"Infants & Young Children","volume":"13 1","pages":"164-177"},"PeriodicalIF":1.2000,"publicationDate":"2023-07-03","publicationTypes":"Journal Article","fieldsOfStudy":null,"isOpenAccess":false,"openAccessPdf":"https://www.ncbi.nlm.nih.gov/pmc/articles/PMC11523680/pdf/","citationCount":"0","resultStr":"{\"title\":\"Serum Biomarker Concentrations upon Admission in Acute Traumatic Brain Injury: Associations with TBI Severity, <i>Toxoplasma gondii</i> Infection, and Outcome in a Referral Hospital Setting in Cameroon.\",\"authors\":\"Franklin Chu Buh, Germain Sotoing Taiwe, Firas H Kobeissy, Kevin W Wang, Andrew I R Maas, Mathieu Motah, Basil Kum Meh, Eric Youm, Peter J A Hutchinson, Irene Ule Ngole Sumbele\",\"doi\":\"10.3390/neurosci4030015\",\"DOIUrl\":null,\"url\":null,\"abstract\":\"<p><p>Despite the available literature on traumatic brain injury (TBI) biomarkers elsewhere, data are limited or non-existent in sub-Saharan Africa (SSA). The aim of the study was to analyse associations in acute TBI between the admission serum biomarker concentrations and TBI severity, CT-scan findings, and outcome, as well as to explore the influence of concurrent <i>Toxoplasma gondii</i> infection. The concentrations of serum biomarkers (GFAP, NFL Tau, UCH-L1, and S100B) were measured and <i>Toxoplasma gondii</i> were detected in the samples obtained <24 h post injury. GOSE was used to evaluate the 6-month outcome. All of the biomarker levels increased with the severity of TBI, but this increase was significant only for NFL (<i>p</i> = 0.01). The GFAP values significantly increased (<i>p</i> = 0.026) in those with an unfavourable outcome. The Tau levels were higher in those who died (<i>p</i> = 0.017). GFAP and NFL were sensitive to CT-scan pathology (<i>p</i> values of 0.004 and 0.002, respectively). The S100B levels were higher (<i>p</i> < 0.001) in TBI patients seropositive to <i>Toxoplasma gondii.</i> In conclusion, NFL was found to be sensitive to TBI severity, while NFL and GFAP were predictive of CT intracranial abnormalities. Increased levels of GFAP and Tau were associated with poorer outcomes 6 months after TBI, and the S100B levels were significantly affected by concurrent <i>T. gondii</i> infection in TBI patients compared with the seronegative patients.</p>\",\"PeriodicalId\":47099,\"journal\":{\"name\":\"Infants & Young Children\",\"volume\":\"13 1\",\"pages\":\"164-177\"},\"PeriodicalIF\":1.2000,\"publicationDate\":\"2023-07-03\",\"publicationTypes\":\"Journal Article\",\"fieldsOfStudy\":null,\"isOpenAccess\":false,\"openAccessPdf\":\"https://www.ncbi.nlm.nih.gov/pmc/articles/PMC11523680/pdf/\",\"citationCount\":\"0\",\"resultStr\":null,\"platform\":\"Semanticscholar\",\"paperid\":null,\"PeriodicalName\":\"Infants & Young Children\",\"FirstCategoryId\":\"1085\",\"ListUrlMain\":\"https://doi.org/10.3390/neurosci4030015\",\"RegionNum\":4,\"RegionCategory\":\"医学\",\"ArticlePicture\":[],\"TitleCN\":null,\"AbstractTextCN\":null,\"PMCID\":null,\"EPubDate\":\"2023/9/1 0:00:00\",\"PubModel\":\"eCollection\",\"JCR\":\"Q3\",\"JCRName\":\"EDUCATION, SPECIAL\",\"Score\":null,\"Total\":0}","platform":"Semanticscholar","paperid":null,"PeriodicalName":"Infants & Young Children","FirstCategoryId":"1085","ListUrlMain":"https://doi.org/10.3390/neurosci4030015","RegionNum":4,"RegionCategory":"医学","ArticlePicture":[],"TitleCN":null,"AbstractTextCN":null,"PMCID":null,"EPubDate":"2023/9/1 0:00:00","PubModel":"eCollection","JCR":"Q3","JCRName":"EDUCATION, SPECIAL","Score":null,"Total":0}
引用次数: 0

