符合罗马IV标准的功能性消化不良与华南地区胃食管反流病、肠易激综合征和功能性便秘重叠的特征和危险因素。

IF 3.3 3区 医学 Q2 CLINICAL NEUROLOGY
Journal of Neurogastroenterology and Motility Pub Date : 2024-04-30 Epub Date: 2023-09-27 DOI:10.5056/jnm23084
Yan-Qin Long, Wen-Li Xu, Lu-Xiu Li, Hui-Qin He, Jing-Jie Wang, Guo-Dong Shan, Ning Dai, Hong-Tan Chen
{"title":"符合罗马IV标准的功能性消化不良与华南地区胃食管反流病、肠易激综合征和功能性便秘重叠的特征和危险因素。","authors":"Yan-Qin Long, Wen-Li Xu, Lu-Xiu Li, Hui-Qin He, Jing-Jie Wang, Guo-Dong Shan, Ning Dai, Hong-Tan Chen","doi":"10.5056/jnm23084","DOIUrl":null,"url":null,"abstract":"<p><strong>Background/aims: </strong>Functional dyspepsia (FD) overlapping with other gastrointestinal disorders are quite common. The characteristics of FD overlap in Chinese population with latest Rome IV criteria were unclear. This large-scale outpatient-based study assessed the characteristics of FD overlap in South China.</p><p><strong>Methods: </strong>Consecutive FD patients visited the Gastroenterology Clinic at 2 tertiary medical centers in Hangzhou, China who fulfilled the Rome IV criteria were enrolled. Complete questionnaires related to the gastrointestinal symptoms (Rome IV criteria), Reflux Disease Questionnaire, anxiety and depression, quality of sleep and life, and demographic information were collected.</p><p><strong>Results: </strong>Among the total of 3281 FD patients, 50.69% overlapped with gastroesophageal reflux disease, 21.46% overlapped with irritable bowel syndrome, 6.03% overlapped with functional constipation. FD overlap had higher proportion of single/divorced/widowed rate, high education level, being employed, drinking, night shift, unhealthy dietary habit than FD only (<i>P</i> < 0.05). They had higher frequency of consultation and economic burden, as well as lower scores in quality of life (<i>P</i> < 0.001). Multivariate logistic regression showed that increasing age, female, low body mass index, history of gastroenteritis, anxiety, depression, and poor sleep quality were independent risk factors for FD overlap.</p><p><strong>Conclusions: </strong>FD overlap was quite common in China with high economic burden and poor quality of life, FD patients with history of gastroenteritis, anxiety, depression, and poor sleep quality were more likely to have overlap disorders. Awareness of the physical and psychosocial stressors in overlapping condition would help optimize the management of FD overlap in clinical practice.</p>","PeriodicalId":16543,"journal":{"name":"Journal of Neurogastroenterology and Motility","volume":" ","pages":"184-193"},"PeriodicalIF":3.3000,"publicationDate":"2024-04-30","publicationTypes":"Journal Article","fieldsOfStudy":null,"isOpenAccess":false,"openAccessPdf":"https://www.ncbi.nlm.nih.gov/pmc/articles/PMC10999841/pdf/","citationCount":"0","resultStr":"{\"title\":\"Characteristics and Risk Factors of Functional Dyspepsia Fulfilling the Rome IV Criteria Overlapping With Gastroesophageal Reflux Disease, Irritable Bowel Syndrome, and Functional Constipation in South China.\",\"authors\":\"Yan-Qin Long, Wen-Li Xu, Lu-Xiu Li, Hui-Qin He, Jing-Jie Wang, Guo-Dong Shan, Ning Dai, Hong-Tan Chen\",\"doi\":\"10.5056/jnm23084\",\"DOIUrl\":null,\"url\":null,\"abstract\":\"<p><strong>Background/aims: </strong>Functional dyspepsia (FD) overlapping with other gastrointestinal disorders are quite common. The characteristics of FD overlap in Chinese population with latest Rome IV criteria were unclear. This large-scale outpatient-based study assessed the characteristics of FD overlap in South China.</p><p><strong>Methods: </strong>Consecutive FD patients visited the Gastroenterology Clinic at 2 tertiary medical centers in Hangzhou, China who fulfilled the Rome IV criteria were enrolled. Complete questionnaires related to the gastrointestinal symptoms (Rome IV criteria), Reflux Disease Questionnaire, anxiety and depression, quality of sleep and life, and demographic information were collected.</p><p><strong>Results: </strong>Among the total of 3281 FD patients, 50.69% overlapped with gastroesophageal reflux disease, 21.46% overlapped with irritable bowel syndrome, 6.03% overlapped with functional constipation. FD overlap had higher proportion of single/divorced/widowed rate, high education level, being employed, drinking, night shift, unhealthy dietary habit than FD only (<i>P</i> < 0.05). They had higher frequency of consultation and economic burden, as well as lower scores in quality of life (<i>P</i> < 0.001). Multivariate logistic regression showed that increasing age, female, low body mass index, history of gastroenteritis, anxiety, depression, and poor sleep quality were independent risk factors for FD overlap.</p><p><strong>Conclusions: </strong>FD overlap was quite common in China with high economic burden and poor quality of life, FD patients with history of gastroenteritis, anxiety, depression, and poor sleep quality were more likely to have overlap disorders. Awareness of the physical and psychosocial stressors in overlapping condition would help optimize the management of FD overlap in clinical practice.</p>\",\"PeriodicalId\":16543,\"journal\":{\"name\":\"Journal of Neurogastroenterology and Motility\",\"volume\":\" \",\"pages\":\"184-193\"},\"PeriodicalIF\":3.3000,\"publicationDate\":\"2024-04-30\",\"publicationTypes\":\"Journal Article\",\"fieldsOfStudy\":null,\"isOpenAccess\":false,\"openAccessPdf\":\"https://www.ncbi.nlm.nih.gov/pmc/articles/PMC10999841/pdf/\",\"citationCount\":\"0\",\"resultStr\":null,\"platform\":\"Semanticscholar\",\"paperid\":null,\"PeriodicalName\":\"Journal of Neurogastroenterology and Motility\",\"FirstCategoryId\":\"3\",\"ListUrlMain\":\"https://doi.org/10.5056/jnm23084\",\"RegionNum\":3,\"RegionCategory\":\"医学\",\"ArticlePicture\":[],\"TitleCN\":null,\"AbstractTextCN\":null,\"PMCID\":null,\"EPubDate\":\"2023/9/27 0:00:00\",\"PubModel\":\"Epub\",\"JCR\":\"Q2\",\"JCRName\":\"CLINICAL NEUROLOGY\",\"Score\":null,\"Total\":0}","platform":"Semanticscholar","paperid":null,"PeriodicalName":"Journal of Neurogastroenterology and Motility","FirstCategoryId":"3","ListUrlMain":"https://doi.org/10.5056/jnm23084","RegionNum":3,"RegionCategory":"医学","ArticlePicture":[],"TitleCN":null,"AbstractTextCN":null,"PMCID":null,"EPubDate":"2023/9/27 0:00:00","PubModel":"Epub","JCR":"Q2","JCRName":"CLINICAL NEUROLOGY","Score":null,"Total":0}
引用次数: 0

