开发一种新的人工智能算法,用于在胸部造影中检测肺结节。

IF 0.9 Q3 MEDICINE, GENERAL & INTERNAL
Fukushima Journal of Medical Science Pub Date : 2023-11-15 Epub Date: 2023-10-17 DOI:10.5387/fms.2023-14
Mitsunori Higuchi, Takeshi Nagata, Kohei Iwabuchi, Akira Sano, Hidemasa Maekawa, Takayuki Idaka, Manabu Yamasaki, Chihiro Seko, Atsushi Sato, Junzo Suzuki, Yoshiyuki Anzai, Takashi Yabuki, Takuro Saito, Hiroyuki Suzuki
{"title":"开发一种新的人工智能算法,用于在胸部造影中检测肺结节。","authors":"Mitsunori Higuchi, Takeshi Nagata, Kohei Iwabuchi, Akira Sano, Hidemasa Maekawa, Takayuki Idaka, Manabu Yamasaki, Chihiro Seko, Atsushi Sato, Junzo Suzuki, Yoshiyuki Anzai, Takashi Yabuki, Takuro Saito, Hiroyuki Suzuki","doi":"10.5387/fms.2023-14","DOIUrl":null,"url":null,"abstract":"<p><strong>Background: </strong>In this study, we aimed to develop a novel artificial intelligence (AI) algorithm to support pulmonary nodule detection, which will enable physicians to efficiently interpret chest radiographs for lung cancer diagnosis.</p><p><strong>Methods: </strong>We analyzed chest X-ray images obtained from a health examination center in Fukushima and the National Institutes of Health (NIH) Chest X-ray 14 dataset. We categorized these data into two types: type A included both Fukushima and NIH datasets, and type B included only the Fukushima dataset. We also demonstrated pulmonary nodules in the form of a heatmap display on each chest radiograph and calculated the positive probability score as an index value.</p><p><strong>Results: </strong>Our novel AI algorithms had a receiver operating characteristic (ROC) area under the curve (AUC) of 0.74, a sensitivity of 0.75, and a specificity of 0.60 for the type A dataset. For the type B dataset, the respective values were 0.79, 0.72, and 0.74. The algorithms in both the type A and B datasets were superior to the accuracy of radiologists and similar to previous studies.</p><p><strong>Conclusions: </strong>The proprietary AI algorithms had a similar accuracy for interpreting chest radiographs when compared with previous studies and radiologists. Especially, we could train a high quality AI algorithm, even with our small type B data set. However, further studies are needed to improve and further validate the accuracy of our AI algorithm.</p>","PeriodicalId":44831,"journal":{"name":"Fukushima Journal of Medical Science","volume":" ","pages":"177-183"},"PeriodicalIF":0.9000,"publicationDate":"2023-11-15","publicationTypes":"Journal Article","fieldsOfStudy":null,"isOpenAccess":false,"openAccessPdf":"https://www.ncbi.nlm.nih.gov/pmc/articles/PMC10694515/pdf/","citationCount":"0","resultStr":"{\"title\":\"Development of a novel artificial intelligence algorithm to detect pulmonary nodules on chest radiography.\",\"authors\":\"Mitsunori Higuchi, Takeshi Nagata, Kohei Iwabuchi, Akira Sano, Hidemasa Maekawa, Takayuki Idaka, Manabu Yamasaki, Chihiro Seko, Atsushi Sato, Junzo Suzuki, Yoshiyuki Anzai, Takashi Yabuki, Takuro Saito, Hiroyuki Suzuki\",\"doi\":\"10.5387/fms.2023-14\",\"DOIUrl\":null,\"url\":null,\"abstract\":\"<p><strong>Background: </strong>In this study, we aimed to develop a novel artificial intelligence (AI) algorithm to support pulmonary nodule detection, which will enable physicians to efficiently interpret chest radiographs for lung cancer diagnosis.</p><p><strong>Methods: </strong>We analyzed chest X-ray images obtained from a health examination center in Fukushima and the National Institutes of Health (NIH) Chest X-ray 14 dataset. We categorized these data into two types: type A included both Fukushima and NIH datasets, and type B included only the Fukushima dataset. We also demonstrated pulmonary nodules in the form of a heatmap display on each chest radiograph and calculated the positive probability score as an index value.</p><p><strong>Results: </strong>Our novel AI algorithms had a receiver operating characteristic (ROC) area under the curve (AUC) of 0.74, a sensitivity of 0.75, and a specificity of 0.60 for the type A dataset. For the type B dataset, the respective values were 0.79, 0.72, and 0.74. The algorithms in both the type A and B datasets were superior to the accuracy of radiologists and similar to previous studies.</p><p><strong>Conclusions: </strong>The proprietary AI algorithms had a similar accuracy for interpreting chest radiographs when compared with previous studies and radiologists. Especially, we could train a high quality AI algorithm, even with our small type B data set. However, further studies are needed to improve and further validate the accuracy of our AI algorithm.</p>\",\"PeriodicalId\":44831,\"journal\":{\"name\":\"Fukushima Journal of Medical Science\",\"volume\":\" \",\"pages\":\"177-183\"},\"PeriodicalIF\":0.9000,\"publicationDate\":\"2023-11-15\",\"publicationTypes\":\"Journal Article\",\"fieldsOfStudy\":null,\"isOpenAccess\":false,\"openAccessPdf\":\"https://www.ncbi.nlm.nih.gov/pmc/articles/PMC10694515/pdf/\",\"citationCount\":\"0\",\"resultStr\":null,\"platform\":\"Semanticscholar\",\"paperid\":null,\"PeriodicalName\":\"Fukushima Journal of Medical Science\",\"FirstCategoryId\":\"1085\",\"ListUrlMain\":\"https://doi.org/10.5387/fms.2023-14\",\"RegionNum\":0,\"RegionCategory\":null,\"ArticlePicture\":[],\"TitleCN\":null,\"AbstractTextCN\":null,\"PMCID\":null,\"EPubDate\":\"2023/10/17 0:00:00\",\"PubModel\":\"Epub\",\"JCR\":\"Q3\",\"JCRName\":\"MEDICINE, GENERAL & INTERNAL\",\"Score\":null,\"Total\":0}","platform":"Semanticscholar","paperid":null,"PeriodicalName":"Fukushima Journal of Medical Science","FirstCategoryId":"1085","ListUrlMain":"https://doi.org/10.5387/fms.2023-14","RegionNum":0,"RegionCategory":null,"ArticlePicture":[],"TitleCN":null,"AbstractTextCN":null,"PMCID":null,"EPubDate":"2023/10/17 0:00:00","PubModel":"Epub","JCR":"Q3","JCRName":"MEDICINE, GENERAL & INTERNAL","Score":null,"Total":0}
引用次数: 0

