纠正极端反应风格:模型选择问题

IF 2.3 3区 心理学 Q2 MATHEMATICS, INTERDISCIPLINARY APPLICATIONS
Educational and Psychological Measurement Pub Date : 2024-02-01 Epub Date: 2023-02-17 DOI:10.1177/00131644231155838
Martijn Schoenmakers, Jesper Tijmstra, Jeroen Vermunt, Maria Bolsinova
{"title":"纠正极端反应风格:模型选择问题","authors":"Martijn Schoenmakers, Jesper Tijmstra, Jeroen Vermunt, Maria Bolsinova","doi":"10.1177/00131644231155838","DOIUrl":null,"url":null,"abstract":"<p><p>Extreme response style (ERS), the tendency of participants to select extreme item categories regardless of the item content, has frequently been found to decrease the validity of Likert-type questionnaire results. For this reason, various item response theory (IRT) models have been proposed to model ERS and correct for it. Comparisons of these models are however rare in the literature, especially in the context of cross-cultural comparisons, where ERS is even more relevant due to cultural differences between groups. To remedy this issue, the current article examines two frequently used IRT models that can be estimated using standard software: a multidimensional nominal response model (MNRM) and a IRTree model. Studying conceptual differences between these models reveals that they differ substantially in their conceptualization of ERS. These differences result in different category probabilities between the models. To evaluate the impact of these differences in a multigroup context, a simulation study is conducted. Our results show that when the groups differ in their average ERS, the IRTree model and MNRM can drastically differ in their conclusions about the size and presence of differences in the substantive trait between these groups. An empirical example is given and implications for the future use of both models and the conceptualization of ERS are discussed.</p>","PeriodicalId":11502,"journal":{"name":"Educational and Psychological Measurement","volume":"1 1","pages":"145-170"},"PeriodicalIF":2.3000,"publicationDate":"2024-02-01","publicationTypes":"Journal Article","fieldsOfStudy":null,"isOpenAccess":false,"openAccessPdf":"https://www.ncbi.nlm.nih.gov/pmc/articles/PMC10795569/pdf/","citationCount":"0","resultStr":"{\"title\":\"Correcting for Extreme Response Style: Model Choice Matters.\",\"authors\":\"Martijn Schoenmakers, Jesper Tijmstra, Jeroen Vermunt, Maria Bolsinova\",\"doi\":\"10.1177/00131644231155838\",\"DOIUrl\":null,\"url\":null,\"abstract\":\"<p><p>Extreme response style (ERS), the tendency of participants to select extreme item categories regardless of the item content, has frequently been found to decrease the validity of Likert-type questionnaire results. For this reason, various item response theory (IRT) models have been proposed to model ERS and correct for it. Comparisons of these models are however rare in the literature, especially in the context of cross-cultural comparisons, where ERS is even more relevant due to cultural differences between groups. To remedy this issue, the current article examines two frequently used IRT models that can be estimated using standard software: a multidimensional nominal response model (MNRM) and a IRTree model. Studying conceptual differences between these models reveals that they differ substantially in their conceptualization of ERS. These differences result in different category probabilities between the models. To evaluate the impact of these differences in a multigroup context, a simulation study is conducted. Our results show that when the groups differ in their average ERS, the IRTree model and MNRM can drastically differ in their conclusions about the size and presence of differences in the substantive trait between these groups. An empirical example is given and implications for the future use of both models and the conceptualization of ERS are discussed.</p>\",\"PeriodicalId\":11502,\"journal\":{\"name\":\"Educational and Psychological Measurement\",\"volume\":\"1 1\",\"pages\":\"145-170\"},\"PeriodicalIF\":2.3000,\"publicationDate\":\"2024-02-01\",\"publicationTypes\":\"Journal Article\",\"fieldsOfStudy\":null,\"isOpenAccess\":false,\"openAccessPdf\":\"https://www.ncbi.nlm.nih.gov/pmc/articles/PMC10795569/pdf/\",\"citationCount\":\"0\",\"resultStr\":null,\"platform\":\"Semanticscholar\",\"paperid\":null,\"PeriodicalName\":\"Educational and Psychological Measurement\",\"FirstCategoryId\":\"102\",\"ListUrlMain\":\"https://doi.org/10.1177/00131644231155838\",\"RegionNum\":3,\"RegionCategory\":\"心理学\",\"ArticlePicture\":[],\"TitleCN\":null,\"AbstractTextCN\":null,\"PMCID\":null,\"EPubDate\":\"2023/2/17 0:00:00\",\"PubModel\":\"Epub\",\"JCR\":\"Q2\",\"JCRName\":\"MATHEMATICS, INTERDISCIPLINARY APPLICATIONS\",\"Score\":null,\"Total\":0}","platform":"Semanticscholar","paperid":null,"PeriodicalName":"Educational and Psychological Measurement","FirstCategoryId":"102","ListUrlMain":"https://doi.org/10.1177/00131644231155838","RegionNum":3,"RegionCategory":"心理学","ArticlePicture":[],"TitleCN":null,"AbstractTextCN":null,"PMCID":null,"EPubDate":"2023/2/17 0:00:00","PubModel":"Epub","JCR":"Q2","JCRName":"MATHEMATICS, INTERDISCIPLINARY APPLICATIONS","Score":null,"Total":0}
引用次数: 0

