Ti-SBA-15/C3N4 在可见光下降解水中 2,4-二氯苯氧乙酸的光催化活性

IF 0.9 4区 心理学 Q4 PSYCHOLOGY, SOCIAL
Journal of Individual Differences Pub Date : 2022-03-22 eCollection Date: 2022-01-01 DOI:10.1155/2022/5531219
Hoa T T Duong, Mai T P Duong, Oanh K Nguyen, Son T Le, Long V Dang, Binh T Nguyen, Dang V Do
{"title":"Ti-SBA-15/C3N4 在可见光下降解水中 2,4-二氯苯氧乙酸的光催化活性","authors":"Hoa T T Duong, Mai T P Duong, Oanh K Nguyen, Son T Le, Long V Dang, Binh T Nguyen, Dang V Do","doi":"10.1155/2022/5531219","DOIUrl":null,"url":null,"abstract":"<p><p>In the present study, the photocatalytic activity of Ti-SBA-15/C<sub>3</sub>N<sub>4</sub> catalysts was investigated to degrade 2,4-Dichlorophenoxyacetic acid (2,4-D) herbicides in water under visible light irradiation. The catalysts were synthesized via a simple hydrothermal method and characterized by various analytical techniques, including SAXS, N<sub>2</sub> adsorption-desorption isotherms, Zeta potential, PL, FT-IR, XRF, TGA, and UV-DRS. Our study indicated that the 2.5Ti-SBA-15/C<sub>3</sub>N<sub>4</sub> had higher efficiency in the degradation of 2,4-D than Ti-SBA-15 and C<sub>3</sub>N<sub>4</sub>. The decomposition of 2,4-D reached 60% under 180 minutes of visible light irradiation at room temperature on 2.5Ti-SBA-15/C<sub>3</sub>N<sub>4</sub>. Moreover, the degradation of 2,4-D on Ti-SBA-15/C<sub>3</sub>N<sub>4</sub> was pseudo-first-order kinetics with the highest rate constant (0.00484 min<sup>-1</sup>), which was much higher than that obtained for other photocatalysts reported recently. Furthermore, the catalyst can be reused at least two times for photodegradation of 2,4-D solution under visible light irradiation within a slight decrease in catalytic activity.</p>","PeriodicalId":47049,"journal":{"name":"Journal of Individual Differences","volume":"30 1","pages":"5531219"},"PeriodicalIF":0.9000,"publicationDate":"2022-03-22","publicationTypes":"Journal Article","fieldsOfStudy":null,"isOpenAccess":false,"openAccessPdf":"https://www.ncbi.nlm.nih.gov/pmc/articles/PMC8964217/pdf/","citationCount":"0","resultStr":"{\"title\":\"Photocatalytic Activity of Ti-SBA-15/C3N4 for Degradation of 2,4-Dichlorophenoxyacetic Acid in Water under Visible Light.\",\"authors\":\"Hoa T T Duong, Mai T P Duong, Oanh K Nguyen, Son T Le, Long V Dang, Binh T Nguyen, Dang V Do\",\"doi\":\"10.1155/2022/5531219\",\"DOIUrl\":null,\"url\":null,\"abstract\":\"<p><p>In the present study, the photocatalytic activity of Ti-SBA-15/C<sub>3</sub>N<sub>4</sub> catalysts was investigated to degrade 2,4-Dichlorophenoxyacetic acid (2,4-D) herbicides in water under visible light irradiation. The catalysts were synthesized via a simple hydrothermal method and characterized by various analytical techniques, including SAXS, N<sub>2</sub> adsorption-desorption isotherms, Zeta potential, PL, FT-IR, XRF, TGA, and UV-DRS. Our study indicated that the 2.5Ti-SBA-15/C<sub>3</sub>N<sub>4</sub> had higher efficiency in the degradation of 2,4-D than Ti-SBA-15 and C<sub>3</sub>N<sub>4</sub>. The decomposition of 2,4-D reached 60% under 180 minutes of visible light irradiation at room temperature on 2.5Ti-SBA-15/C<sub>3</sub>N<sub>4</sub>. Moreover, the degradation of 2,4-D on Ti-SBA-15/C<sub>3</sub>N<sub>4</sub> was pseudo-first-order kinetics with the highest rate constant (0.00484 min<sup>-1</sup>), which was much higher than that obtained for other photocatalysts reported recently. Furthermore, the catalyst can be reused at least two times for photodegradation of 2,4-D solution under visible light irradiation within a slight decrease in catalytic activity.</p>\",\"PeriodicalId\":47049,\"journal\":{\"name\":\"Journal of Individual Differences\",\"volume\":\"30 1\",\"pages\":\"5531219\"},\"PeriodicalIF\":0.9000,\"publicationDate\":\"2022-03-22\",\"publicationTypes\":\"Journal Article\",\"fieldsOfStudy\":null,\"isOpenAccess\":false,\"openAccessPdf\":\"https://www.ncbi.nlm.nih.gov/pmc/articles/PMC8964217/pdf/\",\"citationCount\":\"0\",\"resultStr\":null,\"platform\":\"Semanticscholar\",\"paperid\":null,\"PeriodicalName\":\"Journal of Individual Differences\",\"FirstCategoryId\":\"92\",\"ListUrlMain\":\"https://doi.org/10.1155/2022/5531219\",\"RegionNum\":4,\"RegionCategory\":\"心理学\",\"ArticlePicture\":[],\"TitleCN\":null,\"AbstractTextCN\":null,\"PMCID\":null,\"EPubDate\":\"2022/1/1 0:00:00\",\"PubModel\":\"eCollection\",\"JCR\":\"Q4\",\"JCRName\":\"PSYCHOLOGY, SOCIAL\",\"Score\":null,\"Total\":0}","platform":"Semanticscholar","paperid":null,"PeriodicalName":"Journal of Individual Differences","FirstCategoryId":"92","ListUrlMain":"https://doi.org/10.1155/2022/5531219","RegionNum":4,"RegionCategory":"心理学","ArticlePicture":[],"TitleCN":null,"AbstractTextCN":null,"PMCID":null,"EPubDate":"2022/1/1 0:00:00","PubModel":"eCollection","JCR":"Q4","JCRName":"PSYCHOLOGY, SOCIAL","Score":null,"Total":0}
引用次数: 0

