硒对双酚a诱导的小鼠睾丸线粒体氧化应激和精子活力的保护作用。

IF 1.9
Zeinab Rafiee, Fatemeh Rezaee-Tazangi, Leila Zeidooni, Hadis Alidadi, Layasadat Khorsandi
{"title":"硒对双酚a诱导的小鼠睾丸线粒体氧化应激和精子活力的保护作用。","authors":"Zeinab Rafiee,&nbsp;Fatemeh Rezaee-Tazangi,&nbsp;Leila Zeidooni,&nbsp;Hadis Alidadi,&nbsp;Layasadat Khorsandi","doi":"10.5935/1518-0557.20210010","DOIUrl":null,"url":null,"abstract":"<p><strong>Objective: </strong>This study aimed to explore the impact of selenium (SE) on Bisphenol-A (BPA)-exposed sperm and isolated testicular mitochondria of mice.</p><p><strong>Methods: </strong>Mouse sperm and isolated mitochondria were exposed to BPA (0.8 mM) and different concentrations of SE (50, 100, and 200 μM) for four hours. The viability of sperm and isolated mitochondria as well as the mitochondrial membrane potential (MMP) were evaluated. SOD (superoxide dismutase), GSH (glutathione), MDA (malondialdehyde), and ROS (reactive oxygen species) levels in testicular mitochondria were also examined.</p><p><strong>Results: </strong>BPA concentration-dependently enhanced ROS and MDA levels in isolated mitochondria, while MMP and acclivity of GSH and SOD significantly reduced. BPA also considerably impaired spermatozoa survival and motility. SE concentration-dependently reduced mitochondrial oxidative stress, MMP, sperm survival, and total sperm motility.</p><p><strong>Conclusions: </strong>Our findings collectively suggested that SE concentration-dependently reversed BPA-caused mitochondrial toxicity and reduced sperm motility by suppressing oxidative stress.</p>","PeriodicalId":520656,"journal":{"name":"JBRA assisted reproduction","volume":" ","pages":"459-465"},"PeriodicalIF":1.9000,"publicationDate":"2021-07-21","publicationTypes":"Journal Article","fieldsOfStudy":null,"isOpenAccess":false,"openAccessPdf":"https://www.ncbi.nlm.nih.gov/pmc/articles/PMC8312290/pdf/","citationCount":"6","resultStr":"{\"title\":\"Protective effects of selenium on Bisphenol A-induced oxidative stress in mouse testicular mitochondria and sperm motility.\",\"authors\":\"Zeinab Rafiee,&nbsp;Fatemeh Rezaee-Tazangi,&nbsp;Leila Zeidooni,&nbsp;Hadis Alidadi,&nbsp;Layasadat Khorsandi\",\"doi\":\"10.5935/1518-0557.20210010\",\"DOIUrl\":null,\"url\":null,\"abstract\":\"<p><strong>Objective: </strong>This study aimed to explore the impact of selenium (SE) on Bisphenol-A (BPA)-exposed sperm and isolated testicular mitochondria of mice.</p><p><strong>Methods: </strong>Mouse sperm and isolated mitochondria were exposed to BPA (0.8 mM) and different concentrations of SE (50, 100, and 200 μM) for four hours. The viability of sperm and isolated mitochondria as well as the mitochondrial membrane potential (MMP) were evaluated. SOD (superoxide dismutase), GSH (glutathione), MDA (malondialdehyde), and ROS (reactive oxygen species) levels in testicular mitochondria were also examined.</p><p><strong>Results: </strong>BPA concentration-dependently enhanced ROS and MDA levels in isolated mitochondria, while MMP and acclivity of GSH and SOD significantly reduced. BPA also considerably impaired spermatozoa survival and motility. SE concentration-dependently reduced mitochondrial oxidative stress, MMP, sperm survival, and total sperm motility.</p><p><strong>Conclusions: </strong>Our findings collectively suggested that SE concentration-dependently reversed BPA-caused mitochondrial toxicity and reduced sperm motility by suppressing oxidative stress.</p>\",\"PeriodicalId\":520656,\"journal\":{\"name\":\"JBRA assisted reproduction\",\"volume\":\" \",\"pages\":\"459-465\"},\"PeriodicalIF\":1.9000,\"publicationDate\":\"2021-07-21\",\"publicationTypes\":\"Journal Article\",\"fieldsOfStudy\":null,\"isOpenAccess\":false,\"openAccessPdf\":\"https://www.ncbi.nlm.nih.gov/pmc/articles/PMC8312290/pdf/\",\"citationCount\":\"6\",\"resultStr\":null,\"platform\":\"Semanticscholar\",\"paperid\":null,\"PeriodicalName\":\"JBRA assisted reproduction\",\"FirstCategoryId\":\"1085\",\"ListUrlMain\":\"https://doi.org/10.5935/1518-0557.20210010\",\"RegionNum\":0,\"RegionCategory\":null,\"ArticlePicture\":[],\"TitleCN\":null,\"AbstractTextCN\":null,\"PMCID\":null,\"EPubDate\":\"\",\"PubModel\":\"\",\"JCR\":\"\",\"JCRName\":\"\",\"Score\":null,\"Total\":0}","platform":"Semanticscholar","paperid":null,"PeriodicalName":"JBRA assisted reproduction","FirstCategoryId":"1085","ListUrlMain":"https://doi.org/10.5935/1518-0557.20210010","RegionNum":0,"RegionCategory":null,"ArticlePicture":[],"TitleCN":null,"AbstractTextCN":null,"PMCID":null,"EPubDate":"","PubModel":"","JCR":"","JCRName":"","Score":null,"Total":0}
引用次数: 6