摘要

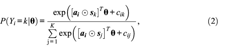
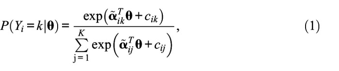
极端反应风格(Extreme response style, ERS),即参与者不考虑项目内容而选择极端项目类别的倾向,经常被发现会降低李克特型问卷结果的效度。因此,人们提出了各种项目反应理论(IRT)模型来对ERS进行建模和修正。然而,这些模型的比较在文献中很少,特别是在跨文化比较的背景下,由于群体之间的文化差异,ERS更加相关。为了解决这个问题,本文研究了两种常用的IRT模型,它们可以使用标准软件进行估计:多维标称响应模型(MNRM)和IRTree模型。研究这些模型之间的概念差异表明,它们对ERS的概念化存在很大差异。这些差异导致模型之间的类别概率不同。为了评估这些差异在多群体环境中的影响,进行了模拟研究。我们的研究结果表明,当两组的平均ERS不同时,IRTree模型和MNRM可以在这些组之间实质性性状差异的大小和存在性方面得出截然不同的结论。给出了一个经验例子,并讨论了未来使用这两个模型和ERS概念化的含义。
本文章由计算机程序翻译,如有差异,请以英文原文为准。

Correcting for Extreme Response Style: Model Choice Matters.

Correcting for Extreme Response Style: Model Choice Matters.

Correcting for Extreme Response Style: Model Choice Matters.

Correcting for Extreme Response Style: Model Choice Matters.

Extreme response style (ERS), the tendency of participants to select extreme item categories regardless of the item content, has frequently been found to decrease the validity of Likert-type questionnaire results. For this reason, various item response theory (IRT) models have been proposed to model ERS and correct for it. Comparisons of these models are however rare in the literature, especially in the context of cross-cultural comparisons, where ERS is even more relevant due to cultural differences between groups. To remedy this issue, the current article examines two frequently used IRT models that can be estimated using standard software: a multidimensional nominal response model (MNRM) and a IRTree model. Studying conceptual differences between these models reveals that they differ substantially in their conceptualization of ERS. These differences result in different category probabilities between the models. To evaluate the impact of these differences in a multigroup context, a simulation study is conducted. Our results show that when the groups differ in their average ERS, the IRTree model and MNRM can drastically differ in their conclusions about the size and presence of differences in the substantive trait between these groups. An empirical example is given and implications for the future use of both models and the conceptualization of ERS are discussed.

求助全文
通过发布文献求助,成功后即可免费获取论文全文。 去求助
来源期刊
Educational and Psychological Measurement
Educational and Psychological Measurement 医学-数学跨学科应用
CiteScore
5.50
自引率
7.40%
发文量
49
审稿时长
6-12 weeks
期刊介绍: Educational and Psychological Measurement (EPM) publishes referred scholarly work from all academic disciplines interested in the study of measurement theory, problems, and issues. Theoretical articles address new developments and techniques, and applied articles deal with innovation applications.
×
引用
GB/T 7714-2015
复制
MLA
复制
APA
复制
导出至
BibTeX EndNote RefMan NoteFirst NoteExpress
×
提示
您的信息不完整,为了账户安全,请先补充。
现在去补充
×
提示
您因"违规操作"
具体请查看互助需知
我知道了
×
提示
确定
请完成安全验证×
copy
已复制链接
快去分享给好友吧!
我知道了
右上角分享
点击右上角分享
0
联系我们:info@booksci.cn Book学术提供免费学术资源搜索服务,方便国内外学者检索中英文文献。致力于提供最便捷和优质的服务体验。 Copyright © 2023 布克学术 All rights reserved.
京ICP备2023020795号-1
ghs 京公网安备 11010802042870号
Book学术文献互助
Book学术文献互助群
群 号:604180095
Book学术官方微信