引入促进混合式学习环境的技术对正视学生和教学体验的回顾性研究:混合式学习环境中的技术体验。

Q3 Medicine
Carla Lança, Anne Bjerre
{"title":"引入促进混合式学习环境的技术对正视学生和教学体验的回顾性研究:混合式学习环境中的技术体验。","authors":"Carla Lança,&nbsp;Anne Bjerre","doi":"10.22599/bioj.119","DOIUrl":null,"url":null,"abstract":"<p><strong>Purpose: </strong>Evaluation of the students' experience and academic achievements following the introduction of online learning.</p><p><strong>Methods and materials: </strong>In 2011, online learning activities were introduced in the teaching of the Research in Orthoptics module for final year undergraduate orthoptic students. The online learning activities were created and delivered in Moodle; an open-source online learning platform. Students from the academic year groups of 2012-13, 2013-14 and 2016-17 completed an online questionnaire. The questionnaire was divided into 6 categories (relevance, reflection, interactivity, tutor support, peer support and interpretation) with 4 questions within each category. A 5-point Likert scale was used to score each question. The sum of answers within each category ranged from 4 (negative perception) to 20 (positive perception). Student performance was assessed using the marks retrospectively for 2 years before online learning was introduced and when online learning was included.</p><p><strong>Results: </strong>Forty-two students replied to the questionnaire with a mean age of 23.0 ± 2.3 years (range 21-32). There were 38 females (90.5%) and 4 males (9.5%). Combining the 3 academic cohorts there was a significant difference between the 6 categories of the questionnaire (p < 0.0001). Three categories obtained the same high median score of 16: relevance (range 9-20), reflection (range 11-20) and tutor support (range 12-20). Peer support resulted in the lowest median score of 13. Separation of the three academic year cohorts' revealed significant differences for tutor support (p = 0.03). The score increased from 16 in 2012-13 and 2013-14 to 18 in 2016-17. Significant differences were found between the marks for the cohorts from 2009-10 to 2016-17 (F<sub>7,245</sub> = 5.07: p < 0.0001). The mean mark for year group 2009-2010 was significantly less compared to 2012-13 (p < 0.0001), 2014-15 (p = 0.01) and 2015-16 (p = 0.02) and year group 2011-12's mark significantly less than 2012/13 (p = 0.001).</p><p><strong>Conclusions: </strong>Including online learning in the research module had a positive impact on the student experience, although more work needs to be done to improve peer support. Marks obtained by the orthoptic students have improved since the introduction of online learning suggesting that a mixture of teaching and learning methods is beneficial for students. However, more work needs to be done to provide teacher assistance in the design of online learning and blended learning approach.</p>","PeriodicalId":36083,"journal":{"name":"British and Irish Orthoptic Journal","volume":"14 1","pages":"56-63"},"PeriodicalIF":0.0000,"publicationDate":"2018-10-09","publicationTypes":"Journal Article","fieldsOfStudy":null,"isOpenAccess":false,"openAccessPdf":"https://www.ncbi.nlm.nih.gov/pmc/articles/PMC7510253/pdf/","citationCount":"5","resultStr":"{\"title\":\"A Retrospective Study of Orthoptic Students' and Teaching Experience with the Introduction of Technology Promoting a Blended Learning Environment: <i>Experiences with technology in a blended learning environment</i>.\",\"authors\":\"Carla Lança,&nbsp;Anne Bjerre\",\"doi\":\"10.22599/bioj.119\",\"DOIUrl\":null,\"url\":null,\"abstract\":\"<p><strong>Purpose: </strong>Evaluation of the students' experience and academic achievements following the introduction of online learning.