牛甲膜作为毛癣菌感染的甲真菌病体外模型的疗效研究。

Marta Elisabetta Eleonora Temporiti, Marta Guerini, Rebecca Michela Baiguera, Simone Buratti, Anthea Desiderio, Lorenzo Goppa, Paola Perugini, Elena Savino
{"title":"牛甲膜作为毛癣菌感染的甲真菌病体外模型的疗效研究。","authors":"Marta Elisabetta Eleonora Temporiti,&nbsp;Marta Guerini,&nbsp;Rebecca Michela Baiguera,&nbsp;Simone Buratti,&nbsp;Anthea Desiderio,&nbsp;Lorenzo Goppa,&nbsp;Paola Perugini,&nbsp;Elena Savino","doi":"10.3390/jof8111133","DOIUrl":null,"url":null,"abstract":"<p><p>Onychomycosis is a fungal infection caused by different etiologic agents, including dermatophytes that specifically colonize keratin-rich substrates. The aim of this work was to investigate mechanical modifications of bovine membranes (used as an in vitro nail model) placed in contact with <i>Trichophyton</i> species. <i>Trichophyton</i> strains were isolated from toenails specimens. The procedure was set up by spreading <i>T. rubrum,</i><i>T. interdigitale,</i> and <i>T. mentagrophytes</i> strains on Petri dishes with minimal and rich media; after that, bovine membranes were placed in the center. After 27 days, <i>T. interdigitale</i> and <i>T. mentagrophytes</i> significantly reduced the thickness of the colonized membranes, whereas two <i>T. rubrum</i> strains showed the highest degradation limited to the small colonized area. These results were confirmed by SEM images of the colonization profile on membranes. Mechanical analyses performed on membranes were used as an innovative method to evaluate the thickness and structural integrity of membranes variation following fungal colonization. In conclusion, mechanical analyses of substrate may be used as a procedure for the development of a new onychomycosis diagnosis test in order to develop personalized and strain-specific treatment.</p>","PeriodicalId":520671,"journal":{"name":"Journal of fungi (Basel, Switzerland)","volume":" ","pages":""},"PeriodicalIF":0.0000,"publicationDate":"2022-10-27","publicationTypes":"Journal Article","fieldsOfStudy":null,"isOpenAccess":false,"openAccessPdf":"https://www.ncbi.nlm.nih.gov/pmc/articles/PMC9695884/pdf/","citationCount":"0","resultStr":"{\"title\":\"Efficacy of Bovine Nail Membranes as In Vitro Model for Onychomycosis Infected by <i>Trichophyton</i> Species.\",\"authors\":\"Marta Elisabetta Eleonora Temporiti,&nbsp;Marta Guerini,&nbsp;Rebecca Michela Baiguera,&nbsp;Simone Buratti,&nbsp;Anthea Desiderio,&nbsp;Lorenzo Goppa,&nbsp;Paola Perugini,&nbsp;Elena Savino\",\"doi\":\"10.3390/jof8111133\",\"DOIUrl\":null,\"url\":null,\"abstract\":\"<p><p>Onychomycosis is a fungal infection caused by different etiologic agents, including dermatophytes that specifically colonize keratin-rich substrates. The aim of this work was to investigate mechanical modifications of bovine membranes (used as an in vitro nail model) placed in contact with <i>Trichophyton</i> species. <i>Trichophyton</i> strains were isolated from toenails specimens. The procedure was set up by spreading <i>T. rubrum,</i><i>T. interdigitale,</i> and <i>T. mentagrophytes</i> strains on Petri dishes with minimal and rich media; after that, bovine membranes were placed in the center. After 27 days, <i>T. interdigitale</i> and <i>T. mentagrophytes</i> significantly reduced the thickness of the colonized membranes, whereas two <i>T. rubrum</i> strains showed the highest degradation limited to the small colonized area. These results were confirmed by SEM images of the colonization profile on membranes. Mechanical analyses performed on membranes were used as an innovative method to evaluate the thickness and structural integrity of membranes variation following fungal colonization. In conclusion, mechanical analyses of substrate may be used as a procedure for the development of a new onychomycosis diagnosis test in order to develop personalized and strain-specific treatment.</p>\",\"PeriodicalId\":520671,\"journal\":{\"name\":\"Journal of fungi (Basel, Switzerland)\",\"volume\":\" \",\"pages\":\"\"},\"PeriodicalIF\":0.0000,\"publicationDate\":\"2022-10-27\",\"publicationTypes\":\"Journal Article\",\"fieldsOfStudy\":null,\"isOpenAccess\":false,\"openAccessPdf\":\"https://www.ncbi.nlm.nih.gov/pmc/articles/PMC9695884/pdf/\",\"citationCount\":\"0\",\"resultStr\":null,\"platform\":\"Semanticscholar\",\"paperid\":null,\"PeriodicalName\":\"Journal of fungi (Basel, Switzerland)\",\"FirstCategoryId\":\"99\",\"ListUrlMain\":\"https://doi.org/10.3390/jof8111133\",\"RegionNum\":0,\"RegionCategory\":null,\"ArticlePicture\":[],\"TitleCN\":null,\"AbstractTextCN\":null,\"PMCID\":null,\"EPubDate\":\"\",\"PubModel\":\"\",\"JCR\":\"\",\"JCRName\":\"\",\"Score\":null,\"Total\":0}","platform":"Semanticscholar","paperid":null,"PeriodicalName":"Journal of fungi (Basel, Switzerland)","FirstCategoryId":"99","ListUrlMain":"https://doi.org/10.3390/jof8111133","RegionNum":0,"RegionCategory":null,"ArticlePicture":[],"TitleCN":null,"AbstractTextCN":null,"PMCID":null,"EPubDate":"","PubModel":"","JCR":"","JCRName":"","Score":null,"Total":0}
引用次数: 0

