使用7天基于pcr的定制治疗根除幽门螺杆菌感染

Youngwoo Kim, Heejun Kang, Sang-Gon Moon, Bohyoung Kim, Hyeyeon Lee, Chul-Hyun Lim, Jung-Hwan Oh
{"title":"使用7天基于pcr的定制治疗根除幽门螺杆菌感染","authors":"Youngwoo Kim, Heejun Kang, Sang-Gon Moon, Bohyoung Kim, Hyeyeon Lee, Chul-Hyun Lim, Jung-Hwan Oh","doi":"10.7704/kjhugr.2023.0003","DOIUrl":null,"url":null,"abstract":"<p><strong>Background/aims: </strong>Standard triple therapy (STT; proton pump inhibitor [PPI]+clarithromycin+amoxicillin) used for <i>Helicobacter pylori (H. pylori)</i> eradication has shown low treatment success rates in recent years, which is most likely attributable to increased clarithromycin resistance. In this study, we compared treatment success rates of tailored therapy (TT) using real-time polymerase chain reaction (RT-PCR) and empirical STT.</p><p><strong>Methods: </strong>This retrospective study included 650 patients with <i>H. pylori</i> infection, who visited Eunpyeong St. Mary's Hospital in Korea; 343 patients received TT based on RT-PCR assays, and 307 patients received STT. Eradication success was defined as a negative <sup>13</sup>C-urea breath test result 4~8 weeks after treatment completion. Patients who failed first-line therapy and those with clarithromycin resistance received bismuth-containing quadruple therapy (BQT; PPI+bismuth+metronidazole+tetracycline).</p><p><strong>Results: </strong>Intention-to-treat analysis showed that <i>H. pylori</i> eradication rates were higher in patients who received RT-PCR-based TT than in those who were treated using empirical STT (80.5% [190/236] vs. 70.4% [216/307], <i>P</i>=0.069). Per-protocol (PP) analysis showed similar results (84.4% [190/225] vs. 74.7% [216/289], <i>P</i>=0.007). PP analysis showed that 7-day TT treatment was associated with a higher eradication rate than that observed with 10- to 14-day STT (85.2% [178/209] vs. 73.8% [59/80], <i>P</i>=0.029). The clarithromycin resistance rate was 27.9% (87/312). The eradication success rate was 89.2% (74/83) in patients with clarithromycin resistance, who received BQT as first-line therapy.</p><p><strong>Conclusions: </strong>The treatment success rate was higher in patients who received 7-day RT-PCR-based TT than in those who were administered 10- to 14-day empirical treatment.</p>","PeriodicalId":22895,"journal":{"name":"The Korean Journal of Helicobacter and Upper Gastrointestinal Research","volume":" ","pages":"125-131"},"PeriodicalIF":0.0000,"publicationDate":"2023-06-01","publicationTypes":"Journal Article","fieldsOfStudy":null,"isOpenAccess":false,"openAccessPdf":"https://www.ncbi.nlm.nih.gov/pmc/articles/PMC11967491/pdf/","citationCount":"0","resultStr":"{\"title\":\"[Eradication of <i>Helicobacter pylori</i> Infection Using 7-day PCR-based Tailored Therapy].\",\"authors\":\"Youngwoo Kim, Heejun Kang, Sang-Gon Moon, Bohyoung Kim, Hyeyeon Lee, Chul-Hyun Lim, Jung-Hwan Oh\",\"doi\":\"10.7704/kjhugr.2023.0003\",\"DOIUrl\":null,\"url\":null,\"abstract\":\"<p><strong>Background/aims: </strong>Standard triple therapy (STT; proton pump inhibitor [PPI]+clarithromycin+amoxicillin) used for <i>Helicobacter pylori (H. pylori)</i> eradication has shown low treatment success rates in recent years, which is most likely attributable to increased clarithromycin resistance. In this study, we compared treatment success rates of tailored therapy (TT) using real-time polymerase chain reaction (RT-PCR) and empirical STT.</p><p><strong>Methods: </strong>This retrospective study included 650 patients with <i>H. pylori</i> infection, who visited Eunpyeong St. Mary's Hospital in Korea; 343 patients received TT based on RT-PCR assays, and 307 patients received STT. Eradication success was defined as a negative <sup>13</sup>C-urea breath test result 4~8 weeks after treatment completion. Patients who failed first-line therapy and those with clarithromycin resistance received bismuth-containing quadruple therapy (BQT; PPI+bismuth+metronidazole+tetracycline).</p><p><strong>Results: </strong>Intention-to-treat analysis showed that <i>H. pylori</i> eradication rates were higher in patients who received RT-PCR-based TT than in those who were treated using empirical STT (80.5% [190/236] vs. 70.4% [216/307], <i>P</i>=0.069). Per-protocol (PP) analysis showed similar results (84.4% [190/225] vs. 74.7% [216/289], <i>P</i>=0.007). PP analysis showed that 7-day TT treatment was associated with a higher eradication rate than that observed with 10- to 14-day STT (85.2% [178/209] vs. 73.8% [59/80], <i>P</i>=0.029). The clarithromycin resistance rate was 27.9% (87/312). The eradication success rate was 89.2% (74/83) in patients with clarithromycin resistance, who received BQT as first-line therapy.</p><p><strong>Conclusions: </strong>The treatment success rate was higher in patients who received 7-day RT-PCR-based TT than in those who were administered 10- to 14-day empirical treatment.</p>\",\"PeriodicalId\":22895,\"journal\":{\"name\":\"The Korean Journal of Helicobacter and Upper Gastrointestinal Research\",\"volume\":\" \",\"pages\":\"125-131\"},\"PeriodicalIF\":0.0000,\"publicationDate\":\"2023-06-01\",\"publicationTypes\":\"Journal Article\",\"fieldsOfStudy\":null,\"isOpenAccess\":false,\"openAccessPdf\":\"https://www.ncbi.nlm.nih.gov/pmc/articles/PMC11967491/pdf/\",\"citationCount\":\"0\",\"resultStr\":null,\"platform\":\"Semanticscholar\",\"paperid\":null,\"PeriodicalName\":\"The Korean Journal of Helicobacter and Upper Gastrointestinal Research\",\"FirstCategoryId\":\"1085\",\"ListUrlMain\":\"https://doi.org/10.7704/kjhugr.2023.0003\",\"RegionNum\":0,\"RegionCategory\":null,\"ArticlePicture\":[],\"TitleCN\":null,\"AbstractTextCN\":null,\"PMCID\":null,\"EPubDate\":\"2023/6/2 0:00:00\",\"PubModel\":\"Epub\",\"JCR\":\"\",\"JCRName\":\"\",\"Score\":null,\"Total\":0}","platform":"Semanticscholar","paperid":null,"PeriodicalName":"The Korean Journal of Helicobacter and Upper Gastrointestinal Research","FirstCategoryId":"1085","ListUrlMain":"https://doi.org/10.7704/kjhugr.2023.0003","RegionNum":0,"RegionCategory":null,"ArticlePicture":[],"TitleCN":null,"AbstractTextCN":null,"PMCID":null,"EPubDate":"2023/6/2 0:00:00","PubModel":"Epub","JCR":"","JCRName":"","Score":null,"Total":0}
引用次数: 0

