抗生素前治疗后长期重复粪便微生物群移植改善肠易激综合征患者的症状和生活质量:一项观察性澳大利亚临床经验

IF 1.4 4区 医学 Q3 GASTROENTEROLOGY & HEPATOLOGY
Gastroenterology Research and Practice Pub Date : 2022-10-13 eCollection Date: 2022-01-01 DOI:10.1155/2022/6083896
Harrison Hamblin, Anoja W Gunaratne, Annabel Clancy, Denise Pilarinos, Antoinette LeBusque, Marie Vic M Dawson, Thomas J Borody
{"title":"抗生素前治疗后长期重复粪便微生物群移植改善肠易激综合征患者的症状和生活质量:一项观察性澳大利亚临床经验","authors":"Harrison Hamblin,&nbsp;Anoja W Gunaratne,&nbsp;Annabel Clancy,&nbsp;Denise Pilarinos,&nbsp;Antoinette LeBusque,&nbsp;Marie Vic M Dawson,&nbsp;Thomas J Borody","doi":"10.1155/2022/6083896","DOIUrl":null,"url":null,"abstract":"<p><strong>Background: </strong>The use of faecal microbiota transplantation (FMT) in irritable bowel syndrome (IBS) has frequently failed to induce long-term symptomatic improvement. The use of multiple FMT infusions is one proposed mechanism through which the efficacy of FMT can be amplified.</p><p><strong>Aims: </strong>To evaluate the safety and efficacy of a novel six-month FMT treatment protocol in IBS.</p><p><strong>Methods: </strong>Patients diagnosed with IBS confirmed by Rome IV Criteria were recruited for single-centre, single-arm, prospective clinical observational study. Participants received one colonoscopically delivered FMT followed by 36 rectal enemas across a six-month period. Validated abdominal symptoms and Short-Form (SF-36) Quality of Life (QOL) questionnaires were collected at baseline, week-12, week-24, and week-56, respectively. Wilcoxon matched-pairs signed-rank tests were conducted to compare differences in abdominal symptom and SF-36 QOL scores over the follow-up timepoints. Statistical significance was set at 5%.</p><p><strong>Results: </strong>Sixty participants diagnosed with IBS [IBS-constipation (<i>n</i> = 27), IBS-diarrhoea (<i>n</i> = 18), and IBS-mixed (<i>n</i> = 15)] received the six-month FMT treatment. IBS symptom severity reduction was achieved in up to 61% of respondents at week-12, 64% of respondents at week-24, and maintained in up to 75% of respondents at week-52. Long-term reduction in symptom severity was associated with an increase in QOL, achieved in up to 64% of respondents at week-52 when compared to baseline. Adverse events were experienced in 28% of participants, though they were both transient and mild in nature.</p><p><strong>Conclusions: </strong>Six-month sustained FMT appears to be both safe and effective in the short- and long-term alleviation of IBS associated symptoms as well as improving participant QOL.</p>","PeriodicalId":12597,"journal":{"name":"Gastroenterology Research and Practice","volume":" ","pages":"6083896"},"PeriodicalIF":1.4000,"publicationDate":"2022-10-13","publicationTypes":"Journal Article","fieldsOfStudy":null,"isOpenAccess":false,"openAccessPdf":"https://www.ncbi.nlm.nih.gov/pmc/articles/PMC9584708/pdf/","citationCount":"1","resultStr":"{\"title\":\"Pre-Antibiotic Treatment Followed by Prolonged Repeated Faecal Microbiota Transplantation Improves Symptoms and Quality of Life in Patients with Irritable Bowel Syndrome: An Observational Australian Clinical Experience.\",\"authors\":\"Harrison Hamblin,&nbsp;Anoja W Gunaratne,&nbsp;Annabel Clancy,&nbsp;Denise Pilarinos,&nbsp;Antoinette LeBusque,&nbsp;Marie Vic M Dawson,&nbsp;Thomas J Borody\",\"doi\":\"10.1155/2022/6083896\",\"DOIUrl\":null,\"url\":null,\"abstract\":\"<p><strong>Background: </strong>The use of faecal microbiota transplantation (FMT) in irritable bowel syndrome (IBS) has frequently failed to induce long-term symptomatic improvement. The use of multiple FMT infusions is one proposed mechanism through which the efficacy of FMT can be amplified.</p><p><strong>Aims: </strong>To evaluate the safety and efficacy of a novel six-month FMT treatment protocol in IBS.</p><p><strong>Methods: </strong>Patients diagnosed with IBS confirmed by Rome IV Criteria were recruited for single-centre, single-arm, prospective clinical observational study. Participants received one colonoscopically delivered FMT followed by 36 rectal enemas across a six-month period. Validated abdominal symptoms and Short-Form (SF-36) Quality of Life (QOL) questionnaires were collected at baseline, week-12, week-24, and week-56, respectively. Wilcoxon matched-pairs signed-rank tests were conducted to compare differences in abdominal symptom and SF-36 QOL scores over the follow-up timepoints. Statistical significance was set at 5%.</p><p><strong>Results: </strong>Sixty participants diagnosed with IBS [IBS-constipation (<i>n</i> = 27), IBS-diarrhoea (<i>n</i> = 18), and IBS-mixed (<i>n</i> = 15)] received the six-month FMT treatment. IBS symptom severity reduction was achieved in up to 61% of respondents at week-12, 64% of respondents at week-24, and maintained in up to 75% of respondents at week-52. Long-term reduction in symptom severity was associated with an increase in QOL, achieved in up to 64% of respondents at week-52 when compared to baseline. Adverse events were experienced in 28% of participants, though they were both transient and mild in nature.</p><p><strong>Conclusions: </strong>Six-month sustained FMT appears to be both safe and effective in the short- and long-term alleviation of IBS associated symptoms as well as improving participant QOL.</p>\",\"PeriodicalId\":12597,\"journal\":{\"name\":\"Gastroenterology Research and Practice\",\"volume\":\" \",\"pages\":\"6083896\"},\"PeriodicalIF\":1.4000,\"publicationDate\":\"2022-10-13\",\"publicationTypes\":\"Journal Article\",\"fieldsOfStudy\":null,\"isOpenAccess\":false,\"openAccessPdf\":\"https://www.ncbi.nlm.nih.gov/pmc/articles/PMC9584708/pdf/\",\"citationCount\":\"1\",\"resultStr\":null,\"platform\":\"Semanticscholar\",\"paperid\":null,\"PeriodicalName\":\"Gastroenterology Research and Practice\",\"FirstCategoryId\":\"3\",\"ListUrlMain\":\"https://doi.org/10.1155/2022/6083896\",\"RegionNum\":4,\"RegionCategory\":\"医学\",\"ArticlePicture\":[],\"TitleCN\":null,\"AbstractTextCN\":null,\"PMCID\":null,\"EPubDate\":\"2022/1/1 0:00:00\",\"PubModel\":\"eCollection\",\"JCR\":\"Q3\",\"JCRName\":\"GASTROENTEROLOGY & HEPATOLOGY\",\"Score\":null,\"Total\":0}","platform":"Semanticscholar","paperid":null,"PeriodicalName":"Gastroenterology Research and Practice","FirstCategoryId":"3","ListUrlMain":"https://doi.org/10.1155/2022/6083896","RegionNum":4,"RegionCategory":"医学","ArticlePicture":[],"TitleCN":null,"AbstractTextCN":null,"PMCID":null,"EPubDate":"2022/1/1 0:00:00","PubModel":"eCollection","JCR":"Q3","JCRName":"GASTROENTEROLOGY & HEPATOLOGY","Score":null,"Total":0}
引用次数: 1