摘要

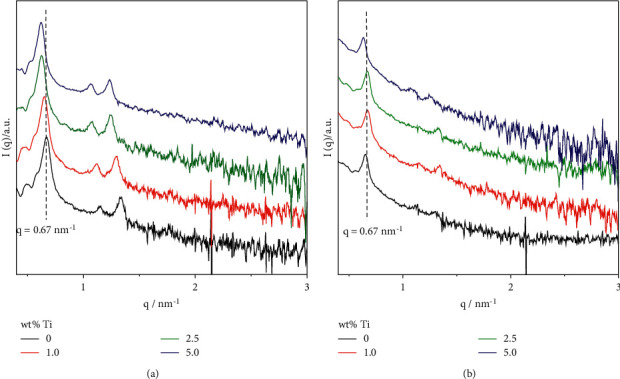
本研究考察了 Ti-SBA-15/C3N4 催化剂在可见光照射下降解水中 2,4-D 除草剂的光催化活性。催化剂是通过一种简单的水热法合成的,并通过各种分析技术进行了表征,包括 SAXS、N2 吸附-解吸等温线、Zeta 电位、PL、FT-IR、XRF、TGA 和 UV-DRS。研究表明,与 Ti-SBA-15 和 C3N4 相比,2.5Ti-SBA-15/C3N4 降解 2,4-D 的效率更高。在室温下,可见光照射 2.5Ti-SBA-15/C3N4 180 分钟后,2,4-D 的分解率达到 60%。此外,2,4-D 在 Ti-SBA-15/C3N4 上的降解过程是伪一阶动力学,速率常数最高(0.00484 min-1),远高于近期报道的其他光催化剂。此外,在催化活性略有下降的情况下,该催化剂可重复使用至少两次,用于在可见光照射下光降解 2,4-D 溶液。
本文章由计算机程序翻译,如有差异,请以英文原文为准。

Photocatalytic Activity of Ti-SBA-15/C3N4 for Degradation of 2,4-Dichlorophenoxyacetic Acid in Water under Visible Light.

Photocatalytic Activity of Ti-SBA-15/C3N4 for Degradation of 2,4-Dichlorophenoxyacetic Acid in Water under Visible Light.

Photocatalytic Activity of Ti-SBA-15/C3N4 for Degradation of 2,4-Dichlorophenoxyacetic Acid in Water under Visible Light.

Photocatalytic Activity of Ti-SBA-15/C3N4 for Degradation of 2,4-Dichlorophenoxyacetic Acid in Water under Visible Light.

In the present study, the photocatalytic activity of Ti-SBA-15/C3N4 catalysts was investigated to degrade 2,4-Dichlorophenoxyacetic acid (2,4-D) herbicides in water under visible light irradiation. The catalysts were synthesized via a simple hydrothermal method and characterized by various analytical techniques, including SAXS, N2 adsorption-desorption isotherms, Zeta potential, PL, FT-IR, XRF, TGA, and UV-DRS. Our study indicated that the 2.5Ti-SBA-15/C3N4 had higher efficiency in the degradation of 2,4-D than Ti-SBA-15 and C3N4. The decomposition of 2,4-D reached 60% under 180 minutes of visible light irradiation at room temperature on 2.5Ti-SBA-15/C3N4. Moreover, the degradation of 2,4-D on Ti-SBA-15/C3N4 was pseudo-first-order kinetics with the highest rate constant (0.00484 min-1), which was much higher than that obtained for other photocatalysts reported recently. Furthermore, the catalyst can be reused at least two times for photodegradation of 2,4-D solution under visible light irradiation within a slight decrease in catalytic activity.

求助全文
通过发布文献求助,成功后即可免费获取论文全文。 去求助
来源期刊
Journal of Individual Differences
Journal of Individual Differences PSYCHOLOGY, SOCIAL-
CiteScore
2.70
自引率
0.00%
发文量
25
期刊介绍: Researchers, teachers, and students interested in all areas of individual differences (e.g., gender, temperament, personality, intelligence) and their assessment in human and animal research will find the Journal of Individual Differences useful. The Journal of Individual Differences publishes manuscripts dealing with individual differences in behavior, emotion, cognition, and their developmental aspects. This includes human as well as animal research. The Journal of Individual Differences is conceptualized to bring together researchers working in different areas ranging from, for example, molecular genetics to theories of complex behavior.
×
引用
GB/T 7714-2015
复制
MLA
复制
APA
复制
导出至
BibTeX EndNote RefMan NoteFirst NoteExpress
×
提示
您的信息不完整,为了账户安全,请先补充。
现在去补充
×
提示
您因"违规操作"
具体请查看互助需知
我知道了
×
提示
确定
请完成安全验证×
copy
已复制链接
快去分享给好友吧!
我知道了
右上角分享
点击右上角分享
0
联系我们:info@booksci.cn Book学术提供免费学术资源搜索服务,方便国内外学者检索中英文文献。致力于提供最便捷和优质的服务体验。 Copyright © 2023 布克学术 All rights reserved.
京ICP备2023020795号-1
ghs 京公网安备 11010802042870号
Book学术文献互助
Book学术文献互助群
群 号:604180095
Book学术官方微信