摘要

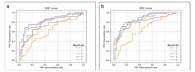
背景:在这项研究中,我们旨在开发一种新的人工智能(AI)算法来支持肺结节检测,这将使医生能够有效地解释用于诊断癌症的胸部射线照片。方法:我们分析了从福岛健康检查中心和美国国立卫生研究院(NIH)胸部X射线14数据集获得的胸部X射线图像。我们将这些数据分为两类:A类包括福岛和美国国立卫生研究院的数据集,B类仅包括福岛数据集。我们还在每张胸部X线片上以热图显示的形式展示了肺结节,并计算了阳性概率得分作为指标值。结果:对于a型数据集,我们的新AI算法的受试者工作特征曲线下面积(AUC)为0.74,灵敏度为0.75,特异性为0.60。对于B型数据集,相应的值分别为0.79、0.72和0.74。A型和B型数据集中的算法都优于放射科医生的准确性,并且与以前的研究相似。结论:与先前的研究和放射科医生相比,专有的人工智能算法在解释胸部射线照片方面具有相似的准确性。特别是,我们可以训练高质量的人工智能算法,即使使用我们的小型B型数据集。然而,还需要进一步的研究来改进和进一步验证我们的人工智能算法的准确性。
本文章由计算机程序翻译,如有差异,请以英文原文为准。

Development of a novel artificial intelligence algorithm to detect pulmonary nodules on chest radiography.

Development of a novel artificial intelligence algorithm to detect pulmonary nodules on chest radiography.

Development of a novel artificial intelligence algorithm to detect pulmonary nodules on chest radiography.

Development of a novel artificial intelligence algorithm to detect pulmonary nodules on chest radiography.

Background: In this study, we aimed to develop a novel artificial intelligence (AI) algorithm to support pulmonary nodule detection, which will enable physicians to efficiently interpret chest radiographs for lung cancer diagnosis.

Methods: We analyzed chest X-ray images obtained from a health examination center in Fukushima and the National Institutes of Health (NIH) Chest X-ray 14 dataset. We categorized these data into two types: type A included both Fukushima and NIH datasets, and type B included only the Fukushima dataset. We also demonstrated pulmonary nodules in the form of a heatmap display on each chest radiograph and calculated the positive probability score as an index value.

Results: Our novel AI algorithms had a receiver operating characteristic (ROC) area under the curve (AUC) of 0.74, a sensitivity of 0.75, and a specificity of 0.60 for the type A dataset. For the type B dataset, the respective values were 0.79, 0.72, and 0.74. The algorithms in both the type A and B datasets were superior to the accuracy of radiologists and similar to previous studies.

Conclusions: The proprietary AI algorithms had a similar accuracy for interpreting chest radiographs when compared with previous studies and radiologists. Especially, we could train a high quality AI algorithm, even with our small type B data set. However, further studies are needed to improve and further validate the accuracy of our AI algorithm.

求助全文
通过发布文献求助,成功后即可免费获取论文全文。 去求助
来源期刊
Fukushima Journal of Medical Science
Fukushima Journal of Medical Science MEDICINE, GENERAL & INTERNAL-
CiteScore
1.70
自引率
12.50%
发文量
24
×
引用
GB/T 7714-2015
复制
MLA
复制
APA
复制
导出至
BibTeX EndNote RefMan NoteFirst NoteExpress
×
提示
您的信息不完整,为了账户安全,请先补充。
现在去补充
×
提示
您因"违规操作"
具体请查看互助需知
我知道了
×
提示
确定
请完成安全验证×
copy
已复制链接
快去分享给好友吧!
我知道了
右上角分享
点击右上角分享
0
联系我们:info@booksci.cn Book学术提供免费学术资源搜索服务,方便国内外学者检索中英文文献。致力于提供最便捷和优质的服务体验。 Copyright © 2023 布克学术 All rights reserved.
京ICP备2023020795号-1
ghs 京公网安备 11010802042870号
Book学术文献互助
Book学术文献互助群
群 号:604180095
Book学术官方微信
小红书