</p><p><strong>Methods and materials: </strong>In 2011, online learning activities were introduced in the teaching of the Research in Orthoptics module for final year undergraduate orthoptic students. The online learning activities were created and delivered in Moodle; an open-source online learning platform. Students from the academic year groups of 2012-13, 2013-14 and 2016-17 completed an online questionnaire. The questionnaire was divided into 6 categories (relevance, reflection, interactivity, tutor support, peer support and interpretation) with 4 questions within each category. A 5-point Likert scale was used to score each question. The sum of answers within each category ranged from 4 (negative perception) to 20 (positive perception). Student performance was assessed using the marks retrospectively for 2 years before online learning was introduced and when online learning was included.</p><p><strong>Results: </strong>Forty-two students replied to the questionnaire with a mean age of 23.0 ± 2.3 years (range 21-32). There were 38 females (90.5%) and 4 males (9.5%). Combining the 3 academic cohorts there was a significant difference between the 6 categories of the questionnaire (p < 0.0001). Three categories obtained the same high median score of 16: relevance (range 9-20), reflection (range 11-20) and tutor support (range 12-20). Peer support resulted in the lowest median score of 13. Separation of the three academic year cohorts' revealed significant differences for tutor support (p = 0.03). The score increased from 16 in 2012-13 and 2013-14 to 18 in 2016-17. Significant differences were found between the marks for the cohorts from 2009-10 to 2016-17 (F<sub>7,245</sub> = 5.07: p < 0.0001). The mean mark for year group 2009-2010 was significantly less compared to 2012-13 (p < 0.0001), 2014-15 (p = 0.01) and 2015-16 (p = 0.02) and year group 2011-12's mark significantly less than 2012/13 (p = 0.001).</p><p><strong>Conclusions: </strong>Including online learning in the research module had a positive impact on the student experience, although more work needs to be done to improve peer support. Marks obtained by the orthoptic students have improved since the introduction of online learning suggesting that a mixture of teaching and learning methods is beneficial for students. However, more work needs to be done to provide teacher assistance in the design of online learning and blended learning approach.</p>\",\"PeriodicalId\":36083,\"journal\":{\"name\":\"British and Irish Orthoptic Journal\",\"volume\":\"14 1\",\"pages\":\"56-63\"},\"PeriodicalIF\":0.0000,\"publicationDate\":\"2018-10-09\",\"publicationTypes\":\"Journal Article\",\"fieldsOfStudy\":null,\"isOpenAccess\":false,\"openAccessPdf\":\"https://www.ncbi.nlm.nih.gov/pmc/articles/PMC7510253/pdf/\",\"citationCount\":\"5\",\"resultStr\":null,\"platform\":\"Semanticscholar\",\"paperid\":null,\"PeriodicalName\":\"British and Irish Orthoptic Journal\",\"FirstCategoryId\":\"1085\",\"ListUrlMain\":\"https://doi.org/10.22599/bioj.119\",\"RegionNum\":0,\"RegionCategory\":null,\"ArticlePicture\":[],\"TitleCN\":null,\"AbstractTextCN\":null,\"PMCID\":null,\"EPubDate\":\"\",\"PubModel\":\"\",\"JCR\":\"Q3\",\"JCRName\":\"Medicine\",\"Score\":null,\"Total\":0}","platform":"Semanticscholar","paperid":null,"PeriodicalName":"British and Irish Orthoptic Journal","FirstCategoryId":"1085","ListUrlMain":"https://doi.org/10.22599/bioj.119","RegionNum":0,"RegionCategory":null,"ArticlePicture":[],"TitleCN":null,"AbstractTextCN":null,"PMCID":null,"EPubDate":"","PubModel":"","JCR":"Q3","JCRName":"Medicine","Score":null,"Total":0}
引用次数: 5