摘要

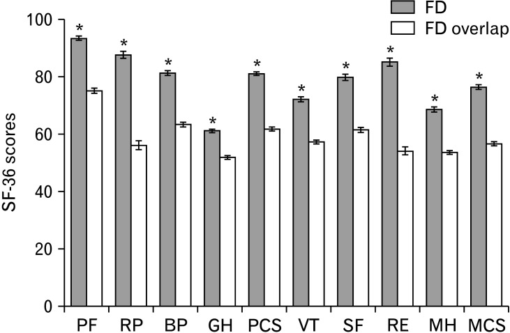
背景/目的:功能性消化不良(FD)与其他胃肠道疾病重叠非常常见。中国人群FD重叠的特征与最新的罗马IV标准尚不清楚。这项基于门诊的大规模研究评估了中国南方FD重叠的特征。方法:连续访问中国杭州2个三级医疗中心的胃肠病诊所的FD患者符合罗马IV标准。收集了与胃肠道症状(罗马IV标准)、反流性疾病问卷、焦虑和抑郁、睡眠和生活质量以及人口统计信息相关的完整问卷。结果:在3281例FD患者中,50.69%与胃食管反流病重叠,21.46%与肠易激综合征重叠,6.03%与功能性便秘重叠。FD重叠组的单身/离婚/丧偶率、高教育水平、有工作、酗酒、夜班、不健康饮食习惯的比例高于单纯FD(P<0.05)。他们有更高的咨询频率和经济负担,生活质量得分较低(P<0.001)。多因素logistic回归显示,年龄、女性、低体重指数,肠胃炎、焦虑、抑郁和睡眠质量差是FD重叠的独立危险因素。结论:FD重叠在经济负担高、生活质量差的中国非常常见,有肠胃炎、焦虑、抑郁和睡眠质量差病史的FD患者更容易出现重叠障碍。对重叠条件下的身体和心理压力源的认识将有助于优化临床实践中FD重叠的管理。
本文章由计算机程序翻译,如有差异,请以英文原文为准。

Characteristics and Risk Factors of Functional Dyspepsia Fulfilling the Rome IV Criteria Overlapping With Gastroesophageal Reflux Disease, Irritable Bowel Syndrome, and Functional Constipation in South China.