摘要

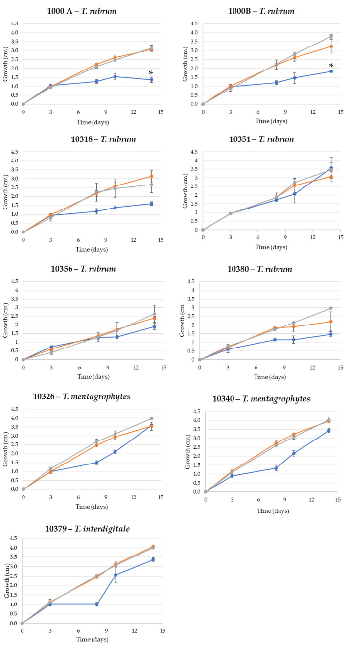
甲真菌病是一种由不同病原引起的真菌感染,包括专门定植富含角蛋白底物的皮肤真菌。这项工作的目的是研究与毛癣菌接触的牛膜(用作体外指甲模型)的机械修饰。从脚趾甲标本中分离到毛癣菌。这一过程是通过传播红毛霉,红毛霉。在培养皿中使用少量和丰富的培养基;然后,将牛膜置于中心。27 d后,间指T. interdigitale和mentagrophytes显著降低了定植膜的厚度,而2个红绒T. rubrum菌株在较小的定植区域内降解程度最高。这些结果被膜上定植轮廓的SEM图像证实。对膜进行力学分析是一种创新的方法,用于评估真菌定植后膜的厚度和结构完整性变化。总之,底物的力学分析可以作为开发新的甲癣诊断试验的一个步骤,以便开发个性化和菌株特异性治疗。
本文章由计算机程序翻译,如有差异,请以英文原文为准。

Efficacy of Bovine Nail Membranes as In Vitro Model for Onychomycosis Infected by <i>Trichophyton</i> Species.

Efficacy of Bovine Nail Membranes as In Vitro Model for Onychomycosis Infected by <i>Trichophyton</i> Species.

Efficacy of Bovine Nail Membranes as In Vitro Model for Onychomycosis Infected by <i>Trichophyton</i> Species.

Efficacy of Bovine Nail Membranes as In Vitro Model for Onychomycosis Infected by Trichophyton Species.

Onychomycosis is a fungal infection caused by different etiologic agents, including dermatophytes that specifically colonize keratin-rich substrates. The aim of this work was to investigate mechanical modifications of bovine membranes (used as an in vitro nail model) placed in contact with Trichophyton species. Trichophyton strains were isolated from toenails specimens. The procedure was set up by spreading T. rubrum,T. interdigitale, and T. mentagrophytes strains on Petri dishes with minimal and rich media; after that, bovine membranes were placed in the center. After 27 days, T. interdigitale and T. mentagrophytes significantly reduced the thickness of the colonized membranes, whereas two T. rubrum strains showed the highest degradation limited to the small colonized area. These results were confirmed by SEM images of the colonization profile on membranes. Mechanical analyses performed on membranes were used as an innovative method to evaluate the thickness and structural integrity of membranes variation following fungal colonization. In conclusion, mechanical analyses of substrate may be used as a procedure for the development of a new onychomycosis diagnosis test in order to develop personalized and strain-specific treatment.

求助全文
通过发布文献求助,成功后即可免费获取论文全文。 去求助
来源期刊
自引率
0.00%
发文量
0
×
引用
GB/T 7714-2015
复制
MLA
复制
APA
复制
导出至
BibTeX EndNote RefMan NoteFirst NoteExpress
×
提示
您的信息不完整,为了账户安全,请先补充。
现在去补充
×
提示
您因"违规操作"
具体请查看互助需知
我知道了
×
提示
确定
请完成安全验证×
copy
已复制链接
快去分享给好友吧!
我知道了
右上角分享
点击右上角分享
0
联系我们:info@booksci.cn Book学术提供免费学术资源搜索服务,方便国内外学者检索中英文文献。致力于提供最便捷和优质的服务体验。 Copyright © 2023 布克学术 All rights reserved.
京ICP备2023020795号-1
ghs 京公网安备 11010802042870号
Book学术文献互助
Book学术文献互助群
群 号:604180095
Book学术官方微信