精液pH值及其与活力和计数的关系——一项对不育男性的研究。

IF 1.9
Sanketh Satya Dhumal, Prashanth Naik, Swaminathan Dakshinamurthy, Kishan Sullia
{"title":"精液pH值及其与活力和计数的关系——一项对不育男性的研究。","authors":"Sanketh Satya Dhumal,&nbsp;Prashanth Naik,&nbsp;Swaminathan Dakshinamurthy,&nbsp;Kishan Sullia","doi":"10.5935/1518-0557.20200080","DOIUrl":null,"url":null,"abstract":"<p><strong>Objective: </strong>The current study was aimed at correlating semen pH with motility and count to understand the significance of semen buffering system.</p><p><strong>Methods: </strong>The semen samples were collected from men who visited the clinic with infertility problems. Determination of semen pH, sperm motility and count were done according to the WHO laboratory manual, 2010 standards. The Mann-Whitney U-test was applied for statistical significance. The Pearson product moment correlation coefficient was used to measure the degree of linear relationship between the semen parameters.</p><p><strong>Result: </strong>For all patients (n=310) the mean±SD pH was found to be 8.4±0.3, with a range from 6.9 to 9.5. There was a significant and positive correlation between total motility and pH r =0.0591 (p<0.00001); volume and pH r=0.0582 (p<0.00001); Sluggish Progressive Motility (SPM) and pH, r = 0.0529 (p<0.00001); Abstinence and pH, r=0.0016 (p<0.00001). Negative correlation was noted between pH and total count r= -0.025 (p<0.00001); Rapid Progressive Motility (RPM) and pH r = -0.0776 (p<0.001), Non Motile (NM) spermatozoa and pH r=- 0.00132 (p<0.00001).</p><p><strong>Conclusion: </strong>There were correlations between seminal pH and two important fertility parameters, viz., motility and count, indicating that the semen buffering system plays a vital role in maintaining the overall seminal quality, which is of clinical relevance.</p>","PeriodicalId":520656,"journal":{"name":"JBRA assisted reproduction","volume":" ","pages":"172-175"},"PeriodicalIF":1.9000,"publicationDate":"2021-04-27","publicationTypes":"Journal Article","fieldsOfStudy":null,"isOpenAccess":false,"openAccessPdf":"https://www.ncbi.nlm.nih.gov/pmc/articles/PMC8083857/pdf/","citationCount":"12","resultStr":"{\"title\":\"Semen pH and its correlation with motility and count - A study in subfertile men.\",\"authors\":\"Sanketh Satya Dhumal,&nbsp;Prashanth Naik,&nbsp;Swaminathan Dakshinamurthy,&nbsp;Kishan Sullia\",\"doi\":\"10.5935/1518-0557.20200080\",\"DOIUrl\":null,\"url\":null,\"abstract\":\"<p><strong>Objective: </strong>The current study was aimed at correlating semen pH with motility and count to understand the significance of semen buffering system.</p><p><strong>Methods: </strong>The semen samples were collected from men who visited the clinic with infertility problems. Determination of semen pH, sperm motility and count were done according to the WHO laboratory manual, 2010 standards. The Mann-Whitney U-test was applied for statistical significance. The Pearson product moment correlation coefficient was used to measure the degree of linear relationship between the semen parameters.</p><p><strong>Result: </strong>For all patients (n=310) the mean±SD pH was found to be 8.4±0.3, with a range from 6.9 to 9.5. There was a significant and positive correlation between total motility and pH r =0.0591 (p<0.00001); volume and pH r=0.0582 (p<0.00001); Sluggish Progressive Motility (SPM) and pH, r = 0.0529 (p<0.00001); Abstinence and pH, r=0.0016 (p<0.00001). Negative correlation was noted between pH and total count r= -0.025 (p<0.00001); Rapid Progressive Motility (RPM) and pH r = -0.0776 (p<0.001), Non Motile (NM) spermatozoa and pH r=- 0.00132 (p<0.00001).</p><p><strong>Conclusion: </strong>There were correlations between seminal pH and two important fertility parameters, viz., motility and count, indicating that the semen buffering system plays a vital role in maintaining the overall seminal quality, which is of clinical relevance.</p>\",\"PeriodicalId\":520656,\"journal\":{\"name\":\"JBRA assisted reproduction\",\"volume\":\" \",\"pages\":\"172-175\"},\"PeriodicalIF\":1.9000,\"publicationDate\":\"2021-04-27\",\"publicationTypes\":\"Journal Article\",\"fieldsOfStudy\":null,\"isOpenAccess\":false,\"openAccessPdf\":\"https://www.ncbi.nlm.nih.gov/pmc/articles/PMC8083857/pdf/\",\"citationCount\":\"12\",\"resultStr\":null,\"platform\":\"Semanticscholar\",\"paperid\":null,\"PeriodicalName\":\"JBRA assisted reproduction\",\"FirstCategoryId\":\"1085\",\"ListUrlMain\":\"https://doi.org/10.5935/1518-0557.20200080\",\"RegionNum\":0,\"RegionCategory\":null,\"ArticlePicture\":[],\"TitleCN\":null,\"AbstractTextCN\":null,\"PMCID\":null,\"EPubDate\":\"\",\"PubModel\":\"\",\"JCR\":\"\",\"JCRName\":\"\",\"Score\":null,\"Total\":0}","platform":"Semanticscholar","paperid":null,"PeriodicalName":"JBRA assisted reproduction","FirstCategoryId":"1085","ListUrlMain":"https://doi.org/10.5935/1518-0557.20200080","RegionNum":0,"RegionCategory":null,"ArticlePicture":[],"TitleCN":null,"AbstractTextCN":null,"PMCID":null,"EPubDate":"","PubModel":"","JCR":"","JCRName":"","Score":null,"Total":0}
引用次数: 12

