碘化钾、曲安奈德、二甲基亚砜和乙醇抗碘化钾中毒活性的体外敏感性试验选择

Hanna Yolanda, Tassanee Lohnoo, Thidarat Rujirawat, Wanta Yingyong, Yothin Kumsang, Pattarana Sae-Chew, Penpan Payattikul, Theerapong Krajaejun
{"title":"碘化钾、曲安奈德、二甲基亚砜和乙醇抗碘化钾中毒活性的体外敏感性试验选择","authors":"Hanna Yolanda,&nbsp;Tassanee Lohnoo,&nbsp;Thidarat Rujirawat,&nbsp;Wanta Yingyong,&nbsp;Yothin Kumsang,&nbsp;Pattarana Sae-Chew,&nbsp;Penpan Payattikul,&nbsp;Theerapong Krajaejun","doi":"10.3390/jof8111116","DOIUrl":null,"url":null,"abstract":"<p><p>The orphan but highly virulent pathogen <i>Pythium insidiosum</i> causes pythiosis in humans and animals. Surgery is a primary treatment aiming to cure but trading off losing affected organs. Antimicrobial drugs show limited efficacy in treating pythiosis. Alternative drugs effective against the pathogen are needed. In-house drug susceptibility tests (i.e., broth dilution, disc diffusion, and radial growth assays) have been established, some of which adapted the standard protocols (i.e., CLSI M38-A2 and CLSI M51) designed for fungi. Hyphal plug, hyphal suspension, and zoospore are inocula commonly used in the drug susceptibility assessment for <i>P. insidiosum</i>. A side-by-side comparison demonstrated that each method had advantages and limitations. Minimum inhibitory and cidal concentrations of a drug varied depending on the selected method. Material availability, user experience, and organism and drug quantities determined which susceptibility assay should be used. We employed the hyphal plug and a combination of broth dilution and radial growth methods to screen and validate the anti-<i>P. insidiosum</i> activities of several previously reported chemicals, including potassium iodide, triamcinolone acetonide, dimethyl sulfoxide, and ethanol, in which data on their anti-<i>P. insidiosum</i> efficacy are limited. We tested each chemical against 29 genetically diverse isolates of <i>P. insidiosum</i>. These chemicals possessed direct antimicrobial effects on the growth of the pathogen in a dose- and time-dependent manner, suggesting their potential application in pythiosis treatment. Future attempts should focus on standardizing these drug susceptibility methods, such as determining susceptibility/resistant breakpoints, so healthcare workers can confidently interpret a result and select an effective drug against <i>P. insidiosum</i>.</p>","PeriodicalId":520671,"journal":{"name":"Journal of fungi (Basel, Switzerland)","volume":" ","pages":""},"PeriodicalIF":0.0000,"publicationDate":"2022-10-24","publicationTypes":"Journal Article","fieldsOfStudy":null,"isOpenAccess":false,"openAccessPdf":"https://www.ncbi.nlm.nih.gov/pmc/articles/PMC9692648/pdf/","citationCount":"0","resultStr":"{\"title\":\"Selection of an Appropriate In Vitro Susceptibility Test for Assessing Anti-<i>Pythium insidiosum</i> Activity of Potassium Iodide, Triamcinolone Acetonide, Dimethyl Sulfoxide, and Ethanol.