与腰背痛员工的心理压力、生产力损失和病假有关的风险因素:一项为期三年的纵向队列研究。

Q2 Medicine
Pain Research and Treatment Pub Date : 2016-01-01 Epub Date: 2016-08-18 DOI:10.1155/2016/3797493
Angelo Compare, Paolo Marchettini, Cristina Zarbo
{"title":"与腰背痛员工的心理压力、生产力损失和病假有关的风险因素:一项为期三年的纵向队列研究。","authors":"Angelo Compare, Paolo Marchettini, Cristina Zarbo","doi":"10.1155/2016/3797493","DOIUrl":null,"url":null,"abstract":"<p><p>Background. Low back pain (LBP) is one of the most common health problems worldwide. Purpose. To investigate the link between baseline demographic and occupational, medical, and lifestyle data with following psychological and occupational outcomes in a large sample of employees with LBP over a 3-year period. Study Design. Three-year prospective cohort study. Methods. Italian-speaking employees (N = 4492) with a diagnosis of LBP were included. Screening at Time 1 was done in order to collect information about severity and classification of LBP, demographic, lifestyle, and occupational status data. Psychological distress (PGWBI) and occupational burden were assessed after 3 years. Results. After 3 years, employees with LBP not due to organic causes had an increased risk of psychological distress. Gender appears to be an important variable for following occupational burden. Indeed, being a white-collar man with a LBP without organic causes seems to be a protective factor for following work outcomes, while being a white-collar woman with a LBP not due to organic causes appears to be a risk factor for subsequent sick leave. Moreover, LBP severity affects psychological and occupational outcomes. Conclusion. Our findings have several implications that could be considered in preventive and supportive programs for LBP employees. </p>","PeriodicalId":19786,"journal":{"name":"Pain Research and Treatment","volume":"2016 1","pages":"3797493"},"PeriodicalIF":0.0000,"publicationDate":"2016-01-01","publicationTypes":"Journal Article","fieldsOfStudy":null,"isOpenAccess":false,"openAccessPdf":"https://www.ncbi.nlm.nih.gov/pmc/articles/PMC5008025/pdf/","citationCount":"0","resultStr":"{\"title\":\"Risk Factors Linked to Psychological Distress, Productivity Losses, and Sick Leave in Low-Back-Pain Employees: A Three-Year Longitudinal Cohort Study.\",\"authors\":\"Angelo Compare, Paolo Marchettini, Cristina Zarbo\",\"doi\":\"10.1155/2016/3797493\",\"DOIUrl\":null,\"url\":null,\"abstract\":\"<p><p>Background. Low back pain (LBP) is one of the most common health problems worldwide. Purpose. To investigate the link between baseline demographic and occupational, medical, and lifestyle data with following psychological and occupational outcomes in a large sample of employees with LBP over a 3-year period. Study Design. Three-year prospective cohort study. Methods. Italian-speaking employees (N = 4492) with a diagnosis of LBP were included. Screening at Time 1 was done in order to collect information about severity and classification of LBP, demographic, lifestyle, and occupational status data. Psychological distress (PGWBI) and occupational burden were assessed after 3 years. Results. After 3 years, employees with LBP not due to organic causes had an increased risk of psychological distress. Gender appears to be an important variable for following occupational burden. Indeed, being a white-collar man with a LBP without organic causes seems to be a protective factor for following work outcomes, while being a white-collar woman with a LBP not due to organic causes appears to be a risk factor for subsequent sick leave. Moreover, LBP severity affects psychological and occupational outcomes. Conclusion. Our findings have several implications that could be considered in preventive and supportive programs for LBP employees. </p>\",\"PeriodicalId\":19786,\"journal\":{\"name\":\"Pain Research and Treatment\",\"volume\":\"2016 1\",\"pages\":\"3797493\"},\"PeriodicalIF\":0.0000,\"publicationDate\":\"2016-01-01\",\"publicationTypes\":\"Journal Article\",\"fieldsOfStudy\":null,\"isOpenAccess\":false,\"openAccessPdf\":\"https://www.ncbi.nlm.nih.gov/pmc/articles/PMC5008025/pdf/\",\"citationCount\":\"0\",\"resultStr\":null,\"platform\":\"Semanticscholar\",\"paperid\":null,\"PeriodicalName\":\"Pain Research and Treatment\",\"FirstCategoryId\":\"1085\",\"ListUrlMain\":\"https://doi.org/10.1155/2016/3797493\",\"RegionNum\":0,\"RegionCategory\":null,\"ArticlePicture\":[],\"TitleCN\":null,\"AbstractTextCN\":null,\"PMCID\":null,\"EPubDate\":\"2016/8/18 0:00:00\",\"PubModel\":\"Epub\",\"JCR\":\"Q2\",\"JCRName\":\"Medicine\",\"Score\":null,\"Total\":0}","platform":"Semanticscholar","paperid":null,"PeriodicalName":"Pain Research and Treatment","FirstCategoryId":"1085","ListUrlMain":"https://doi.org/10.1155/2016/3797493","RegionNum":0,"RegionCategory":null,"ArticlePicture":[],"TitleCN":null,"AbstractTextCN":null,"PMCID":null,"EPubDate":"2016/8/18 0:00:00","PubModel":"Epub","JCR":"Q2","JCRName":"Medicine","Score":null,"Total":0}
引用次数: 0