Characteristics and Risk Factors of Functional Dyspepsia Fulfilling the Rome IV Criteria Overlapping With Gastroesophageal Reflux Disease, Irritable Bowel Syndrome, and Functional Constipation in South China.

Characteristics and Risk Factors of Functional Dyspepsia Fulfilling the Rome IV Criteria Overlapping With Gastroesophageal Reflux Disease, Irritable Bowel Syndrome, and Functional Constipation in South China.

Background/aims: Functional dyspepsia (FD) overlapping with other gastrointestinal disorders are quite common. The characteristics of FD overlap in Chinese population with latest Rome IV criteria were unclear. This large-scale outpatient-based study assessed the characteristics of FD overlap in South China.

Methods: Consecutive FD patients visited the Gastroenterology Clinic at 2 tertiary medical centers in Hangzhou, China who fulfilled the Rome IV criteria were enrolled. Complete questionnaires related to the gastrointestinal symptoms (Rome IV criteria), Reflux Disease Questionnaire, anxiety and depression, quality of sleep and life, and demographic information were collected.

Results: Among the total of 3281 FD patients, 50.69% overlapped with gastroesophageal reflux disease, 21.46% overlapped with irritable bowel syndrome, 6.03% overlapped with functional constipation. FD overlap had higher proportion of single/divorced/widowed rate, high education level, being employed, drinking, night shift, unhealthy dietary habit than FD only (P < 0.05). They had higher frequency of consultation and economic burden, as well as lower scores in quality of life (P < 0.001). Multivariate logistic regression showed that increasing age, female, low body mass index, history of gastroenteritis, anxiety, depression, and poor sleep quality were independent risk factors for FD overlap.

Conclusions: FD overlap was quite common in China with high economic burden and poor quality of life, FD patients with history of gastroenteritis, anxiety, depression, and poor sleep quality were more likely to have overlap disorders. Awareness of the physical and psychosocial stressors in overlapping condition would help optimize the management of FD overlap in clinical practice.

求助全文
通过发布文献求助,成功后即可免费获取论文全文。 去求助
来源期刊
Journal of Neurogastroenterology and Motility
Journal of Neurogastroenterology and Motility GASTROENTEROLOGY & HEPATOLOGY-CLINICAL NEUROLOGY
CiteScore
6.30
自引率
8.80%
发文量
96
期刊介绍: Journal of Neurogastroenterology and Motility (J Neurogastroenterol Motil) is a joint official journal of the Korean Society of Neurogastroenterology and Motility, the Thai Neurogastroenterology and Motility Society, the Japanese Society of Neurogastroenterology and Motility, the Indian Motility and Functional Disease Association, the Chinese Society of Gastrointestinal Motility, the South East Asia Gastro-Neuro Motility Association, the Taiwan Neurogastroenterology and Motility Society and the Asian Neurogastroenterology and Motility Association, launched in January 2010 after the title change from the Korean Journal of Neurogastroenterology and Motility, published from 1994 to 2009.
×
引用
GB/T 7714-2015
复制
MLA
复制
APA
复制
导出至
BibTeX EndNote RefMan NoteFirst NoteExpress
×
提示
您的信息不完整,为了账户安全,请先补充。
现在去补充
×
提示
您因"违规操作"
具体请查看互助需知
我知道了
×
提示
确定
请完成安全验证×
copy
已复制链接
快去分享给好友吧!
我知道了
右上角分享
点击右上角分享
0
联系我们:info@booksci.cn Book学术提供免费学术资源搜索服务,方便国内外学者检索中英文文献。致力于提供最便捷和优质的服务体验。 Copyright © 2023 布克学术 All rights reserved.
京ICP备2023020795号-1
ghs 京公网安备 11010802042870号
Book学术文献互助
Book学术文献互助群
群 号:604180095
Book学术官方微信