摘要

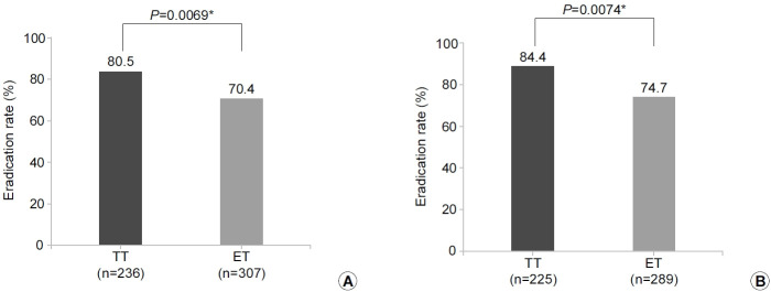
背景/目的:近年来,用于根除幽门螺杆菌的标准三联疗法(STT;质子泵抑制剂[PPI]+克拉霉素+阿莫西林)的治疗成功率较低,这很可能是由于克拉霉素耐药性增加。在这项研究中,我们使用实时聚合酶链式反应(RT-PCR)和经验STT比较了量身定制治疗(TT)的治疗成功率。方法:本项回顾性研究包括650名幽门螺杆菌感染患者,他们访问了韩国延坪圣玛丽医院;343名患者接受基于RT-PCR检测的TT,307名患者接受STT。根除成功定义为治疗结束后4~8周13C-尿素呼气测试结果为阴性。一线治疗失败的患者和对克拉霉素耐药的患者接受含铋四重疗法(BQT;PPI+铋+甲硝唑+四环素)。结果:意向治疗分析显示,接受基于RT-PCR的TT的患者的幽门螺杆菌根除率高于使用经验STT的患者(80.5%[190/236]对70.4%[216/307],P=0.069)。根据方案(PP)分析显示相似的结果(84.4%[190/225]对74.7%[216/289],P=0.007)。PP分析显示,7天TT治疗与克拉霉素耐药率为27.9%(87/312)。在接受BQT一线治疗的克拉霉素耐药患者中,根除成功率为89.2%(74/83)。结论:接受7天基于RT-PCR的TT的患者的治疗成功率高于接受10至14天经验治疗的患者。(韩国幽门螺杆菌研究杂志2023;23:125-131)
本文章由计算机程序翻译,如有差异,请以英文原文为准。