摘要

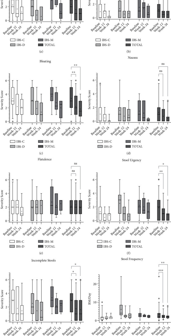
背景:在肠易激综合征(IBS)中使用粪便微生物群移植(FMT)经常不能诱导长期症状改善。使用多次FMT输注是一种被提出的机制,通过这种机制,FMT的功效可以被放大。目的:评估一种新的六个月FMT治疗方案在IBS中的安全性和有效性。方法:招募符合Rome IV标准诊断为IBS的患者进行单中心、单臂、前瞻性临床观察研究。参与者在六个月内接受了一次结肠镜下的FMT,随后进行了36次直肠灌肠。分别在基线、第12周、第24周和第56周收集经验证的腹部症状和SF-36生活质量(QOL)问卷。采用Wilcoxon配对符号秩检验比较随访时间点腹部症状和SF-36生活质量评分的差异。统计学意义设为5%。结果:60名被诊断为IBS的参与者[IBS-便秘(n = 27), IBS-腹泻(n = 18)和IBS-混合型(n = 15)]接受了为期6个月的FMT治疗。在第12周时,多达61%的受访者实现了IBS症状严重程度的减轻,在第24周时为64%,在第52周时维持在75%。与基线相比,症状严重程度的长期减轻与生活质量的增加相关,在第52周时,高达64%的受访者实现了这一目标。28%的参与者经历了不良事件,尽管它们都是短暂的和轻微的。结论:在短期和长期缓解IBS相关症状以及改善参与者的生活质量方面,持续6个月的FMT似乎是安全有效的。
本文章由计算机程序翻译,如有差异,请以英文原文为准。

Pre-Antibiotic Treatment Followed by Prolonged Repeated Faecal Microbiota Transplantation Improves Symptoms and Quality of Life in Patients with Irritable Bowel Syndrome: An Observational Australian Clinical Experience.