摘要

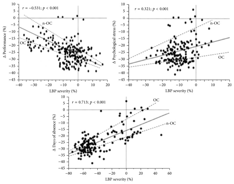
背景。腰背痛(LBP)是全球最常见的健康问题之一。研究目的在为期 3 年的时间里,对患有腰背痛的大样本雇员进行调查,研究基线人口统计学、职业、医疗和生活方式数据与后续心理和职业结果之间的联系。研究设计。为期三年的前瞻性队列研究。研究方法。研究对象包括确诊患有腰背痛的意大利语员工(N = 4492)。在第一时间进行筛查,以收集有关枸杞多糖症的严重程度和分类、人口统计学、生活方式和职业状况的数据。3 年后对心理困扰(PGWBI)和职业负担进行评估。结果3年后,非器质性原因导致的枸杞多糖症患者的心理压力风险增加。性别似乎是影响职业负担的一个重要变量。事实上,如果男性白领患有非器质性原因引起的腰椎间盘突出症,似乎是后续工作结果的一个保护因素,而如果女性白领患有非器质性原因引起的腰椎间盘突出症,似乎是后续病假的一个风险因素。此外,腰椎间盘突出症的严重程度也会影响心理和职业结果。结论。我们的研究结果有几方面的意义,可以在针对枸杞痛员工的预防和支持计划中加以考虑。
本文章由计算机程序翻译,如有差异,请以英文原文为准。

Risk Factors Linked to Psychological Distress, Productivity Losses, and Sick Leave in Low-Back-Pain Employees: A Three-Year Longitudinal Cohort Study.

Risk Factors Linked to Psychological Distress, Productivity Losses, and Sick Leave in Low-Back-Pain Employees: A Three-Year Longitudinal Cohort Study.

Risk Factors Linked to Psychological Distress, Productivity Losses, and Sick Leave in Low-Back-Pain Employees: A Three-Year Longitudinal Cohort Study.

Risk Factors Linked to Psychological Distress, Productivity Losses, and Sick Leave in Low-Back-Pain Employees: A Three-Year Longitudinal Cohort Study.

Background. Low back pain (LBP) is one of the most common health problems worldwide. Purpose. To investigate the link between baseline demographic and occupational, medical, and lifestyle data with following psychological and occupational outcomes in a large sample of employees with LBP over a 3-year period. Study Design. Three-year prospective cohort study. Methods. Italian-speaking employees (N = 4492) with a diagnosis of LBP were included. Screening at Time 1 was done in order to collect information about severity and classification of LBP, demographic, lifestyle, and occupational status data. Psychological distress (PGWBI) and occupational burden were assessed after 3 years. Results. After 3 years, employees with LBP not due to organic causes had an increased risk of psychological distress. Gender appears to be an important variable for following occupational burden. Indeed, being a white-collar man with a LBP without organic causes seems to be a protective factor for following work outcomes, while being a white-collar woman with a LBP not due to organic causes appears to be a risk factor for subsequent sick leave. Moreover, LBP severity affects psychological and occupational outcomes. Conclusion. Our findings have several implications that could be considered in preventive and supportive programs for LBP employees.

求助全文
通过发布文献求助,成功后即可免费获取论文全文。 去求助
来源期刊
Pain Research and Treatment
Pain Research and Treatment Medicine-Anesthesiology and Pain Medicine
CiteScore
3.60
自引率
0.00%
发文量
0
×
引用
GB/T 7714-2015
复制
MLA
复制
APA
复制
导出至
BibTeX EndNote RefMan NoteFirst NoteExpress
×
提示
您的信息不完整,为了账户安全,请先补充。
现在去补充
×
提示
您因"违规操作"
具体请查看互助需知
我知道了
×
提示
确定
请完成安全验证×
copy
已复制链接
快去分享给好友吧!
我知道了
右上角分享
点击右上角分享
0
联系我们:info@booksci.cn Book学术提供免费学术资源搜索服务,方便国内外学者检索中英文文献。致力于提供最便捷和优质的服务体验。 Copyright © 2023 布克学术 All rights reserved.
京ICP备2023020795号-1
ghs 京公网安备 11010802042870号
Book学术文献互助
Book学术文献互助群
群 号:604180095
Book学术官方微信