ZNF521与肿瘤免疫细胞浸润相关,可作为胃癌有价值的预后生物标志物

IF 1.4 4区 医学 Q3 GASTROENTEROLOGY & HEPATOLOGY
Gastroenterology Research and Practice Pub Date : 2022-10-19 eCollection Date: 2022-01-01 DOI:10.1155/2022/5288075
Li Li, Zheng-Hui Liu, Hui-Ju Wang, Lei Wang, Guo-Qing Ru, Yuan-Yu Wang
{"title":"ZNF521与肿瘤免疫细胞浸润相关,可作为胃癌有价值的预后生物标志物","authors":"Li Li,&nbsp;Zheng-Hui Liu,&nbsp;Hui-Ju Wang,&nbsp;Lei Wang,&nbsp;Guo-Qing Ru,&nbsp;Yuan-Yu Wang","doi":"10.1155/2022/5288075","DOIUrl":null,"url":null,"abstract":"<p><strong>Aim: </strong>To explore the correlations between the expression of zinc finger protein 521 (ZNF521) with immune invasion and prognosis of gastric cancer.</p><p><strong>Methods: </strong>Expression of ZNF521 was examined by immunohistochemistry in gastric cancer cases. Kaplan-Meier plotter was used to determine the relationships between ZNF521 and prognosis. TIMER and GEPIA were used to analyze the correlation between ZNF521 expression and gene markers of immune cell infiltration.</p><p><strong>Results: </strong>The expression of ZNF521 was up-regulated in gastric cancer samples. Kaplan-Meier analysis indicated that higher expression of ZNF521 was associated with poor prognosis. The expression of ZNF521 was correlated with infiltrating levels of CD4+ T and CD8+ T cells, macrophages, neutrophils, and dendritic cells in gastric cancer, which also correlated with diverse immune marker sets.</p><p><strong>Conclusions: </strong>ZNF521 is correlated significantly with immune cell infiltration and is a valuable biomarker for prognosis in gastric cancer.</p>","PeriodicalId":12597,"journal":{"name":"Gastroenterology Research and Practice","volume":" ","pages":"5288075"},"PeriodicalIF":1.4000,"publicationDate":"2022-10-19","publicationTypes":"Journal Article","fieldsOfStudy":null,"isOpenAccess":false,"openAccessPdf":"https://www.ncbi.nlm.nih.gov/pmc/articles/PMC9606838/pdf/","citationCount":"0","resultStr":"{\"title\":\"ZNF521 Is Correlated with Tumor Immune Cell Infiltration and Act as a Valuable Prognostic Biomarker in Gastric Cancer.\",\"authors\":\"Li Li,&nbsp;Zheng-Hui Liu,&nbsp;Hui-Ju Wang,&nbsp;Lei Wang,&nbsp;Guo-Qing Ru,&nbsp;Yuan-Yu Wang\",\"doi\":\"10.1155/2022/5288075\",\"DOIUrl\":null,\"url\":null,\"abstract\":\"<p><strong>Aim: </strong>To explore the correlations between the expression of zinc finger protein 521 (ZNF521) with immune invasion and prognosis of gastric cancer.</p><p><strong>Methods: </strong>Expression of ZNF521 was examined by immunohistochemistry in gastric cancer cases. Kaplan-Meier plotter was used to determine the relationships between ZNF521 and prognosis. TIMER and GEPIA were used to analyze the correlation between ZNF521 expression and gene markers of immune cell infiltration.</p><p><strong>Results: </strong>The expression of ZNF521 was up-regulated in gastric cancer samples. Kaplan-Meier analysis indicated that higher expression of ZNF521 was associated with poor prognosis. The expression of ZNF521 was correlated with infiltrating levels of CD4+ T and CD8+ T cells, macrophages, neutrophils, and dendritic cells in gastric cancer, which also correlated with diverse immune marker sets.</p><p><strong>Conclusions: </strong>ZNF521 is correlated significantly with immune cell infiltration and is a valuable biomarker for prognosis in gastric cancer.</p>\",\"PeriodicalId\":12597,\"journal\":{\"name\":\"Gastroenterology Research and Practice\",\"volume\":\" \",\"pages\":\"5288075\"},\"PeriodicalIF\":1.4000,\"publicationDate\":\"2022-10-19\",\"publicationTypes\":\"Journal Article\",\"fieldsOfStudy\":null,\"isOpenAccess\":false,\"openAccessPdf\":\"https://www.ncbi.nlm.nih.gov/pmc/articles/PMC9606838/pdf/\",\"citationCount\":\"0\",\"resultStr\":null,\"platform\":\"Semanticscholar\",\"paperid\":null,\"PeriodicalName\":\"Gastroenterology Research and Practice\",\"FirstCategoryId\":\"3\",\"ListUrlMain\":\"https://doi.org/10.1155/2022/5288075\",\"RegionNum\":4,\"RegionCategory\":\"医学\",\"ArticlePicture\":[],\"TitleCN\":null,\"AbstractTextCN\":null,\"PMCID\":null,\"EPubDate\":\"2022/1/1 0:00:00\",\"PubModel\":\"eCollection\",\"JCR\":\"Q3\",\"JCRName\":\"GASTROENTEROLOGY & HEPATOLOGY\",\"Score\":null,\"Total\":0}","platform":"Semanticscholar","paperid":null,"PeriodicalName":"Gastroenterology Research and Practice","FirstCategoryId":"3","ListUrlMain":"https://doi.org/10.1155/2022/5288075","RegionNum":4,"RegionCategory":"医学","ArticlePicture":[],"TitleCN":null,"AbstractTextCN":null,"PMCID":null,"EPubDate":"2022/1/1 0:00:00","PubModel":"eCollection","JCR":"Q3","JCRName":"GASTROENTEROLOGY & HEPATOLOGY","Score":null,"Total":0}
引用次数: 0

