多发性硬化症患者认知障碍与生活质量的相关性:一项横断面研究

IF 0.5 Q4 CLINICAL NEUROLOGY
Fardin Nabizadeh, Mohammad Balabandian, Mohammad Reza Rostami, Mahsa Owji, Mohammad Ali Sahraian, Maryam Bidadian, Fereshteh Ghadiri, Nasim Rezaeimanesh, Abdorreza Naser Moghadasi
{"title":"多发性硬化症患者认知障碍与生活质量的相关性:一项横断面研究","authors":"Fardin Nabizadeh, Mohammad Balabandian, Mohammad Reza Rostami, Mahsa Owji, Mohammad Ali Sahraian, Maryam Bidadian, Fereshteh Ghadiri, Nasim Rezaeimanesh, Abdorreza Naser Moghadasi","doi":"10.18502/cjn.v21i3.11106","DOIUrl":null,"url":null,"abstract":"<p><p><b>Background:</b> Cognitive impairments in patients with multiple sclerosis (MS) are suggested as a prognostic factor for disease development, and consequently higher disability and more deficits in daily and social activities. In this regard, we aimed to investigate the association between quality of life (QOL) and cognitive function in patients with MS. <b>Methods:</b> We conducted a cross-sectional study on patients with relapsing-remitting MS (RRMS). General characteristic variables were carried out, and then all patients underwent assessments such as Multiple Sclerosis Quality of Life-54 (MSQOL-54), Minimal Assessment of Cognitive Function in Multiple Sclerosis (MACFIMS), Expanded Disability Status Scale (EDSS), Beck Depression Inventory-II (BDI-II), and North American Adult Reading Test (NAART). <b>Results:</b> In the present study, a total of 92 patients, including 76 women with a mean disease duration of 6.82 ± 4.80 years were involved. Results of simple Pearson correlation revealed a significant positive relation between California Verbal Learning Test (CVLT) total learning with MSQOL mental health (r = 0.267, P = 0.017) and physical health (r = 0.299, P = 0.007). After adjusting for potential confounders, there was a negative correlation between MSQOL mental health with Delis-Kaplan Executive Function System (D-KEFS) (r = -0.303, P = 0.015) and Judgment of Line Orientation (JLO) (r = -0.310, P = 0.013). Besides, MSQOL physical health was negatively associated with Brief Visuospatial Memory Test-Revised (BVMT-R) in the adjusted model (r = -0.270, P = 0.031). <b>Conclusion:</b> There is a statistically significant association between specific aspects of cognitive decline and QOL. Therefore, more attention should be paid to cognitive impairment in patients with MS as based on our findings, it is significantly associated with QOL.</p>","PeriodicalId":40077,"journal":{"name":"Current Journal of Neurology","volume":"21 1","pages":"144-150"},"PeriodicalIF":0.5000,"publicationDate":"2022-07-06","publicationTypes":"Journal Article","fieldsOfStudy":null,"isOpenAccess":false,"openAccessPdf":"https://www.ncbi.nlm.nih.gov/pmc/articles/PMC10082961/pdf/","citationCount":"1","resultStr":"{\"title\":\"Association of cognitive impairment and quality of life in patients with multiple sclerosis: A cross-sectional study.\",\"authors\":\"Fardin Nabizadeh, Mohammad Balabandian, Mohammad Reza Rostami, Mahsa Owji, Mohammad Ali Sahraian, Maryam Bidadian, Fereshteh Ghadiri, Nasim Rezaeimanesh, Abdorreza Naser Moghadasi\",\"doi\":\"10.18502/cjn.v21i3.11106\",\"DOIUrl\":null,\"url\":null,\"abstract\":\"<p><p><b>Background:</b> Cognitive impairments in patients with multiple sclerosis (MS) are suggested as a prognostic factor for disease development, and consequently higher disability and more deficits in daily and social activities. In this regard, we aimed to investigate the association between quality of life (QOL) and cognitive function in patients with MS. <b>Methods:</b> We conducted a cross-sectional study on patients with relapsing-remitting MS (RRMS). General characteristic variables were carried out, and then all patients underwent assessments such as Multiple Sclerosis Quality of Life-54 (MSQOL-54), Minimal Assessment of Cognitive Function in Multiple Sclerosis (MACFIMS), Expanded Disability Status Scale (EDSS), Beck Depression Inventory-II (BDI-II), and North American Adult Reading Test (NAART). <b>Results:</b> In the present study, a total of 92 patients, including 76 women with a mean disease duration of 6.82 ± 4.80 years were involved. Results of simple Pearson correlation revealed a significant positive relation between California Verbal Learning Test (CVLT) total learning with MSQOL mental health (r = 0.267, P = 0.017) and physical health (r = 0.299, P = 0.007). After adjusting for potential confounders, there was a negative correlation between MSQOL mental health with Delis-Kaplan Executive Function System (D-KEFS) (r = -0.303, P = 0.015) and Judgment of Line Orientation (JLO) (r = -0.310, P = 0.013). Besides, MSQOL physical health was negatively associated with Brief Visuospatial Memory Test-Revised (BVMT-R) in the adjusted model (r = -0.270, P = 0.031). <b>Conclusion:</b> There is a statistically significant association between specific aspects of cognitive decline and QOL. Therefore, more attention should be paid to cognitive impairment in patients with MS as based on our findings, it is significantly associated with QOL.</p>\",\"PeriodicalId\":40077,\"journal\":{\"name\":\"Current Journal of Neurology\",\"volume\":\"21 1\",\"pages\":\"144-150\"},\"PeriodicalIF\":0.5000,\"publicationDate\":\"2022-07-06\",\"publicationTypes\":\"Journal Article\",\"fieldsOfStudy\":null,\"isOpenAccess\":false,\"openAccessPdf\":\"https://www.ncbi.nlm.nih.gov/pmc/articles/PMC10082961/pdf/\",\"citationCount\":\"1\",\"resultStr\":null,\"platform\":\"Semanticscholar\",\"paperid\":null,\"PeriodicalName\":\"Current Journal of Neurology\",\"FirstCategoryId\":\"1085\",\"ListUrlMain\":\"https://doi.org/10.18502/cjn.v21i3.11106\",\"RegionNum\":0,\"RegionCategory\":null,\"ArticlePicture\":[],\"TitleCN\":null,\"AbstractTextCN\":null,\"PMCID\":null,\"EPubDate\":\"\",\"PubModel\":\"\",\"JCR\":\"Q4\",\"JCRName\":\"CLINICAL NEUROLOGY\",\"Score\":null,\"Total\":0}","platform":"Semanticscholar","paperid":null,"PeriodicalName":"Current Journal of Neurology","FirstCategoryId":"1085","ListUrlMain":"https://doi.org/10.18502/cjn.v21i3.11106","RegionNum":0,"RegionCategory":null,"ArticlePicture":[],"TitleCN":null,"AbstractTextCN":null,"PMCID":null,"EPubDate":"","PubModel":"","JCR":"Q4","JCRName":"CLINICAL NEUROLOGY","Score":null,"Total":0}
引用次数: 1

