促进幼儿父母心理和关系健康的通用数字计划:系统综述和荟萃分析。

IF 6.1 1区 心理学 Q1 PSYCHOLOGY, CLINICAL
Jessica E Opie, Timothy B Esler, Elizabeth M Clancy, Bradley Wright, Felicity Painter, An Vuong, Anna T Booth, Louise Newman, Ange Johns-Hayden, Mohajer Hameed, Leesa Hooker, Craig Olsson, Jennifer E McIntosh
{"title":"促进幼儿父母心理和关系健康的通用数字计划:系统综述和荟萃分析。","authors":"Jessica E Opie, Timothy B Esler, Elizabeth M Clancy, Bradley Wright, Felicity Painter, An Vuong, Anna T Booth, Louise Newman, Ange Johns-Hayden, Mohajer Hameed, Leesa Hooker, Craig Olsson, Jennifer E McIntosh","doi":"10.1007/s10567-023-00457-0","DOIUrl":null,"url":null,"abstract":"<p><p>Digital parenting programs aim to increase program access, improve psychosocial outcomes for parents and children, and support triage to targeted interventions where required. This meta-analysis assessed the efficacy of online parenting programs in improving parenting skills and capabilities, and by consequence, the mental health and well-being of parents and children, and the quality of the parent-child relationship. Studies were included if they were: (1) online, (2) self-delivered, (3) designed for universal general population prevention, (4) evaluated experimental or quasi-experimental designs, and (5) assessed parent and child emotional and/or relational health, from pregnancy to 5 years of age. A systematic search of electronic databases and grey literature identified 22 studies that met inclusion criteria, including 24 independent samples, with 5671 unique parents. Meta-analyses were conducted using random effects models and Cohen's d effects. Small-to-moderate improvements in parent depression, anxiety, self-efficacy, and social support were observed. No effects on parent stress, satisfaction, or parent-child relationship quality were observed. Meta-regression and sub-group analysis were conducted to identify sensitivity or moderation effects. Collectively, findings suggest any benefits of online parenting programs mostly occur at the time of the intervention, for parent mental health and well-being outcomes, and that enduring effects are unlikely. However, given the cost effectiveness and accessibility of online programs, further research into ways of sustaining effects on parenting outcomes is warranted. Furthermore, given the centrality of the parent-child bond to child development across the lifecourse, additional investment in new digitally facilitated approaches focusing on this bond are likewise warranted.PROSPERO registration CRD42021275647.</p>","PeriodicalId":51399,"journal":{"name":"Clinical Child and Family Psychology Review","volume":" ","pages":"23-52"},"PeriodicalIF":6.1000,"publicationDate":"2024-03-01","publicationTypes":"Journal Article","fieldsOfStudy":null,"isOpenAccess":false,"openAccessPdf":"https://www.ncbi.nlm.nih.gov/pmc/articles/PMC10920439/pdf/","citationCount":"0","resultStr":"{\"title\":\"Universal Digital Programs for Promoting Mental and Relational Health for Parents of Young Children: A Systematic Review and Meta-Analysis.\",\"authors\":\"Jessica E Opie, Timothy B Esler, Elizabeth M Clancy, Bradley Wright, Felicity Painter, An Vuong, Anna T Booth, Louise Newman, Ange Johns-Hayden, Mohajer Hameed, Leesa Hooker, Craig Olsson, Jennifer E McIntosh\",\"doi\":\"10.1007/s10567-023-00457-0\",\"DOIUrl\":null,\"url\":null,\"abstract\":\"<p><p>Digital parenting programs aim to increase program access, improve psychosocial outcomes for parents and children, and support triage to targeted interventions where required. This meta-analysis assessed the efficacy of online parenting programs in improving parenting skills and capabilities, and by consequence, the mental health and well-being of parents and children, and the quality of the parent-child relationship. Studies were included if they were: (1) online, (2) self-delivered, (3) designed for universal general population prevention, (4) evaluated experimental or quasi-experimental designs, and (5) assessed parent and child emotional and/or relational health, from pregnancy to 5 years of age. A systematic search of electronic databases and grey literature identified 22 studies that met inclusion criteria, including 24 independent samples, with 5671 unique parents. Meta-analyses were conducted using random effects models and Cohen's d effects. Small-to-moderate improvements in parent depression, anxiety, self-efficacy, and social support were observed. No effects on parent stress, satisfaction, or parent-child relationship quality were observed. Meta-regression and sub-group analysis were conducted to identify sensitivity or moderation effects. Collectively, findings suggest any benefits of online parenting programs mostly occur at the time of the intervention, for parent mental health and well-being outcomes, and that enduring effects are unlikely. However, given the cost effectiveness and accessibility of online programs, further research into ways of sustaining effects on parenting outcomes is warranted. Furthermore, given the centrality of the parent-child bond to child development across the lifecourse, additional investment in new digitally facilitated approaches focusing on this bond are likewise warranted.PROSPERO registration CRD42021275647.</p>\",\"PeriodicalId\":51399,\"journal\":{\"name\":\"Clinical Child and Family Psychology Review\",\"volume\":\" \",\"pages\":\"23-52\"},\"PeriodicalIF\":6.1000,\"publicationDate\":\"2024-03-01\",\"publicationTypes\":\"Journal Article\",\"fieldsOfStudy\":null,\"isOpenAccess\":false,\"openAccessPdf\":\"https://www.ncbi.nlm.nih.gov/pmc/articles/PMC10920439/pdf/\",\"citationCount\":\"0\",\"resultStr\":null,\"platform\":\"Semanticscholar\",\"paperid\":null,\"PeriodicalName\":\"Clinical Child and Family Psychology Review\",\"FirstCategoryId\":\"102\",\"ListUrlMain\":\"https://doi.org/10.1007/s10567-023-00457-0\",\"RegionNum\":1,\"RegionCategory\":\"心理学\",\"ArticlePicture\":[],\"TitleCN\":null,\"AbstractTextCN\":null,\"PMCID\":null,\"EPubDate\":\"2023/11/2 0:00:00\",\"PubModel\":\"Epub\",\"JCR\":\"Q1\",\"JCRName\":\"PSYCHOLOGY, CLINICAL\",\"Score\":null,\"Total\":0}","platform":"Semanticscholar","paperid":null,"PeriodicalName":"Clinical Child and Family Psychology Review","FirstCategoryId":"102","ListUrlMain":"https://doi.org/10.1007/s10567-023-00457-0","RegionNum":1,"RegionCategory":"心理学","ArticlePicture":[],"TitleCN":null,"AbstractTextCN":null,"PMCID":null,"EPubDate":"2023/11/2 0:00:00","PubModel":"Epub","JCR":"Q1","JCRName":"PSYCHOLOGY, CLINICAL","Score":null,"Total":0}
引用次数: 0