摘要

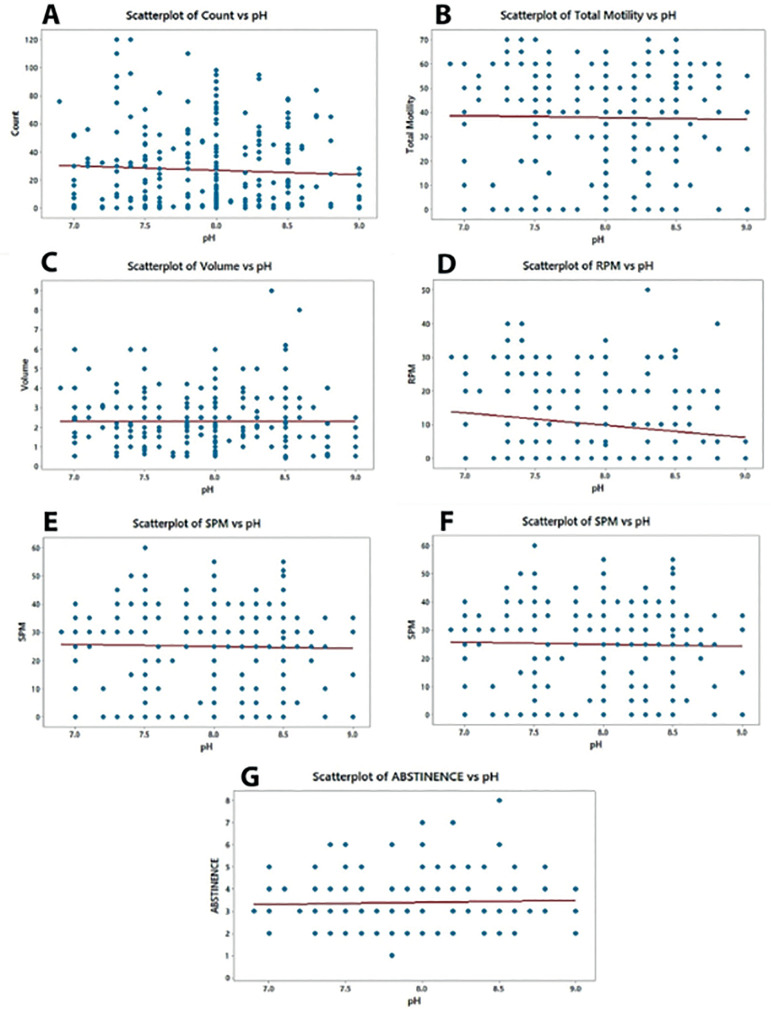
目的:研究精液pH值与精液活力和计数的关系,了解精液缓冲系统的意义。方法:对就诊的男性不孕症患者进行精液采集。精液pH值、精子活力和计数的测定按照世界卫生组织实验室手册2010年标准进行。采用Mann-Whitney u检验统计显著性。使用Pearson积矩相关系数来衡量精液参数之间的线性关系程度。结果:所有患者(n=310)的平均±SD pH为8.4±0.3,范围为6.9 ~ 9.5。结论:精液pH值与精液活力和精子数量这两个重要生育参数存在相关性,说明精液缓冲系统在维持精液整体质量方面起着至关重要的作用,具有临床意义。
本文章由计算机程序翻译,如有差异,请以英文原文为准。

Semen pH and its correlation with motility and count - A study in subfertile men.

Semen pH and its correlation with motility and count - A study in subfertile men.

Objective: The current study was aimed at correlating semen pH with motility and count to understand the significance of semen buffering system.

Methods: The semen samples were collected from men who visited the clinic with infertility problems. Determination of semen pH, sperm motility and count were done according to the WHO laboratory manual, 2010 standards. The Mann-Whitney U-test was applied for statistical significance. The Pearson product moment correlation coefficient was used to measure the degree of linear relationship between the semen parameters.

Result: For all patients (n=310) the mean±SD pH was found to be 8.4±0.3, with a range from 6.9 to 9.5. There was a significant and positive correlation between total motility and pH r =0.0591 (p<0.00001); volume and pH r=0.0582 (p<0.00001); Sluggish Progressive Motility (SPM) and pH, r = 0.0529 (p<0.00001); Abstinence and pH, r=0.0016 (p<0.00001). Negative correlation was noted between pH and total count r= -0.025 (p<0.00001); Rapid Progressive Motility (RPM) and pH r = -0.0776 (p<0.001), Non Motile (NM) spermatozoa and pH r=- 0.00132 (p<0.00001).

Conclusion: There were correlations between seminal pH and two important fertility parameters, viz., motility and count, indicating that the semen buffering system plays a vital role in maintaining the overall seminal quality, which is of clinical relevance.

求助全文
通过发布文献求助,成功后即可免费获取论文全文。 去求助
来源期刊
自引率
0.00%
发文量
0
×
引用
GB/T 7714-2015
复制
MLA
复制
APA
复制
导出至
BibTeX EndNote RefMan NoteFirst NoteExpress
×
提示
您的信息不完整,为了账户安全,请先补充。
现在去补充
×
提示
您因"违规操作"
具体请查看互助需知
我知道了
×
提示
确定
请完成安全验证×
copy
已复制链接
快去分享给好友吧!
我知道了
右上角分享
点击右上角分享
0
联系我们:info@booksci.cn Book学术提供免费学术资源搜索服务,方便国内外学者检索中英文文献。致力于提供最便捷和优质的服务体验。 Copyright © 2023 布克学术 All rights reserved.
京ICP备2023020795号-1
ghs 京公网安备 11010802042870号
Book学术文献互助
Book学术文献互助群
群 号:604180095
Book学术官方微信