摘要

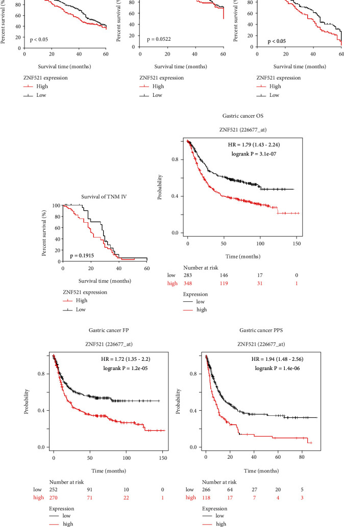
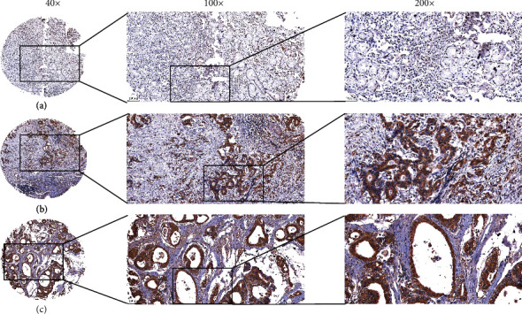
目的:探讨锌指蛋白521 (ZNF521)表达与胃癌免疫侵袭及预后的关系。方法:采用免疫组化方法检测胃癌组织中ZNF521的表达。Kaplan-Meier绘图仪测定ZNF521与预后的关系。采用TIMER和GEPIA分析ZNF521表达与免疫细胞浸润基因标志物的相关性。结果:ZNF521在胃癌组织中表达上调。Kaplan-Meier分析显示,ZNF521的高表达与预后不良相关。ZNF521的表达与胃癌组织中CD4+ T和CD8+ T细胞、巨噬细胞、中性粒细胞和树突状细胞的浸润水平相关,并与多种免疫标记集相关。结论:ZNF521与免疫细胞浸润有显著相关性,是判断胃癌预后的重要生物标志物。
本文章由计算机程序翻译,如有差异,请以英文原文为准。

ZNF521 Is Correlated with Tumor Immune Cell Infiltration and Act as a Valuable Prognostic Biomarker in Gastric Cancer.

ZNF521 Is Correlated with Tumor Immune Cell Infiltration and Act as a Valuable Prognostic Biomarker in Gastric Cancer.

ZNF521 Is Correlated with Tumor Immune Cell Infiltration and Act as a Valuable Prognostic Biomarker in Gastric Cancer.

ZNF521 Is Correlated with Tumor Immune Cell Infiltration and Act as a Valuable Prognostic Biomarker in Gastric Cancer.

Aim: To explore the correlations between the expression of zinc finger protein 521 (ZNF521) with immune invasion and prognosis of gastric cancer.

Methods: Expression of ZNF521 was examined by immunohistochemistry in gastric cancer cases. Kaplan-Meier plotter was used to determine the relationships between ZNF521 and prognosis. TIMER and GEPIA were used to analyze the correlation between ZNF521 expression and gene markers of immune cell infiltration.

Results: The expression of ZNF521 was up-regulated in gastric cancer samples. Kaplan-Meier analysis indicated that higher expression of ZNF521 was associated with poor prognosis. The expression of ZNF521 was correlated with infiltrating levels of CD4+ T and CD8+ T cells, macrophages, neutrophils, and dendritic cells in gastric cancer, which also correlated with diverse immune marker sets.

Conclusions: ZNF521 is correlated significantly with immune cell infiltration and is a valuable biomarker for prognosis in gastric cancer.

求助全文
通过发布文献求助,成功后即可免费获取论文全文。 去求助
来源期刊
Gastroenterology Research and Practice
Gastroenterology Research and Practice GASTROENTEROLOGY & HEPATOLOGY-
CiteScore
4.40
自引率
0.00%
发文量
91
审稿时长
1 months
期刊介绍: Gastroenterology Research and Practice is a peer-reviewed, Open Access journal which publishes original research articles, review articles and clinical studies based on all areas of gastroenterology, hepatology, pancreas and biliary, and related cancers. The journal welcomes submissions on the physiology, pathophysiology, etiology, diagnosis and therapy of gastrointestinal diseases. The aim of the journal is to provide cutting edge research related to the field of gastroenterology, as well as digestive diseases and disorders. Topics of interest include: Management of pancreatic diseases Third space endoscopy Endoscopic resection Therapeutic endoscopy Therapeutic endosonography.
×
引用
GB/T 7714-2015
复制
MLA
复制
APA
复制
导出至
BibTeX EndNote RefMan NoteFirst NoteExpress
×
提示
您的信息不完整,为了账户安全,请先补充。
现在去补充
×
提示
您因"违规操作"
具体请查看互助需知
我知道了
×
提示
确定
请完成安全验证×
copy
已复制链接
快去分享给好友吧!
我知道了
右上角分享
点击右上角分享
0
联系我们:info@booksci.cn Book学术提供免费学术资源搜索服务,方便国内外学者检索中英文文献。致力于提供最便捷和优质的服务体验。 Copyright © 2023 布克学术 All rights reserved.
京ICP备2023020795号-1
ghs 京公网安备 11010802042870号
Book学术文献互助
Book学术文献互助群
群 号:604180095
Book学术官方微信