摘要

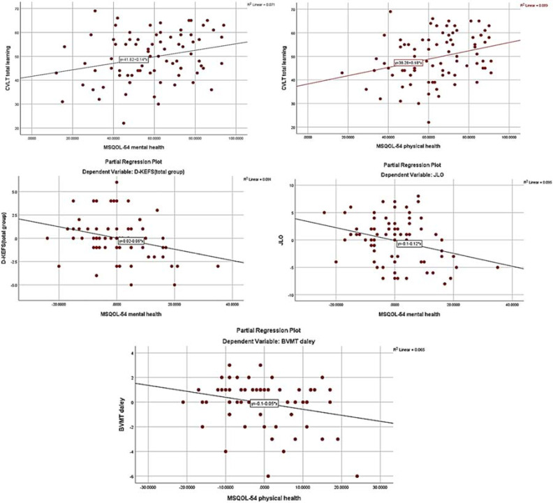
背景:多发性硬化症(MS)患者的认知障碍被认为是疾病发展的一个预后因素,从而导致更高的残疾和更多的日常和社交活动缺陷。在这方面,我们旨在研究MS患者的生活质量(QOL)与认知功能之间的关系。方法:我们对复发-缓解型MS(RRMS)患者进行了横断面研究。进行一般特征变量,然后对所有患者进行评估,如多发性硬化症生活质量54(MSQOL-54)、多发性痴呆症认知功能最低评估(MACFIMS)、扩展残疾状态量表(EDSS)、贝克抑郁量表II(BDI-II)和北美成人阅读测试(NAART)。结果:在本研究中,共有92名患者,包括76名女性,平均病程为6.82±4.80年。简单Pearson相关结果显示,加州言语学习测试(CVLT)总学习与MSQOL心理健康(r=0.267,P=0.017)和身体健康(r=0.2199,P=0.007)之间存在显著的正相关,Delis-KKaplan执行功能系统(D-KEFS)的MSQOL心理健康(r=-0.303,P=0.015)与直线定向判断(JLO)(r=-0.310,P=0.013)呈负相关,在调整后的模型中,MSQOL的身体健康与修订的短暂视觉空间记忆测试(BVMT-R)呈负相关(R=-0.270,P=0.031)。结论:认知能力下降的特定方面与生活质量之间存在统计学上显著的相关性。因此,应该更多地关注MS患者的认知障碍,因为根据我们的研究结果,它与生活质量显著相关。
本文章由计算机程序翻译,如有差异,请以英文原文为准。

