不同饮食模式在2型糖尿病和前驱糖尿病治疗中的比较疗效:一项基于臂的贝叶斯网络meta分析

IF 3 3区 医学
Ben-tuo Zeng, Hui-qing Pan, Feng-dan Li, Zhen-yu Ye, Yang Liu, Ji-wei Du
{"title":"不同饮食模式在2型糖尿病和前驱糖尿病治疗中的比较疗效:一项基于臂的贝叶斯网络meta分析","authors":"Ben-tuo Zeng,&nbsp;Hui-qing Pan,&nbsp;Feng-dan Li,&nbsp;Zhen-yu Ye,&nbsp;Yang Liu,&nbsp;Ji-wei Du","doi":"10.1111/jdi.13935","DOIUrl":null,"url":null,"abstract":"<div>\n \n \n <section>\n \n <h3> Aims/Introduction</h3>\n \n <p>Diet therapy is a vital approach to manage type 2 diabetes and prediabetes. However, the comparative efficacy of different eating patterns is not clear enough. We aimed to compare the efficacy of various eating patterns for glycemic control, anthropometrics, and serum lipid profiles in the management of type 2 diabetes and prediabetes.</p>\n </section>\n \n <section>\n \n <h3> Materials and Methods</h3>\n \n <p>We conducted a network meta-analysis using arm-based Bayesian methods and random effect models, and drew the conclusions using the partially contextualized framework. We searched twelve databases and yielded 9,534 related references, where 107 studies were eligible, comprising 8,909 participants.</p>\n </section>\n \n <section>\n \n <h3> Results</h3>\n \n <p>Eleven diets were evaluated for 14 outcomes. Caloric restriction was ranked as the best pattern for weight loss (SUCRA 86.8%) and waist circumference (82.2%), low-carbohydrate diets for body mass index (81.6%), and high-density lipoprotein (84.0%), and low-glycemic-index diets for total cholesterol (87.5%) and low-density lipoprotein (86.6%). Other interventions showed some superiorities, but were imprecise due to insufficient participants and needed further investigation. The attrition rates of interventions were similar. Meta-regression suggested that macronutrients, energy intake, and weight may modify outcomes differently. The evidence was of moderate-to-low quality, and 38.2% of the evidence items met the minimal clinically important differences.</p>\n </section>\n \n <section>\n \n <h3> Conclusions</h3>\n \n <p>The selection and development of dietary strategies for diabetic/prediabetic patients should depend on their holistic conditions, i.e., serum lipid profiles, glucometabolic patterns, weight, and blood pressure. It is recommended to identify the most critical and urgent metabolic indicator to control for one specific patient, and then choose the most appropriate eating pattern accordingly.</p>\n </section>\n </div>","PeriodicalId":190,"journal":{"name":"Journal of Diabetes Investigation","volume":"14 2","pages":"263-288"},"PeriodicalIF":3.0000,"publicationDate":"2022-12-13","publicationTypes":"Journal Article","fieldsOfStudy":null,"isOpenAccess":false,"openAccessPdf":"https://onlinelibrary.wiley.com/doi/epdf/10.1111/jdi.13935","citationCount":"2","resultStr":"{\"title\":\"Comparative efficacy of different eating patterns in the management of type 2 diabetes and prediabetes: An arm-based Bayesian network meta-analysis\",\"authors\":\"Ben-tuo Zeng,&nbsp;Hui-qing Pan,&nbsp;Feng-dan Li,&nbsp;Zhen-yu Ye,&nbsp;Yang Liu,&nbsp;Ji-wei Du\",\"doi\":\"10.1111/jdi.13935\",\"DOIUrl\":null,\"url\":null,\"abstract\":\"<div>\\n \\n \\n <section>\\n \\n <h3> Aims/Introduction</h3>\\n \\n <p>Diet therapy is a vital approach to manage type 2 diabetes and prediabetes. However, the comparative efficacy of different eating patterns is not clear enough. We aimed to compare the efficacy of various eating patterns for glycemic control, anthropometrics, and serum lipid profiles in the management of type 2 diabetes and prediabetes.</p>\\n </section>\\n \\n <section>\\n \\n <h3> Materials and Methods</h3>\\n \\n <p>We conducted a network meta-analysis using arm-based Bayesian methods and random effect models, and drew the conclusions using the partially contextualized framework. We searched twelve databases and yielded 9,534 related references, where 107 studies were eligible, comprising 8,909 participants.</p>\\n </section>\\n \\n <section>\\n \\n <h3> Results</h3>\\n \\n <p>Eleven diets were evaluated for 14 outcomes. Caloric restriction was ranked as the best pattern for weight loss (SUCRA 86.8%) and waist circumference (82.2%), low-carbohydrate diets for body mass index (81.6%), and high-density lipoprotein (84.0%), and low-glycemic-index diets for total cholesterol (87.5%) and low-density lipoprotein (86.6%). Other interventions showed some superiorities, but were imprecise due to insufficient participants and needed further investigation. The attrition rates of interventions were similar. Meta-regression suggested that macronutrients, energy intake, and weight may modify outcomes differently. The evidence was of moderate-to-low quality, and 38.2% of the evidence items met the minimal clinically important differences.</p>\\n </section>\\n \\n <section>\\n \\n <h3> Conclusions</h3>\\n \\n <p>The selection and development of dietary strategies for diabetic/prediabetic patients should depend on their holistic conditions, i.e., serum lipid profiles, glucometabolic patterns, weight, and blood pressure. It is recommended to identify the most critical and urgent metabolic indicator to control for one specific patient, and then choose the most appropriate eating pattern accordingly.</p>\\n </section>\\n </div>\",\"PeriodicalId\":190,\"journal\":{\"name\":\"Journal of Diabetes Investigation\",\"volume\":\"14 2\",\"pages\":\"263-288\"},\"PeriodicalIF\":3.0000,\"publicationDate\":\"2022-12-13\",\"publicationTypes\":\"Journal Article\",\"fieldsOfStudy\":null,\"isOpenAccess\":false,\"openAccessPdf\":\"https://onlinelibrary.wiley.com/doi/epdf/10.1111/jdi.13935\",\"citationCount\":\"2\",\"resultStr\":null,\"platform\":\"Semanticscholar\",\"paperid\":null,\"PeriodicalName\":\"Journal of Diabetes Investigation\",\"FirstCategoryId\":\"3\",\"ListUrlMain\":\"https://onlinelibrary.wiley.com/doi/10.1111/jdi.13935\",\"RegionNum\":3,\"RegionCategory\":\"医学\",\"ArticlePicture\":[],\"TitleCN\":null,\"AbstractTextCN\":null,\"PMCID\":null,\"EPubDate\":\"\",\"PubModel\":\"\",\"JCR\":\"\",\"JCRName\":\"\",\"Score\":null,\"Total\":0}","platform":"Semanticscholar","paperid":null,"PeriodicalName":"Journal of Diabetes Investigation","FirstCategoryId":"3","ListUrlMain":"https://onlinelibrary.wiley.com/doi/10.1111/jdi.13935","RegionNum":3,"RegionCategory":"医学","ArticlePicture":[],"TitleCN":null,"AbstractTextCN":null,"PMCID":null,"EPubDate":"","PubModel":"","JCR":"","JCRName":"","Score":null,"Total":0}
引用次数: 2