摘要

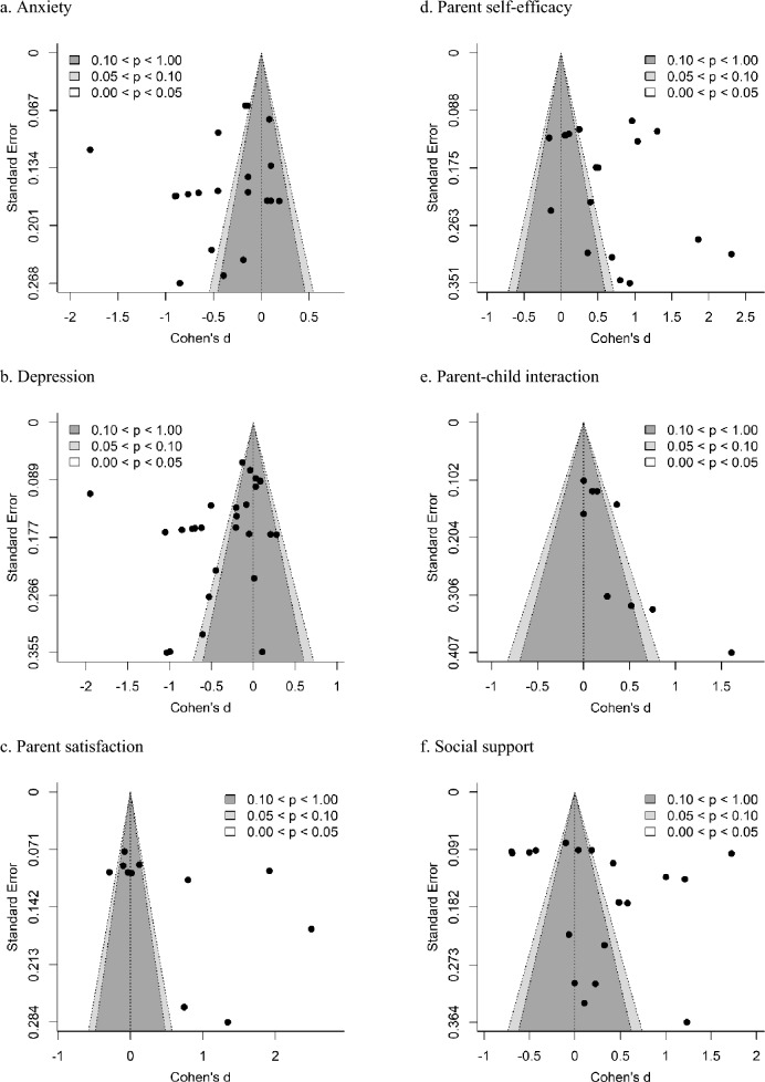
数字育儿计划旨在增加计划的可及性,改善父母和儿童的心理社会结果,并在需要时支持有针对性的干预措施。这项荟萃分析评估了在线育儿计划在提高育儿技能和能力方面的有效性,并由此评估了父母和孩子的心理健康和幸福感,以及亲子关系的质量。如果研究是:(1)在线,(2)自我分娩,(3)为普遍的一般人群预防而设计,(4)评估实验或准实验设计,以及(5)评估从怀孕到5岁的父母和孩子的情绪和/或关系健康,则纳入研究。通过对电子数据库和灰色文献的系统搜索,确定了22项符合纳入标准的研究,包括24个独立样本,其中有5671个独特的父母。使用随机效应模型和Cohen d效应进行荟萃分析。观察到父母抑郁、焦虑、自我效能和社会支持的小到中度改善。未观察到对父母压力、满意度或亲子关系质量的影响。进行荟萃回归和亚组分析,以确定敏感性或调节效应。总的来说,研究结果表明,在线育儿计划的任何好处大多发生在干预时,对父母的心理健康和幸福感产生影响,而且不太可能产生持久的影响。然而,考虑到在线项目的成本效益和可访问性,有必要进一步研究如何对养育子女的结果产生持续影响。此外,鉴于亲子关系在整个生命过程中对儿童发展的中心作用,同样有必要对专注于这种关系的新的数字促进方法进行额外投资。PROSPERO注册CRD42021275647。
本文章由计算机程序翻译,如有差异,请以英文原文为准。

