尿囊酸氨基水解酶(AtAAH)在拟南芥种子萌发中的作用。

Farzaneh Yazdanpanah, Leo A J Willems, Hanzi He, Henk W M Hilhorst, Leónie Bentsink
{"title":"尿囊酸氨基水解酶(AtAAH)在拟南芥种子萌发中的作用。","authors":"Farzaneh Yazdanpanah,&nbsp;Leo A J Willems,&nbsp;Hanzi He,&nbsp;Henk W M Hilhorst,&nbsp;Leónie Bentsink","doi":"10.1093/pcp/pcac103","DOIUrl":null,"url":null,"abstract":"<p><p>Seed dormancy is a very complex trait controlled by interactions between genetic and environmental factors. Nitrate is inversely correlated with seed dormancy in Arabidopsis. This is explained by the fact that seed dry storage (after-ripening) reduces the need for nitrogen for germination. When nitrate is absorbed by plants, it is first reduced to nitrite and then to ammonium for incorporation into amino acids, nucleic acids and chlorophyll. Previously, we showed that ALLANTOATE AMIDOHYDROLASE (AtAAH) transcripts are up-regulated in imbibed dormant seeds compared with after-ripened seeds. AAH is an enzyme in the uric acid catabolic pathway which catalyzes the hydrolysis of allantoate to yield CO2, NH3 and S-ureidoglycine. This pathway is the final stage of purine catabolism, and functions in plants and some bacteria to provide nitrogen, particularly when other nitrogen sources are depleted. Ataah mutant seeds are more dormant and accumulate high levels of allantoate, allantoin and urea, whereas energy-related metabolites and several amino acids are lower upon seed imbibition in comparison with Columbia-0. AtAAH expression could be detected during the early stages of seed development, with a transient increase around 8 d after pollination. AtAAH expression is the highest in mature pollen. The application of exogenous potassium nitrate can partly complement the higher dormancy phenotype of the Ataah mutant seeds, whereas other nitrogen sources cannot. Our results indicate that potassium nitrate does not specifically overcome the alleviated dormancy levels in Ataah mutant seeds, but promotes germination in general. Possible pathways by which AtAAH affects seed germination are discussed.</p>","PeriodicalId":502140,"journal":{"name":"Plant & Cell Physiology","volume":" ","pages":"1298-1308"},"PeriodicalIF":0.0000,"publicationDate":"2022-09-15","publicationTypes":"Journal Article","fieldsOfStudy":null,"isOpenAccess":false,"openAccessPdf":"https://www.ncbi.nlm.nih.gov/pmc/articles/PMC9474941/pdf/","citationCount":"0","resultStr":"{\"title\":\"A Role for Allantoate Amidohydrolase (AtAAH) in the Germination of Arabidopsis thaliana Seeds.\",\"authors\":\"Farzaneh Yazdanpanah,&nbsp;Leo A J Willems,&nbsp;Hanzi He,&nbsp;Henk W M Hilhorst,&nbsp;Leónie Bentsink\",\"doi\":\"10.1093/pcp/pcac103\",\"DOIUrl\":null,\"url\":null,\"abstract\":\"<p><p>Seed dormancy is a very complex trait controlled by interactions between genetic and environmental factors. Nitrate is inversely correlated with seed dormancy in Arabidopsis. This is explained by the fact that seed dry storage (after-ripening) reduces the need for nitrogen for germination. When nitrate is absorbed by plants, it is first reduced to nitrite and then to ammonium for incorporation into amino acids, nucleic acids and chlorophyll. Previously, we showed that ALLANTOATE AMIDOHYDROLASE (AtAAH) transcripts are up-regulated in imbibed dormant seeds compared with after-ripened seeds. AAH is an enzyme in the uric acid catabolic pathway which catalyzes the hydrolysis of allantoate to yield CO2, NH3 and S-ureidoglycine. This pathway is the final stage of purine catabolism, and functions in plants and some bacteria to provide nitrogen, particularly when other nitrogen sources are depleted. Ataah mutant seeds are more dormant and accumulate high levels of allantoate, allantoin and urea, whereas energy-related metabolites and several amino acids are lower upon seed imbibition in comparison with Columbia-0. AtAAH expression could be detected during the early stages of seed development, with a transient increase around 8 d after pollination. AtAAH expression is the highest in mature pollen. The application of exogenous potassium nitrate can partly complement the higher dormancy phenotype of the Ataah mutant seeds, whereas other nitrogen sources cannot. Our results indicate that potassium nitrate does not specifically overcome the alleviated dormancy levels in Ataah mutant seeds, but promotes germination in general. Possible pathways by which AtAAH affects seed germination are discussed.</p>\",\"PeriodicalId\":502140,\"journal\":{\"name\":\"Plant & Cell Physiology\",\"volume\":\" \",\"pages\":\"1298-1308\"},\"PeriodicalIF\":0.0000,\"publicationDate\":\"2022-09-15\",\"publicationTypes\":\"Journal Article\",\"fieldsOfStudy\":null,\"isOpenAccess\":false,\"openAccessPdf\":\"https://www.ncbi.nlm.nih.gov/pmc/articles/PMC9474941/pdf/\",\"citationCount\":\"0\",\"resultStr\":null,\"platform\":\"Semanticscholar\",\"paperid\":null,\"PeriodicalName\":\"Plant & Cell Physiology\",\"FirstCategoryId\":\"99\",\"ListUrlMain\":\"https://doi.org/10.1093/pcp/pcac103\",\"RegionNum\":0,\"RegionCategory\":null,\"ArticlePicture\":[],\"TitleCN\":null,\"AbstractTextCN\":null,\"PMCID\":null,\"EPubDate\":\"\",\"PubModel\":\"\",\"JCR\":\"\",\"JCRName\":\"\",\"Score\":null,\"Total\":0}","platform":"Semanticscholar","paperid":null,"PeriodicalName":"Plant & Cell Physiology","FirstCategoryId":"99","ListUrlMain":"https://doi.org/10.1093/pcp/pcac103","RegionNum":0,"RegionCategory":null,"ArticlePicture":[],"TitleCN":null,"AbstractTextCN":null,"PMCID":null,"EPubDate":"","PubModel":"","JCR":"","JCRName":"","Score":null,"Total":0}
引用次数: 0

