球孢白僵菌接触和直接喷淋对不同阶段病毒线虫的致死浓度和产孢量。

Maribel Portilla, Minling Zhang, James Paul Glover, Gadi V P Reddy, Chris Johnson
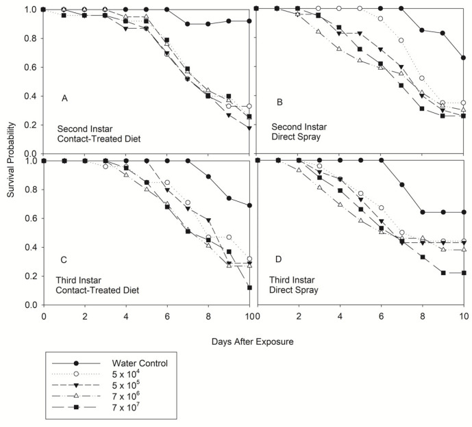
{"title":"球孢白僵菌接触和直接喷淋对不同阶段病毒线虫的致死浓度和产孢量。","authors":"Maribel Portilla,&nbsp;Minling Zhang,&nbsp;James Paul Glover,&nbsp;Gadi V P Reddy,&nbsp;Chris Johnson","doi":"10.3390/jof8111164","DOIUrl":null,"url":null,"abstract":"<p><p>The southern green stink bug, <i>Nezara viridula</i> (L.) (Heteroptera: Pentatomidae) is the most significant pest of soybean worldwide. The present study was conducted to compare the effectiveness of a Delta native strain NI8 of <i>Beauveria bassiana</i> by contact and direct spray on nymphs (2nd to 5th instar) and adults of <i>N. viridula</i>. Water control and four concentrations of <i>B. bassiana</i> were used to evaluate the survival, mortality, and molting percentage and to estimate median lethal concentration (LC<sub>50</sub>), median lethal sporulation (LS<sub>50</sub>), and resistance ratio (RR<sub>50</sub>). Direct spray at all concentrations observed the greatest reduction in survival on all life stages. Mortality and sporulation were positively correlated by concentration, while molting was highly variable with a significantly lower negative correlation on insects that were directly sprayed. Pathogenicity exhibited reduction as young stages developed and emerged to adult. The LC<sub>50</sub> (Contact: 612 spores/mm<sup>2</sup>; Direct spray: 179 spores/mm<sup>2</sup>) and LS<sub>50</sub> (Contact: 1960 spores/mm<sup>2</sup> Spray: 3.3 × 10<sup>6</sup>) values showed that adults of <i>N. viridula</i> were highly resistant than any other life stage when exposed to either contact or direct spray. Fourth instar was the most susceptible (LC<sub>50</sub>: Contact: 18 spores/mm<sup>2</sup>; Direct spray: 23 spores/mm<sup>2</sup>) (LS<sub>50</sub>: Contact: 53 spores/mm<sup>2</sup>; Direct spray: 26 spores/mm<sup>2</sup>) followed by second, third, and fifth instars.</p>","PeriodicalId":520671,"journal":{"name":"Journal of fungi (Basel, Switzerland)","volume":" ","pages":""},"PeriodicalIF":0.0000,"publicationDate":"2022-11-04","publicationTypes":"Journal Article","fieldsOfStudy":null,"isOpenAccess":false,"openAccessPdf":"https://www.ncbi.nlm.nih.gov/pmc/articles/PMC9694363/pdf/","citationCount":"3","resultStr":"{\"title\":\"Lethal Concentration and Sporulation by Contact and Direct Spray of the Entomopathogenic Fungus <i>Beauveria bassiana</i> on Different Stages of <i>Nezara viridula</i> (Heteroptera: Pentatomidae).