[Eradication of <i>Helicobacter pylori</i> Infection Using 7-day PCR-based Tailored Therapy].

[Eradication of <i>Helicobacter pylori</i> Infection Using 7-day PCR-based Tailored Therapy].

[Eradication of <i>Helicobacter pylori</i> Infection Using 7-day PCR-based Tailored Therapy].

[Eradication of Helicobacter pylori Infection Using 7-day PCR-based Tailored Therapy].

Background/aims: Standard triple therapy (STT; proton pump inhibitor [PPI]+clarithromycin+amoxicillin) used for Helicobacter pylori (H. pylori) eradication has shown low treatment success rates in recent years, which is most likely attributable to increased clarithromycin resistance. In this study, we compared treatment success rates of tailored therapy (TT) using real-time polymerase chain reaction (RT-PCR) and empirical STT.

Methods: This retrospective study included 650 patients with H. pylori infection, who visited Eunpyeong St. Mary's Hospital in Korea; 343 patients received TT based on RT-PCR assays, and 307 patients received STT. Eradication success was defined as a negative 13C-urea breath test result 4~8 weeks after treatment completion. Patients who failed first-line therapy and those with clarithromycin resistance received bismuth-containing quadruple therapy (BQT; PPI+bismuth+metronidazole+tetracycline).

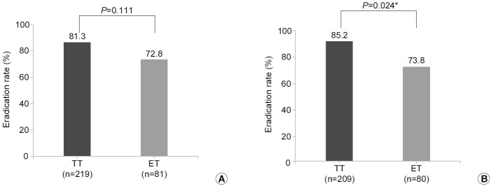
Results: Intention-to-treat analysis showed that H. pylori eradication rates were higher in patients who received RT-PCR-based TT than in those who were treated using empirical STT (80.5% [190/236] vs. 70.4% [216/307], P=0.069). Per-protocol (PP) analysis showed similar results (84.4% [190/225] vs. 74.7% [216/289], P=0.007). PP analysis showed that 7-day TT treatment was associated with a higher eradication rate than that observed with 10- to 14-day STT (85.2% [178/209] vs. 73.8% [59/80], P=0.029). The clarithromycin resistance rate was 27.9% (87/312). The eradication success rate was 89.2% (74/83) in patients with clarithromycin resistance, who received BQT as first-line therapy.

Conclusions: The treatment success rate was higher in patients who received 7-day RT-PCR-based TT than in those who were administered 10- to 14-day empirical treatment.

求助全文
通过发布文献求助,成功后即可免费获取论文全文。 去求助
来源期刊
自引率
0.00%
发文量
41
审稿时长
18 weeks
×
引用
GB/T 7714-2015
复制
MLA
复制
APA
复制
导出至
BibTeX EndNote RefMan NoteFirst NoteExpress
×
提示
您的信息不完整,为了账户安全,请先补充。
现在去补充
×
提示
您因"违规操作"
具体请查看互助需知
我知道了
×
提示
确定
请完成安全验证×
copy
已复制链接
快去分享给好友吧!
我知道了
右上角分享
点击右上角分享
0
联系我们:info@booksci.cn Book学术提供免费学术资源搜索服务,方便国内外学者检索中英文文献。致力于提供最便捷和优质的服务体验。 Copyright © 2023 布克学术 All rights reserved.
京ICP备2023020795号-1
ghs 京公网安备 11010802042870号
Book学术文献互助
Book学术文献互助群
群 号:604180095
Book学术官方微信