摘要

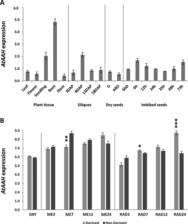
种子休眠是一个非常复杂的性状,受遗传和环境因素的相互作用控制。硝酸盐与拟南芥种子休眠呈负相关。这可以解释为种子干燥储存(成熟后)减少了萌发对氮的需求。硝酸盐被植物吸收后,首先被还原为亚硝酸盐,然后再被还原为铵,并与氨基酸、核酸和叶绿素结合。在此之前,我们发现在吸收的休眠种子中,与成熟后的种子相比,尿囊酸氨基水解酶(AtAAH)转录本上调。AAH是尿酸分解代谢途径中的一种酶,它催化尿囊酸水解生成CO2、NH3和s -尿苷甘氨酸。这一途径是嘌呤分解代谢的最后阶段,在植物和一些细菌中起着提供氮的作用,特别是当其他氮源耗尽时。与哥伦比亚-0相比,Ataah突变体种子更休眠,积累了大量的尿囊酸盐、尿囊素和尿素,而与能量相关的代谢物和几种氨基酸在种子吸胀时较低。AtAAH在种子发育早期表达,在授粉后8 d左右短暂增加。成熟花粉中AtAAH表达量最高。施用外源硝酸钾可以部分补充Ataah突变体种子的高休眠表型,而其他氮源则不能。我们的研究结果表明,硝酸钾并没有特异性地克服Ataah突变体种子的休眠水平,但总体上促进了发芽。讨论了AtAAH影响种子萌发的可能途径。
本文章由计算机程序翻译,如有差异,请以英文原文为准。

A Role for Allantoate Amidohydrolase (AtAAH) in the Germination of Arabidopsis thaliana Seeds.

A Role for Allantoate Amidohydrolase (AtAAH) in the Germination of Arabidopsis thaliana Seeds.

A Role for Allantoate Amidohydrolase (AtAAH) in the Germination of Arabidopsis thaliana Seeds.

A Role for Allantoate Amidohydrolase (AtAAH) in the Germination of Arabidopsis thaliana Seeds.

Seed dormancy is a very complex trait controlled by interactions between genetic and environmental factors. Nitrate is inversely correlated with seed dormancy in Arabidopsis. This is explained by the fact that seed dry storage (after-ripening) reduces the need for nitrogen for germination. When nitrate is absorbed by plants, it is first reduced to nitrite and then to ammonium for incorporation into amino acids, nucleic acids and chlorophyll. Previously, we showed that ALLANTOATE AMIDOHYDROLASE (AtAAH) transcripts are up-regulated in imbibed dormant seeds compared with after-ripened seeds. AAH is an enzyme in the uric acid catabolic pathway which catalyzes the hydrolysis of allantoate to yield CO2, NH3 and S-ureidoglycine. This pathway is the final stage of purine catabolism, and functions in plants and some bacteria to provide nitrogen, particularly when other nitrogen sources are depleted. Ataah mutant seeds are more dormant and accumulate high levels of allantoate, allantoin and urea, whereas energy-related metabolites and several amino acids are lower upon seed imbibition in comparison with Columbia-0. AtAAH expression could be detected during the early stages of seed development, with a transient increase around 8 d after pollination. AtAAH expression is the highest in mature pollen. The application of exogenous potassium nitrate can partly complement the higher dormancy phenotype of the Ataah mutant seeds, whereas other nitrogen sources cannot. Our results indicate that potassium nitrate does not specifically overcome the alleviated dormancy levels in Ataah mutant seeds, but promotes germination in general. Possible pathways by which AtAAH affects seed germination are discussed.

求助全文
通过发布文献求助,成功后即可免费获取论文全文。 去求助
来源期刊
自引率
0.00%
发文量
0
×
引用
GB/T 7714-2015
复制
MLA
复制
APA
复制
导出至
BibTeX EndNote RefMan NoteFirst NoteExpress
×
提示
您的信息不完整,为了账户安全,请先补充。
现在去补充
×
提示
您因"违规操作"
具体请查看互助需知
我知道了
×
提示
确定
请完成安全验证×
copy
已复制链接
快去分享给好友吧!
我知道了
右上角分享
点击右上角分享
0
联系我们:info@booksci.cn Book学术提供免费学术资源搜索服务,方便国内外学者检索中英文文献。致力于提供最便捷和优质的服务体验。 Copyright © 2023 布克学术 All rights reserved.
京ICP备2023020795号-1
ghs 京公网安备 11010802042870号
Book学术文献互助
Book学术文献互助群
群 号:604180095
Book学术官方微信