Pre-Antibiotic Treatment Followed by Prolonged Repeated Faecal Microbiota Transplantation Improves Symptoms and Quality of Life in Patients with Irritable Bowel Syndrome: An Observational Australian Clinical Experience.

Pre-Antibiotic Treatment Followed by Prolonged Repeated Faecal Microbiota Transplantation Improves Symptoms and Quality of Life in Patients with Irritable Bowel Syndrome: An Observational Australian Clinical Experience.

Pre-Antibiotic Treatment Followed by Prolonged Repeated Faecal Microbiota Transplantation Improves Symptoms and Quality of Life in Patients with Irritable Bowel Syndrome: An Observational Australian Clinical Experience.

Background: The use of faecal microbiota transplantation (FMT) in irritable bowel syndrome (IBS) has frequently failed to induce long-term symptomatic improvement. The use of multiple FMT infusions is one proposed mechanism through which the efficacy of FMT can be amplified.

Aims: To evaluate the safety and efficacy of a novel six-month FMT treatment protocol in IBS.

Methods: Patients diagnosed with IBS confirmed by Rome IV Criteria were recruited for single-centre, single-arm, prospective clinical observational study. Participants received one colonoscopically delivered FMT followed by 36 rectal enemas across a six-month period. Validated abdominal symptoms and Short-Form (SF-36) Quality of Life (QOL) questionnaires were collected at baseline, week-12, week-24, and week-56, respectively. Wilcoxon matched-pairs signed-rank tests were conducted to compare differences in abdominal symptom and SF-36 QOL scores over the follow-up timepoints. Statistical significance was set at 5%.

Results: Sixty participants diagnosed with IBS [IBS-constipation (n = 27), IBS-diarrhoea (n = 18), and IBS-mixed (n = 15)] received the six-month FMT treatment. IBS symptom severity reduction was achieved in up to 61% of respondents at week-12, 64% of respondents at week-24, and maintained in up to 75% of respondents at week-52. Long-term reduction in symptom severity was associated with an increase in QOL, achieved in up to 64% of respondents at week-52 when compared to baseline. Adverse events were experienced in 28% of participants, though they were both transient and mild in nature.

Conclusions: Six-month sustained FMT appears to be both safe and effective in the short- and long-term alleviation of IBS associated symptoms as well as improving participant QOL.

求助全文
通过发布文献求助,成功后即可免费获取论文全文。 去求助
来源期刊
Gastroenterology Research and Practice
Gastroenterology Research and Practice GASTROENTEROLOGY & HEPATOLOGY-
CiteScore
4.40
自引率
0.00%
发文量
91
审稿时长
1 months
期刊介绍: Gastroenterology Research and Practice is a peer-reviewed, Open Access journal which publishes original research articles, review articles and clinical studies based on all areas of gastroenterology, hepatology, pancreas and biliary, and related cancers. The journal welcomes submissions on the physiology, pathophysiology, etiology, diagnosis and therapy of gastrointestinal diseases. The aim of the journal is to provide cutting edge research related to the field of gastroenterology, as well as digestive diseases and disorders. Topics of interest include: Management of pancreatic diseases Third space endoscopy Endoscopic resection Therapeutic endoscopy Therapeutic endosonography.
×
引用
GB/T 7714-2015
复制
MLA
复制
APA
复制
导出至
BibTeX EndNote RefMan NoteFirst NoteExpress
×
提示
您的信息不完整,为了账户安全,请先补充。
现在去补充
×
提示
您因"违规操作"
具体请查看互助需知
我知道了
×
提示
确定
请完成安全验证×
copy
已复制链接
快去分享给好友吧!
我知道了
右上角分享
点击右上角分享
0
联系我们:info@booksci.cn Book学术提供免费学术资源搜索服务,方便国内外学者检索中英文文献。致力于提供最便捷和优质的服务体验。 Copyright © 2023 布克学术 All rights reserved.
京ICP备2023020795号-1
ghs 京公网安备 11010802042870号
Book学术文献互助
Book学术文献互助群
群 号:604180095
Book学术官方微信