摘要

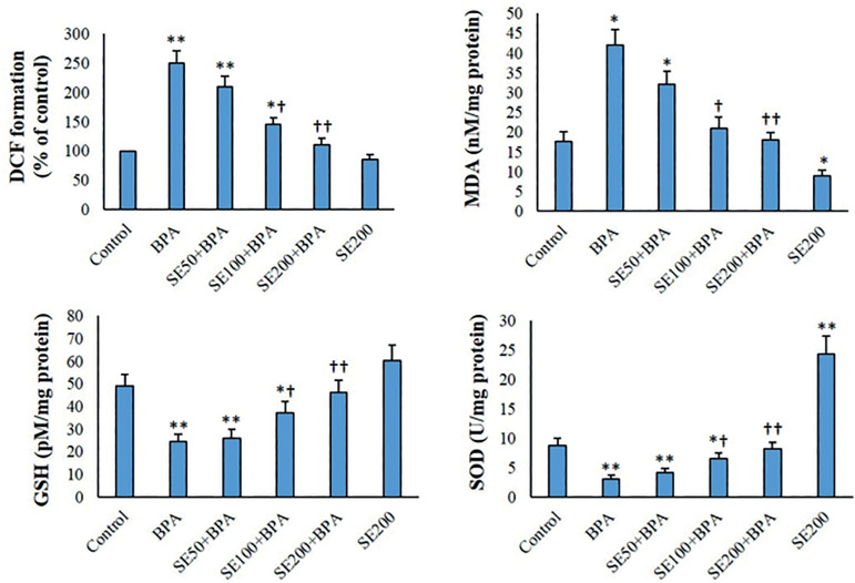
目的:探讨硒(SE)对双酚a (BPA)暴露小鼠精子和离体睾丸线粒体的影响。方法:将小鼠精子和离体线粒体分别暴露于BPA (0.8 mM)和不同浓度SE(50、100、200 μM)中4 h。评估精子和分离线粒体的活力以及线粒体膜电位(MMP)。还检测了睾丸线粒体中超氧化物歧化酶(SOD)、谷胱甘肽(GSH)、丙二醛(MDA)和活性氧(ROS)的水平。结果:BPA浓度依赖性地提高了离体线粒体中ROS和MDA水平,而MMP和GSH、SOD活性显著降低。BPA也会严重损害精子的存活和活力。SE浓度依赖性地降低了线粒体氧化应激、MMP、精子存活率和总精子活力。结论:我们的研究结果共同表明,SE浓度依赖性逆转bpa引起的线粒体毒性,并通过抑制氧化应激降低精子活力。
本文章由计算机程序翻译,如有差异,请以英文原文为准。

Protective effects of selenium on Bisphenol A-induced oxidative stress in mouse testicular mitochondria and sperm motility.

Protective effects of selenium on Bisphenol A-induced oxidative stress in mouse testicular mitochondria and sperm motility.

Protective effects of selenium on Bisphenol A-induced oxidative stress in mouse testicular mitochondria and sperm motility.

Protective effects of selenium on Bisphenol A-induced oxidative stress in mouse testicular mitochondria and sperm motility.

Objective: This study aimed to explore the impact of selenium (SE) on Bisphenol-A (BPA)-exposed sperm and isolated testicular mitochondria of mice.

Methods: Mouse sperm and isolated mitochondria were exposed to BPA (0.8 mM) and different concentrations of SE (50, 100, and 200 μM) for four hours. The viability of sperm and isolated mitochondria as well as the mitochondrial membrane potential (MMP) were evaluated. SOD (superoxide dismutase), GSH (glutathione), MDA (malondialdehyde), and ROS (reactive oxygen species) levels in testicular mitochondria were also examined.

Results: BPA concentration-dependently enhanced ROS and MDA levels in isolated mitochondria, while MMP and acclivity of GSH and SOD significantly reduced. BPA also considerably impaired spermatozoa survival and motility. SE concentration-dependently reduced mitochondrial oxidative stress, MMP, sperm survival, and total sperm motility.

Conclusions: Our findings collectively suggested that SE concentration-dependently reversed BPA-caused mitochondrial toxicity and reduced sperm motility by suppressing oxidative stress.

求助全文
通过发布文献求助,成功后即可免费获取论文全文。 去求助
来源期刊
自引率
0.00%
发文量
0
×
引用
GB/T 7714-2015
复制
MLA
复制
APA
复制
导出至
BibTeX EndNote RefMan NoteFirst NoteExpress
×
提示
您的信息不完整,为了账户安全,请先补充。
现在去补充
×
提示
您因"违规操作"
具体请查看互助需知
我知道了
×
提示
确定
请完成安全验证×
copy
已复制链接
快去分享给好友吧!
我知道了
右上角分享
点击右上角分享
0
联系我们:info@booksci.cn Book学术提供免费学术资源搜索服务,方便国内外学者检索中英文文献。致力于提供最便捷和优质的服务体验。 Copyright © 2023 布克学术 All rights reserved.
京ICP备2023020795号-1
ghs 京公网安备 11010802042870号
Book学术文献互助
Book学术文献互助群
群 号:604180095
Book学术官方微信