\",\"authors\":\"Hanna Yolanda,&nbsp;Tassanee Lohnoo,&nbsp;Thidarat Rujirawat,&nbsp;Wanta Yingyong,&nbsp;Yothin Kumsang,&nbsp;Pattarana Sae-Chew,&nbsp;Penpan Payattikul,&nbsp;Theerapong Krajaejun\",\"doi\":\"10.3390/jof8111116\",\"DOIUrl\":null,\"url\":null,\"abstract\":\"<p><p>The orphan but highly virulent pathogen <i>Pythium insidiosum</i> causes pythiosis in humans and animals. Surgery is a primary treatment aiming to cure but trading off losing affected organs. Antimicrobial drugs show limited efficacy in treating pythiosis. Alternative drugs effective against the pathogen are needed. In-house drug susceptibility tests (i.e., broth dilution, disc diffusion, and radial growth assays) have been established, some of which adapted the standard protocols (i.e., CLSI M38-A2 and CLSI M51) designed for fungi. Hyphal plug, hyphal suspension, and zoospore are inocula commonly used in the drug susceptibility assessment for <i>P. insidiosum</i>. A side-by-side comparison demonstrated that each method had advantages and limitations. Minimum inhibitory and cidal concentrations of a drug varied depending on the selected method. Material availability, user experience, and organism and drug quantities determined which susceptibility assay should be used. We employed the hyphal plug and a combination of broth dilution and radial growth methods to screen and validate the anti-<i>P. insidiosum</i> activities of several previously reported chemicals, including potassium iodide, triamcinolone acetonide, dimethyl sulfoxide, and ethanol, in which data on their anti-<i>P. insidiosum</i> efficacy are limited. We tested each chemical against 29 genetically diverse isolates of <i>P. insidiosum</i>. These chemicals possessed direct antimicrobial effects on the growth of the pathogen in a dose- and time-dependent manner, suggesting their potential application in pythiosis treatment. Future attempts should focus on standardizing these drug susceptibility methods, such as determining susceptibility/resistant breakpoints, so healthcare workers can confidently interpret a result and select an effective drug against <i>P. insidiosum</i>.</p>\",\"PeriodicalId\":520671,\"journal\":{\"name\":\"Journal of fungi (Basel, Switzerland)\",\"volume\":\" \",\"pages\":\"\"},\"PeriodicalIF\":0.0000,\"publicationDate\":\"2022-10-24\",\"publicationTypes\":\"Journal Article\",\"fieldsOfStudy\":null,\"isOpenAccess\":false,\"openAccessPdf\":\"https://www.ncbi.nlm.nih.gov/pmc/articles/PMC9692648/pdf/\",\"citationCount\":\"0\",\"resultStr\":null,\"platform\":\"Semanticscholar\",\"paperid\":null,\"PeriodicalName\":\"Journal of fungi (Basel, Switzerland)\",\"FirstCategoryId\":\"99\",\"ListUrlMain\":\"https://doi.org/10.3390/jof8111116\",\"RegionNum\":0,\"RegionCategory\":null,\"ArticlePicture\":[],\"TitleCN\":null,\"AbstractTextCN\":null,\"PMCID\":null,\"EPubDate\":\"\",\"PubModel\":\"\",\"JCR\":\"\",\"JCRName\":\"\",\"Score\":null,\"Total\":0}","platform":"Semanticscholar","paperid":null,"PeriodicalName":"Journal of fungi (Basel, Switzerland)","FirstCategoryId":"99","ListUrlMain":"https://doi.org/10.3390/jof8111116","RegionNum":0,"RegionCategory":null,"ArticlePicture":[],"TitleCN":null,"AbstractTextCN":null,"PMCID":null,"EPubDate":"","PubModel":"","JCR":"","JCRName":"","Score":null,"Total":0}
引用次数: 0