摘要

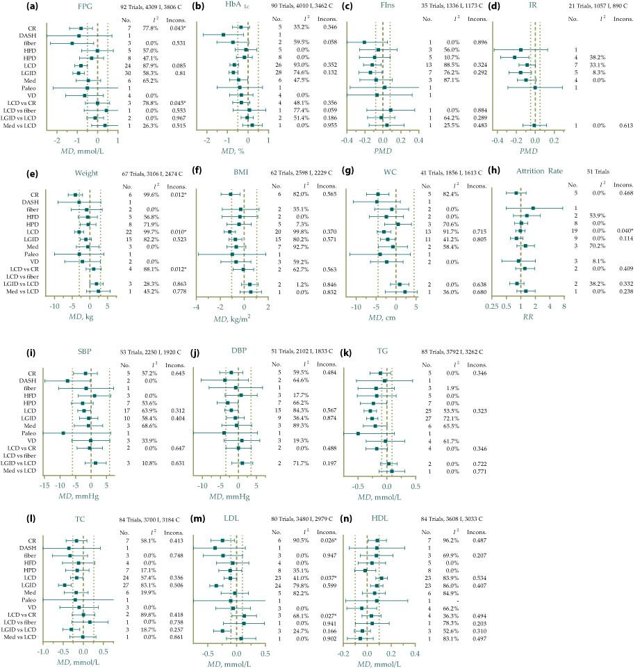
目的/介绍饮食疗法是治疗2型糖尿病和前驱糖尿病的重要方法。然而,不同饮食模式的比较功效还不够清楚。我们的目的是比较不同饮食模式对血糖控制、人体测量和血脂谱在2型糖尿病和前驱糖尿病管理中的功效。材料与方法采用基于臂的贝叶斯方法和随机效应模型进行网络元分析,并采用部分情境化框架得出结论。我们检索了12个数据库,获得9534篇相关文献,其中107篇研究符合条件,包括8909名参与者。结果对11种饮食进行了14项评价。热量限制被认为是减肥的最佳模式(supra为86.8%)和腰围(82.2%),低碳水化合物饮食对体重指数(81.6%)和高密度脂蛋白(84.0%),低血糖指数饮食对总胆固醇(87.5%)和低密度脂蛋白(86.6%)。其他干预措施虽有一定优势,但因参与人数不足而不够精确,有待进一步研究。干预的损耗率相似。元回归表明,常量营养素、能量摄入和体重可能对结果有不同的影响。证据质量为中低,38.2%的证据项目符合最小的临床重要差异。结论糖尿病/前驱糖尿病患者饮食策略的选择和制定应取决于他们的整体状况,即血脂、糖代谢模式、体重和血压。建议针对具体患者确定最关键、最紧急的代谢指标进行控制,并据此选择最合适的饮食模式。
本文章由计算机程序翻译,如有差异,请以英文原文为准。