\",\"authors\":\"Maribel Portilla,&nbsp;Minling Zhang,&nbsp;James Paul Glover,&nbsp;Gadi V P Reddy,&nbsp;Chris Johnson\",\"doi\":\"10.3390/jof8111164\",\"DOIUrl\":null,\"url\":null,\"abstract\":\"<p><p>The southern green stink bug, <i>Nezara viridula</i> (L.) (Heteroptera: Pentatomidae) is the most significant pest of soybean worldwide. The present study was conducted to compare the effectiveness of a Delta native strain NI8 of <i>Beauveria bassiana</i> by contact and direct spray on nymphs (2nd to 5th instar) and adults of <i>N. viridula</i>. Water control and four concentrations of <i>B. bassiana</i> were used to evaluate the survival, mortality, and molting percentage and to estimate median lethal concentration (LC<sub>50</sub>), median lethal sporulation (LS<sub>50</sub>), and resistance ratio (RR<sub>50</sub>). Direct spray at all concentrations observed the greatest reduction in survival on all life stages. Mortality and sporulation were positively correlated by concentration, while molting was highly variable with a significantly lower negative correlation on insects that were directly sprayed. Pathogenicity exhibited reduction as young stages developed and emerged to adult. The LC<sub>50</sub> (Contact: 612 spores/mm<sup>2</sup>; Direct spray: 179 spores/mm<sup>2</sup>) and LS<sub>50</sub> (Contact: 1960 spores/mm<sup>2</sup> Spray: 3.3 × 10<sup>6</sup>) values showed that adults of <i>N. viridula</i> were highly resistant than any other life stage when exposed to either contact or direct spray. Fourth instar was the most susceptible (LC<sub>50</sub>: Contact: 18 spores/mm<sup>2</sup>; Direct spray: 23 spores/mm<sup>2</sup>) (LS<sub>50</sub>: Contact: 53 spores/mm<sup>2</sup>; Direct spray: 26 spores/mm<sup>2</sup>) followed by second, third, and fifth instars.</p>\",\"PeriodicalId\":520671,\"journal\":{\"name\":\"Journal of fungi (Basel, Switzerland)\",\"volume\":\" \",\"pages\":\"\"},\"PeriodicalIF\":0.0000,\"publicationDate\":\"2022-11-04\",\"publicationTypes\":\"Journal Article\",\"fieldsOfStudy\":null,\"isOpenAccess\":false,\"openAccessPdf\":\"https://www.ncbi.nlm.nih.gov/pmc/articles/PMC9694363/pdf/\",\"citationCount\":\"3\",\"resultStr\":null,\"platform\":\"Semanticscholar\",\"paperid\":null,\"PeriodicalName\":\"Journal of fungi (Basel, Switzerland)\",\"FirstCategoryId\":\"99\",\"ListUrlMain\":\"https://doi.org/10.3390/jof8111164\",\"RegionNum\":0,\"RegionCategory\":null,\"ArticlePicture\":[],\"TitleCN\":null,\"AbstractTextCN\":null,\"PMCID\":null,\"EPubDate\":\"\",\"PubModel\":\"\",\"JCR\":\"\",\"JCRName\":\"\",\"Score\":null,\"Total\":0}","platform":"Semanticscholar","paperid":null,"PeriodicalName":"Journal of fungi (Basel, Switzerland)","FirstCategoryId":"99","ListUrlMain":"https://doi.org/10.3390/jof8111164","RegionNum":0,"RegionCategory":null,"ArticlePicture":[],"TitleCN":null,"AbstractTextCN":null,"PMCID":null,"EPubDate":"","PubModel":"","JCR":"","JCRName":"","Score":null,"Total":0}
引用次数: 3