摘要

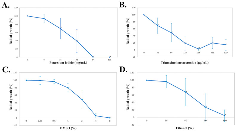
一种罕见但毒性极强的病原体,可引起人类和动物的皮癣。手术是一种主要的治疗方法,目的是治愈,但要牺牲受损的器官。抗菌药物对治疗疥疮的疗效有限。需要对病原体有效的替代药物。已经建立了内部药敏试验(即肉汤稀释、圆盘扩散和径向生长试验),其中一些采用了为真菌设计的标准方案(即CLSI M38-A2和CLSI M51)。菌丝栓、菌丝悬浮液和游动孢子是麻霉药敏评价中常用的接种方法。并排比较表明每种方法都有优点和局限性。药物的最低抑制和杀灭浓度随所选方法的不同而变化。材料的可得性、用户体验以及生物体和药物的数量决定了应该使用哪种药敏试验。我们采用菌丝塞和肉汤稀释和径向生长相结合的方法来筛选和验证抗p。几种先前报道的化学物质,包括碘化钾、曲安奈德、二甲基亚砜和乙醇,其抗磷活性的数据。硫磷的功效有限。我们测试了每种化学物质对29个遗传多样性的分离物的影响。这些化学物质对病原菌的生长具有直接的抑菌作用,且呈剂量和时间依赖性,提示其在血吸虫病治疗中的潜在应用。未来的尝试应该集中在标准化这些药敏方法上,例如确定药敏/耐药断点,这样医护人员就可以自信地解释结果并选择有效的药物来对抗棘球蚴病。
本文章由计算机程序翻译,如有差异,请以英文原文为准。

Selection of an Appropriate In Vitro Susceptibility Test for Assessing Anti-<i>Pythium insidiosum</i> Activity of Potassium Iodide, Triamcinolone Acetonide, Dimethyl Sulfoxide, and Ethanol.

Selection of an Appropriate In Vitro Susceptibility Test for Assessing Anti-Pythium insidiosum Activity of Potassium Iodide, Triamcinolone Acetonide, Dimethyl Sulfoxide, and Ethanol.

The orphan but highly virulent pathogen Pythium insidiosum causes pythiosis in humans and animals. Surgery is a primary treatment aiming to cure but trading off losing affected organs. Antimicrobial drugs show limited efficacy in treating pythiosis. Alternative drugs effective against the pathogen are needed. In-house drug susceptibility tests (i.e., broth dilution, disc diffusion, and radial growth assays) have been established, some of which adapted the standard protocols (i.e., CLSI M38-A2 and CLSI M51) designed for fungi. Hyphal plug, hyphal suspension, and zoospore are inocula commonly used in the drug susceptibility assessment for P. insidiosum. A side-by-side comparison demonstrated that each method had advantages and limitations. Minimum inhibitory and cidal concentrations of a drug varied depending on the selected method. Material availability, user experience, and organism and drug quantities determined which susceptibility assay should be used. We employed the hyphal plug and a combination of broth dilution and radial growth methods to screen and validate the anti-P. insidiosum activities of several previously reported chemicals, including potassium iodide, triamcinolone acetonide, dimethyl sulfoxide, and ethanol, in which data on their anti-P. insidiosum efficacy are limited. We tested each chemical against 29 genetically diverse isolates of P. insidiosum. These chemicals possessed direct antimicrobial effects on the growth of the pathogen in a dose- and time-dependent manner, suggesting their potential application in pythiosis treatment. Future attempts should focus on standardizing these drug susceptibility methods, such as determining susceptibility/resistant breakpoints, so healthcare workers can confidently interpret a result and select an effective drug against P. insidiosum.

求助全文
通过发布文献求助,成功后即可免费获取论文全文。 去求助
来源期刊
自引率
0.00%
发文量
0
×
引用
GB/T 7714-2015
复制
MLA
复制
APA
复制
导出至
BibTeX EndNote RefMan NoteFirst NoteExpress
×
提示
您的信息不完整,为了账户安全,请先补充。
现在去补充
×
提示
您因"违规操作"
具体请查看互助需知
我知道了
×
提示
确定
请完成安全验证×
copy
已复制链接
快去分享给好友吧!
我知道了
右上角分享
点击右上角分享
0
联系我们:info@booksci.cn Book学术提供免费学术资源搜索服务,方便国内外学者检索中英文文献。致力于提供最便捷和优质的服务体验。 Copyright © 2023 布克学术 All rights reserved.
京ICP备2023020795号-1
ghs 京公网安备 11010802042870号
Book学术文献互助
Book学术文献互助群
群 号:604180095
Book学术官方微信