Universal Digital Programs for Promoting Mental and Relational Health for Parents of Young Children: A Systematic Review and Meta-Analysis.

Universal Digital Programs for Promoting Mental and Relational Health for Parents of Young Children: A Systematic Review and Meta-Analysis.

Universal Digital Programs for Promoting Mental and Relational Health for Parents of Young Children: A Systematic Review and Meta-Analysis.

Universal Digital Programs for Promoting Mental and Relational Health for Parents of Young Children: A Systematic Review and Meta-Analysis.

Digital parenting programs aim to increase program access, improve psychosocial outcomes for parents and children, and support triage to targeted interventions where required. This meta-analysis assessed the efficacy of online parenting programs in improving parenting skills and capabilities, and by consequence, the mental health and well-being of parents and children, and the quality of the parent-child relationship. Studies were included if they were: (1) online, (2) self-delivered, (3) designed for universal general population prevention, (4) evaluated experimental or quasi-experimental designs, and (5) assessed parent and child emotional and/or relational health, from pregnancy to 5 years of age. A systematic search of electronic databases and grey literature identified 22 studies that met inclusion criteria, including 24 independent samples, with 5671 unique parents. Meta-analyses were conducted using random effects models and Cohen's d effects. Small-to-moderate improvements in parent depression, anxiety, self-efficacy, and social support were observed. No effects on parent stress, satisfaction, or parent-child relationship quality were observed. Meta-regression and sub-group analysis were conducted to identify sensitivity or moderation effects. Collectively, findings suggest any benefits of online parenting programs mostly occur at the time of the intervention, for parent mental health and well-being outcomes, and that enduring effects are unlikely. However, given the cost effectiveness and accessibility of online programs, further research into ways of sustaining effects on parenting outcomes is warranted. Furthermore, given the centrality of the parent-child bond to child development across the lifecourse, additional investment in new digitally facilitated approaches focusing on this bond are likewise warranted.PROSPERO registration CRD42021275647.

求助全文
通过发布文献求助,成功后即可免费获取论文全文。 去求助
来源期刊
CiteScore
10.50
自引率
4.30%
发文量
45
期刊介绍: Editors-in-Chief: Dr. Ronald J. Prinz, University of South Carolina and Dr. Thomas H. Ollendick, Virginia Polytechnic Institute Clinical Child and Family Psychology Review is a quarterly, peer-reviewed journal that provides an international, interdisciplinary forum in which important and new developments in this field are identified and in-depth reviews on current thought and practices are published. The Journal publishes original research reviews, conceptual and theoretical papers, and related work in the broad area of the behavioral sciences that pertains to infants, children, adolescents, and families. Contributions originate from a wide array of disciplines including, but not limited to, psychology (e.g., clinical, community, developmental, family, school), medicine (e.g., family practice, pediatrics, psychiatry), public health, social work, and education. Topical content includes science and application and covers facets of etiology, assessment, description, treatment and intervention, prevention, methodology, and public policy. Submissions are by invitation only and undergo peer review. The Editors, in consultation with the Editorial Board, invite highly qualified experts to contribute original papers on topics of timely interest and significance.
×
引用
GB/T 7714-2015
复制
MLA
复制
APA
复制
导出至
BibTeX EndNote RefMan NoteFirst NoteExpress
×
提示
您的信息不完整,为了账户安全,请先补充。
现在去补充
×
提示
您因"违规操作"
具体请查看互助需知
我知道了
×
提示
确定
请完成安全验证×
copy
已复制链接
快去分享给好友吧!
我知道了
右上角分享
点击右上角分享
0
联系我们:info@booksci.cn Book学术提供免费学术资源搜索服务,方便国内外学者检索中英文文献。致力于提供最便捷和优质的服务体验。 Copyright © 2023 布克学术 All rights reserved.
京ICP备2023020795号-1
ghs 京公网安备 11010802042870号
Book学术文献互助
Book学术文献互助群
群 号:604180095
Book学术官方微信