Association of cognitive impairment and quality of life in patients with multiple sclerosis: A cross-sectional study.

Association of cognitive impairment and quality of life in patients with multiple sclerosis: A cross-sectional study.

Background: Cognitive impairments in patients with multiple sclerosis (MS) are suggested as a prognostic factor for disease development, and consequently higher disability and more deficits in daily and social activities. In this regard, we aimed to investigate the association between quality of life (QOL) and cognitive function in patients with MS. Methods: We conducted a cross-sectional study on patients with relapsing-remitting MS (RRMS). General characteristic variables were carried out, and then all patients underwent assessments such as Multiple Sclerosis Quality of Life-54 (MSQOL-54), Minimal Assessment of Cognitive Function in Multiple Sclerosis (MACFIMS), Expanded Disability Status Scale (EDSS), Beck Depression Inventory-II (BDI-II), and North American Adult Reading Test (NAART). Results: In the present study, a total of 92 patients, including 76 women with a mean disease duration of 6.82 ± 4.80 years were involved. Results of simple Pearson correlation revealed a significant positive relation between California Verbal Learning Test (CVLT) total learning with MSQOL mental health (r = 0.267, P = 0.017) and physical health (r = 0.299, P = 0.007). After adjusting for potential confounders, there was a negative correlation between MSQOL mental health with Delis-Kaplan Executive Function System (D-KEFS) (r = -0.303, P = 0.015) and Judgment of Line Orientation (JLO) (r = -0.310, P = 0.013). Besides, MSQOL physical health was negatively associated with Brief Visuospatial Memory Test-Revised (BVMT-R) in the adjusted model (r = -0.270, P = 0.031). Conclusion: There is a statistically significant association between specific aspects of cognitive decline and QOL. Therefore, more attention should be paid to cognitive impairment in patients with MS as based on our findings, it is significantly associated with QOL.

求助全文
通过发布文献求助,成功后即可免费获取论文全文。 去求助
来源期刊
Current Journal of Neurology
Current Journal of Neurology CLINICAL NEUROLOGY-
CiteScore
0.80
自引率
14.30%
发文量
30
审稿时长
12 weeks
×
引用
GB/T 7714-2015
复制
MLA
复制
APA
复制
导出至
BibTeX EndNote RefMan NoteFirst NoteExpress
×
提示
您的信息不完整,为了账户安全,请先补充。
现在去补充
×
提示
您因"违规操作"
具体请查看互助需知
我知道了
×
提示
确定
请完成安全验证×
copy
已复制链接
快去分享给好友吧!
我知道了
右上角分享
点击右上角分享
0
联系我们:info@booksci.cn Book学术提供免费学术资源搜索服务,方便国内外学者检索中英文文献。致力于提供最便捷和优质的服务体验。 Copyright © 2023 布克学术 All rights reserved.
京ICP备2023020795号-1
ghs 京公网安备 11010802042870号
Book学术文献互助
Book学术文献互助群
群 号:604180095
Book学术官方微信