动物园饲养的大猩猩肠道微生物组的多组学特征揭示了细菌群落组成变化,真菌纤维素降解和古细菌产甲烷活性

Gut microbiome (Cambridge, England) Pub Date : 2023-07-19 eCollection Date: 2023-01-01 DOI:10.1017/gmb.2023.11
Isabel M Houtkamp, Martine van Zijll Langhout, Mark Bessem, Walter Pirovano, Remco Kort
{"title":"动物园饲养的大猩猩肠道微生物组的多组学特征揭示了细菌群落组成变化,真菌纤维素降解和古细菌产甲烷活性","authors":"Isabel M Houtkamp, Martine van Zijll Langhout, Mark Bessem, Walter Pirovano, Remco Kort","doi":"10.1017/gmb.2023.11","DOIUrl":null,"url":null,"abstract":"<p><p>We carried out a comparative analysis between the bacterial microbiota composition of zoo-housed western lowland gorillas and their wild counterparts through 16S rRNA gene amplicon sequencing. In addition, we characterised the carbohydrate-active and methanogenic potential of the zoo-housed gorilla (ZHG) microbiome through shotgun metagenomics and RNA sequencing. The ZHG microbiota showed increased alpha diversity in terms of bacterial species richness and a distinct composition from that of the wild gorilla microbiota, including a loss of abundant fibre-degrading and hydrogenic Chloroflexi. Metagenomic analysis of the CAZyome indicated predominant oligosaccharide-degrading activity, while RNA sequencing revealed diverse cellulase and hemi-cellulase activities in the ZHG gut, contributing to a total of 268 identified carbohydrate-active enzymes. Metatranscriptome analysis revealed a substantial contribution of 38% of the transcripts from anaerobic fungi and archaea to the gorilla microbiome. This activity originates from cellulose-degrading and hydrogenic fungal species belonging to the class Neocallimastigomycetes, as well as from methylotrophic and hydrogenotrophic methanogenic archaea belonging to the classes Thermoplasmata and Methanobacteria, respectively. Our study shows the added value of RNA sequencing in a multiomics approach and highlights the contribution of eukaryotic and archaeal activities to the gut microbiome of gorillas.</p>","PeriodicalId":73187,"journal":{"name":"Gut microbiome (Cambridge, England)","volume":" ","pages":"e12"},"PeriodicalIF":0.0000,"publicationDate":"2023-07-19","publicationTypes":"Journal Article","fieldsOfStudy":null,"isOpenAccess":false,"openAccessPdf":"https://www.ncbi.nlm.nih.gov/pmc/articles/PMC11406404/pdf/","citationCount":"0","resultStr":"{\"title\":\"Multiomics characterisation of the zoo-housed gorilla gut microbiome reveals bacterial community compositions shifts, fungal cellulose-degrading, and archaeal methanogenic activity.\",\"authors\":\"Isabel M Houtkamp, Martine van Zijll Langhout, Mark Bessem, Walter Pirovano, Remco Kort\",\"doi\":\"10.1017/gmb.2023.11\",\"DOIUrl\":null,\"url\":null,\"abstract\":\"<p><p>We carried out a comparative analysis between the bacterial microbiota composition of zoo-housed western lowland gorillas and their wild counterparts through 16S rRNA gene amplicon sequencing. In addition, we characterised the carbohydrate-active and methanogenic potential of the zoo-housed gorilla (ZHG) microbiome through shotgun metagenomics and RNA sequencing. The ZHG microbiota showed increased alpha diversity in terms of bacterial species richness and a distinct composition from that of the wild gorilla microbiota, including a loss of abundant fibre-degrading and hydrogenic Chloroflexi. Metagenomic analysis of the CAZyome indicated predominant oligosaccharide-degrading activity, while RNA sequencing revealed diverse cellulase and hemi-cellulase activities in the ZHG gut, contributing to a total of 268 identified carbohydrate-active enzymes. Metatranscriptome analysis revealed a substantial contribution of 38% of the transcripts from anaerobic fungi and archaea to the gorilla microbiome. This activity originates from cellulose-degrading and hydrogenic fungal species belonging to the class Neocallimastigomycetes, as well as from methylotrophic and hydrogenotrophic methanogenic archaea belonging to the classes Thermoplasmata and Methanobacteria, respectively. Our study shows the added value of RNA sequencing in a multiomics approach and highlights the contribution of eukaryotic and archaeal activities to the gut microbiome of gorillas.</p>\",\"PeriodicalId\":73187,\"journal\":{\"name\":\"Gut microbiome (Cambridge, England)\",\"volume\":\" \",\"pages\":\"e12\"},\"PeriodicalIF\":0.0000,\"publicationDate\":\"2023-07-19\",\"publicationTypes\":\"Journal Article\",\"fieldsOfStudy\":null,\"isOpenAccess\":false,\"openAccessPdf\":\"https://www.ncbi.nlm.nih.gov/pmc/articles/PMC11406404/pdf/\",\"citationCount\":\"0\",\"resultStr\":null,\"platform\":\"Semanticscholar\",\"paperid\":null,\"PeriodicalName\":\"Gut microbiome (Cambridge, England)\",\"FirstCategoryId\":\"1085\",\"ListUrlMain\":\"https://doi.org/10.1017/gmb.2023.11\",\"RegionNum\":0,\"RegionCategory\":null,\"ArticlePicture\":[],\"TitleCN\":null,\"AbstractTextCN\":null,\"PMCID\":null,\"EPubDate\":\"2023/1/1 0:00:00\",\"PubModel\":\"eCollection\",\"JCR\":\"\",\"JCRName\":\"\",\"Score\":null,\"Total\":0}","platform":"Semanticscholar","paperid":null,"PeriodicalName":"Gut microbiome (Cambridge, England)","FirstCategoryId":"1085","ListUrlMain":"https://doi.org/10.1017/gmb.2023.11","RegionNum":0,"RegionCategory":null,"ArticlePicture":[],"TitleCN":null,"AbstractTextCN":null,"PMCID":null,"EPubDate":"2023/1/1 0:00:00","PubModel":"eCollection","JCR":"","JCRName":"","Score":null,"Total":0}
引用次数: 0