Comparative efficacy of different eating patterns in the management of type 2 diabetes and prediabetes: An arm-based Bayesian network meta-analysis

Comparative efficacy of different eating patterns in the management of type 2 diabetes and prediabetes: An arm-based Bayesian network meta-analysis

Aims/Introduction

Diet therapy is a vital approach to manage type 2 diabetes and prediabetes. However, the comparative efficacy of different eating patterns is not clear enough. We aimed to compare the efficacy of various eating patterns for glycemic control, anthropometrics, and serum lipid profiles in the management of type 2 diabetes and prediabetes.

Materials and Methods

We conducted a network meta-analysis using arm-based Bayesian methods and random effect models, and drew the conclusions using the partially contextualized framework. We searched twelve databases and yielded 9,534 related references, where 107 studies were eligible, comprising 8,909 participants.

Results

Eleven diets were evaluated for 14 outcomes. Caloric restriction was ranked as the best pattern for weight loss (SUCRA 86.8%) and waist circumference (82.2%), low-carbohydrate diets for body mass index (81.6%), and high-density lipoprotein (84.0%), and low-glycemic-index diets for total cholesterol (87.5%) and low-density lipoprotein (86.6%). Other interventions showed some superiorities, but were imprecise due to insufficient participants and needed further investigation. The attrition rates of interventions were similar. Meta-regression suggested that macronutrients, energy intake, and weight may modify outcomes differently. The evidence was of moderate-to-low quality, and 38.2% of the evidence items met the minimal clinically important differences.

Conclusions

The selection and development of dietary strategies for diabetic/prediabetic patients should depend on their holistic conditions, i.e., serum lipid profiles, glucometabolic patterns, weight, and blood pressure. It is recommended to identify the most critical and urgent metabolic indicator to control for one specific patient, and then choose the most appropriate eating pattern accordingly.

求助全文
通过发布文献求助,成功后即可免费获取论文全文。 去求助
来源期刊
Journal of Diabetes Investigation
Journal of Diabetes Investigation Medicine-Internal Medicine
自引率
9.40%
发文量
218
期刊介绍: Journal of Diabetes Investigation is your core diabetes journal from Asia; the official journal of the Asian Association for the Study of Diabetes (AASD). The journal publishes original research, country reports, commentaries, reviews, mini-reviews, case reports, letters, as well as editorials and news. Embracing clinical and experimental research in diabetes and related areas, the Journal of Diabetes Investigation includes aspects of prevention, treatment, as well as molecular aspects and pathophysiology. Translational research focused on the exchange of ideas between clinicians and researchers is also welcome. Journal of Diabetes Investigation is indexed by Science Citation Index Expanded (SCIE).
×
引用
GB/T 7714-2015
复制
MLA
复制
APA
复制
导出至
BibTeX EndNote RefMan NoteFirst NoteExpress
×
提示
您的信息不完整,为了账户安全,请先补充。
现在去补充
×
提示
您因"违规操作"
具体请查看互助需知
我知道了
×
提示
确定
请完成安全验证×
copy
已复制链接
快去分享给好友吧!
我知道了
右上角分享
点击右上角分享
0
联系我们:info@booksci.cn Book学术提供免费学术资源搜索服务,方便国内外学者检索中英文文献。致力于提供最便捷和优质的服务体验。 Copyright © 2023 布克学术 All rights reserved.
京ICP备2023020795号-1
ghs 京公网安备 11010802042870号
Book学术文献互助
Book学术文献互助群
群 号:604180095
Book学术官方微信