摘要

南方绿臭虫Nezara viridula (L.)(异翅目:蝽科)是世界上危害大豆最严重的害虫。本研究比较了Delta原生菌株NI8对球孢白僵菌2 ~ 5龄若虫和成虫的接触和直接喷淋效果。采用水分对照和4种不同浓度的球孢白僵菌测定其存活率、死亡率和脱毛率,并估算中位致死浓度(LC50)、中位致死产孢量(LS50)和抗性比(RR50)。在所有浓度的直接喷雾下,在所有生命阶段的存活率都有最大的下降。死亡率与产孢量呈显著正相关,而换羽量呈显著负相关。致病性随幼期发育到成虫期而降低。LC50(接触量:612孢子/mm2;直接喷雾:179个孢子/mm2)和LS50(接触:1960个孢子/mm2,喷雾:3.3 × 106)值表明,在接触和直接喷雾两种方法下,绿僵菌成虫的抗性均高于其他任何生命阶段。4龄最敏感(LC50:接触:18孢子/mm2;直接喷雾:23孢子/mm2) (LS50:接触:53孢子/mm2;直接喷雾:26孢子/mm2),其次是第二,第三和第五阶段。
本文章由计算机程序翻译,如有差异,请以英文原文为准。

Lethal Concentration and Sporulation by Contact and Direct Spray of the Entomopathogenic Fungus <i>Beauveria bassiana</i> on Different Stages of <i>Nezara viridula</i> (Heteroptera: Pentatomidae).

Lethal Concentration and Sporulation by Contact and Direct Spray of the Entomopathogenic Fungus <i>Beauveria bassiana</i> on Different Stages of <i>Nezara viridula</i> (Heteroptera: Pentatomidae).

Lethal Concentration and Sporulation by Contact and Direct Spray of the Entomopathogenic Fungus <i>Beauveria bassiana</i> on Different Stages of <i>Nezara viridula</i> (Heteroptera: Pentatomidae).

Lethal Concentration and Sporulation by Contact and Direct Spray of the Entomopathogenic Fungus Beauveria bassiana on Different Stages of Nezara viridula (Heteroptera: Pentatomidae).

The southern green stink bug, Nezara viridula (L.) (Heteroptera: Pentatomidae) is the most significant pest of soybean worldwide. The present study was conducted to compare the effectiveness of a Delta native strain NI8 of Beauveria bassiana by contact and direct spray on nymphs (2nd to 5th instar) and adults of N. viridula. Water control and four concentrations of B. bassiana were used to evaluate the survival, mortality, and molting percentage and to estimate median lethal concentration (LC50), median lethal sporulation (LS50), and resistance ratio (RR50). Direct spray at all concentrations observed the greatest reduction in survival on all life stages. Mortality and sporulation were positively correlated by concentration, while molting was highly variable with a significantly lower negative correlation on insects that were directly sprayed. Pathogenicity exhibited reduction as young stages developed and emerged to adult. The LC50 (Contact: 612 spores/mm2; Direct spray: 179 spores/mm2) and LS50 (Contact: 1960 spores/mm2 Spray: 3.3 × 106) values showed that adults of N. viridula were highly resistant than any other life stage when exposed to either contact or direct spray. Fourth instar was the most susceptible (LC50: Contact: 18 spores/mm2; Direct spray: 23 spores/mm2) (LS50: Contact: 53 spores/mm2; Direct spray: 26 spores/mm2) followed by second, third, and fifth instars.

求助全文
通过发布文献求助,成功后即可免费获取论文全文。 去求助
来源期刊
自引率
0.00%
发文量
0
×
引用
GB/T 7714-2015
复制
MLA
复制
APA
复制
导出至
BibTeX EndNote RefMan NoteFirst NoteExpress
×
提示
您的信息不完整,为了账户安全,请先补充。
现在去补充
×
提示
您因"违规操作"
具体请查看互助需知
我知道了
×
提示
确定
请完成安全验证×
copy
已复制链接
快去分享给好友吧!
我知道了
右上角分享
点击右上角分享
0
联系我们:info@booksci.cn Book学术提供免费学术资源搜索服务,方便国内外学者检索中英文文献。致力于提供最便捷和优质的服务体验。 Copyright © 2023 布克学术 All rights reserved.
京ICP备2023020795号-1
ghs 京公网安备 11010802042870号
Book学术文献互助
Book学术文献互助群
群 号:604180095
Book学术官方微信