摘要

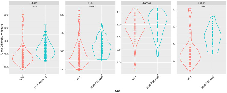
摘要通过16S rRNA基因扩增子测序,对西部低地大猩猩与野生大猩猩的细菌菌群组成进行了比较分析。此外,我们通过鸟枪宏基因组学和RNA测序表征了动物园大猩猩(ZHG)微生物组的碳水化合物活性和产甲烷潜力。与野生大猩猩微生物群相比,ZHG微生物群在细菌种类丰富度和组成上表现出更高的α多样性,包括丰富的纤维降解和氢氯氟酸的丧失。CAZyome的宏基因组分析表明,低聚糖降解活性占主导地位,而RNA测序显示,ZHG肠道中存在多种纤维素酶和半纤维素酶活性,共鉴定出268种碳水化合物活性酶。元转录组分析显示,厌氧真菌和古细菌对大猩猩微生物组的转录本有38%的实质性贡献。这种活性来源于纤维素降解真菌和产氢真菌,它们分别属于neocallimastigomycates类,以及甲基营养型和氢营养型产甲烷古细菌,它们分别属于热原菌类和甲烷细菌类。我们的研究显示了RNA测序在多组学方法中的附加价值,并突出了真核生物和古细菌活动对大猩猩肠道微生物组的贡献。
本文章由计算机程序翻译,如有差异,请以英文原文为准。

Multiomics characterisation of the zoo-housed gorilla gut microbiome reveals bacterial community compositions shifts, fungal cellulose-degrading, and archaeal methanogenic activity.

Multiomics characterisation of the zoo-housed gorilla gut microbiome reveals bacterial community compositions shifts, fungal cellulose-degrading, and archaeal methanogenic activity.

Multiomics characterisation of the zoo-housed gorilla gut microbiome reveals bacterial community compositions shifts, fungal cellulose-degrading, and archaeal methanogenic activity.

Multiomics characterisation of the zoo-housed gorilla gut microbiome reveals bacterial community compositions shifts, fungal cellulose-degrading, and archaeal methanogenic activity.

We carried out a comparative analysis between the bacterial microbiota composition of zoo-housed western lowland gorillas and their wild counterparts through 16S rRNA gene amplicon sequencing. In addition, we characterised the carbohydrate-active and methanogenic potential of the zoo-housed gorilla (ZHG) microbiome through shotgun metagenomics and RNA sequencing. The ZHG microbiota showed increased alpha diversity in terms of bacterial species richness and a distinct composition from that of the wild gorilla microbiota, including a loss of abundant fibre-degrading and hydrogenic Chloroflexi. Metagenomic analysis of the CAZyome indicated predominant oligosaccharide-degrading activity, while RNA sequencing revealed diverse cellulase and hemi-cellulase activities in the ZHG gut, contributing to a total of 268 identified carbohydrate-active enzymes. Metatranscriptome analysis revealed a substantial contribution of 38% of the transcripts from anaerobic fungi and archaea to the gorilla microbiome. This activity originates from cellulose-degrading and hydrogenic fungal species belonging to the class Neocallimastigomycetes, as well as from methylotrophic and hydrogenotrophic methanogenic archaea belonging to the classes Thermoplasmata and Methanobacteria, respectively. Our study shows the added value of RNA sequencing in a multiomics approach and highlights the contribution of eukaryotic and archaeal activities to the gut microbiome of gorillas.

求助全文
通过发布文献求助,成功后即可免费获取论文全文。 去求助
来源期刊
自引率
0.00%
发文量
0
×
引用
GB/T 7714-2015
复制
MLA
复制
APA
复制
导出至
BibTeX EndNote RefMan NoteFirst NoteExpress
×
提示
您的信息不完整,为了账户安全,请先补充。
现在去补充
×
提示
您因"违规操作"
具体请查看互助需知
我知道了
×
提示
确定
请完成安全验证×
copy
已复制链接
快去分享给好友吧!
我知道了
右上角分享
点击右上角分享
0
联系我们:info@booksci.cn Book学术提供免费学术资源搜索服务,方便国内外学者检索中英文文献。致力于提供最便捷和优质的服务体验。 Copyright © 2023 布克学术 All rights reserved.
京ICP备2023020795号-1
ghs 京公网安备 11010802042870号
Book学术文献互助
Book学术文献互助群
群 号:604180095
Book学术官方微信