摘要

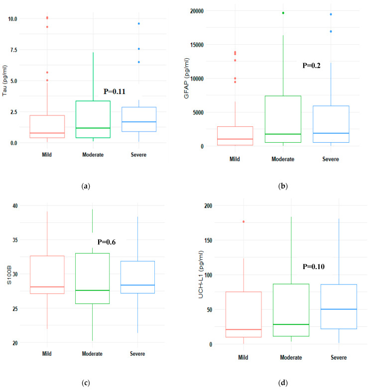
尽管其他地方有关于创伤性脑损伤(TBI)生物标志物的文献,但撒哈拉以南非洲地区(SSA)的数据却很有限或根本没有。本研究旨在分析急性创伤性脑损伤患者入院时血清生物标志物浓度与创伤性脑损伤严重程度、CT 扫描结果和预后之间的关系,并探讨同时感染弓形虫的影响。对血清生物标志物(GFAP、NFL Tau、UCH-L1 和 S100B)的浓度进行了测定,并在样本中检测到弓形虫,结果显示 p = 0.01。)预后不良者的 GFAP 值明显升高(p = 0.026)。死亡患者的 Tau 水平较高(p = 0.017)。GFAP 和 NFL 对 CT 扫描病理很敏感(p 值分别为 0.004 和 0.002)。对弓形虫血清反应呈阳性的创伤性脑损伤患者的 S100B 水平更高(p < 0.001)。总之,NFL 对 TBI 严重程度很敏感,而 NFL 和 GFAP 可预测 CT 颅内异常。GFAP和Tau水平的升高与创伤性脑损伤6个月后较差的预后有关,与血清阴性患者相比,创伤性脑损伤患者同时感染弓形虫会显著影响S100B水平。
本文章由计算机程序翻译,如有差异,请以英文原文为准。

Serum Biomarker Concentrations upon Admission in Acute Traumatic Brain Injury: Associations with TBI Severity, <i>Toxoplasma gondii</i> Infection, and Outcome in a Referral Hospital Setting in Cameroon.

Serum Biomarker Concentrations upon Admission in Acute Traumatic Brain Injury: Associations with TBI Severity, <i>Toxoplasma gondii</i> Infection, and Outcome in a Referral Hospital Setting in Cameroon.

Serum Biomarker Concentrations upon Admission in Acute Traumatic Brain Injury: Associations with TBI Severity, Toxoplasma gondii Infection, and Outcome in a Referral Hospital Setting in Cameroon.

Despite the available literature on traumatic brain injury (TBI) biomarkers elsewhere, data are limited or non-existent in sub-Saharan Africa (SSA). The aim of the study was to analyse associations in acute TBI between the admission serum biomarker concentrations and TBI severity, CT-scan findings, and outcome, as well as to explore the influence of concurrent Toxoplasma gondii infection. The concentrations of serum biomarkers (GFAP, NFL Tau, UCH-L1, and S100B) were measured and Toxoplasma gondii were detected in the samples obtained <24 h post injury. GOSE was used to evaluate the 6-month outcome. All of the biomarker levels increased with the severity of TBI, but this increase was significant only for NFL (p = 0.01). The GFAP values significantly increased (p = 0.026) in those with an unfavourable outcome. The Tau levels were higher in those who died (p = 0.017). GFAP and NFL were sensitive to CT-scan pathology (p values of 0.004 and 0.002, respectively). The S100B levels were higher (p < 0.001) in TBI patients seropositive to Toxoplasma gondii. In conclusion, NFL was found to be sensitive to TBI severity, while NFL and GFAP were predictive of CT intracranial abnormalities. Increased levels of GFAP and Tau were associated with poorer outcomes 6 months after TBI, and the S100B levels were significantly affected by concurrent T. gondii infection in TBI patients compared with the seronegative patients.

求助全文
通过发布文献求助,成功后即可免费获取论文全文。 去求助
来源期刊
CiteScore
1.90
自引率
9.10%
发文量
24
期刊介绍: Infants & Young Children is an interdisciplinary journal focusing on vulnerable children from birth to five years of age and their families. Of special interest are articles involving innovative interventions, summaries of important research developments and their implications for practice, updates for high priority topic areas, balanced presentations of controversial issues, and articles that address issues involving policy, professional training, new conceptual models, and related matters. Although data are often presented primarily to illustrate points, some types of data-based articles may be appropriate.
×
引用
GB/T 7714-2015
复制
MLA
复制
APA
复制
导出至
BibTeX EndNote RefMan NoteFirst NoteExpress
×
提示
您的信息不完整,为了账户安全,请先补充。
现在去补充
×
提示
您因"违规操作"
具体请查看互助需知
我知道了
×
提示
确定
请完成安全验证×
copy
已复制链接
快去分享给好友吧!
我知道了
右上角分享
点击右上角分享
0
联系我们:info@booksci.cn Book学术提供免费学术资源搜索服务,方便国内外学者检索中英文文献。致力于提供最便捷和优质的服务体验。 Copyright © 2023 布克学术 All rights reserved.
京ICP备2023020795号-1
ghs 京公网安备 11010802042870号
Book学术文献互助
Book学术文献互助群
群 号:604180095
Book学术官方微信