摘要

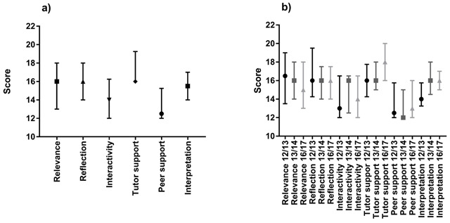
目的:评估学生在引入在线学习后的体验和学术成就。方法与材料:2011年,将在线学习活动引入到正视光学本科毕业班正视光学研究模块的教学中。在线学习活动在Moodle中创建和交付;一个开源的在线学习平台。2012-13学年、2013-14学年和2016-17学年的学生完成了一份在线问卷。问卷分为相关性、反思性、互动性、导师支持、同伴支持和解释6个类别,每个类别有4个问题。采用李克特5分量表对每个问题进行评分。每个类别的答案总和从4分(消极感知)到20分(积极感知)不等。在引入在线学习之前和包括在线学习在内的2年时间里,学生的表现是用回顾性的分数来评估的。结果:42名学生回复问卷,平均年龄23.0±2.3岁(21 ~ 32岁)。女性38例(90.5%),男性4例(9.5%)。结合3个学术队列,6类问卷间差异有统计学意义(p < 0.0001)。相关性(9-20分)、反思(11-20分)和导师支持(12-20分)三个类别获得了相同的高中位数16分。同伴支持导致最低的中位数得分为13分。三个学年队列的分离显示导师支持有显著差异(p = 0.03)。从2012-13年和2013-14年的16分上升到2016-17年的18分。2009-10年至2016-17年的队列评分存在显著差异(f7245 = 5.07: p < 0.0001)。与2012-13年(p < 0.0001)、2014-15年(p = 0.01)和2015-16年(p = 0.02)相比,2009-2010年组的平均得分显著低于2012-13年(p = 0.001), 2011-12年组的平均得分显著低于2012/13年(p = 0.001)。结论:在研究模块中加入在线学习对学生体验有积极的影响,尽管需要做更多的工作来改善同伴支持。自引入在线学习以来,正视学生获得的分数有所提高,这表明教学和学习方法的混合对学生有益。然而,在在线学习和混合学习方法的设计方面,需要做更多的工作来为教师提供帮助。
本文章由计算机程序翻译,如有差异,请以英文原文为准。

A Retrospective Study of Orthoptic Students' and Teaching Experience with the Introduction of Technology Promoting a Blended Learning Environment: <i>Experiences with technology in a blended learning environment</i>.

A Retrospective Study of Orthoptic Students' and Teaching Experience with the Introduction of Technology Promoting a Blended Learning Environment: Experiences with technology in a blended learning environment.

Purpose: Evaluation of the students' experience and academic achievements following the introduction of online learning.

Methods and materials: In 2011, online learning activities were introduced in the teaching of the Research in Orthoptics module for final year undergraduate orthoptic students. The online learning activities were created and delivered in Moodle; an open-source online learning platform. Students from the academic year groups of 2012-13, 2013-14 and 2016-17 completed an online questionnaire. The questionnaire was divided into 6 categories (relevance, reflection, interactivity, tutor support, peer support and interpretation) with 4 questions within each category. A 5-point Likert scale was used to score each question. The sum of answers within each category ranged from 4 (negative perception) to 20 (positive perception). Student performance was assessed using the marks retrospectively for 2 years before online learning was introduced and when online learning was included.

Results: Forty-two students replied to the questionnaire with a mean age of 23.0 ± 2.3 years (range 21-32). There were 38 females (90.5%) and 4 males (9.5%). Combining the 3 academic cohorts there was a significant difference between the 6 categories of the questionnaire (p < 0.0001). Three categories obtained the same high median score of 16: relevance (range 9-20), reflection (range 11-20) and tutor support (range 12-20). Peer support resulted in the lowest median score of 13. Separation of the three academic year cohorts' revealed significant differences for tutor support (p = 0.03). The score increased from 16 in 2012-13 and 2013-14 to 18 in 2016-17. Significant differences were found between the marks for the cohorts from 2009-10 to 2016-17 (F7,245 = 5.07: p < 0.0001). The mean mark for year group 2009-2010 was significantly less compared to 2012-13 (p < 0.0001), 2014-15 (p = 0.01) and 2015-16 (p = 0.02) and year group 2011-12's mark significantly less than 2012/13 (p = 0.001).

Conclusions: Including online learning in the research module had a positive impact on the student experience, although more work needs to be done to improve peer support. Marks obtained by the orthoptic students have improved since the introduction of online learning suggesting that a mixture of teaching and learning methods is beneficial for students. However, more work needs to be done to provide teacher assistance in the design of online learning and blended learning approach.

求助全文
通过发布文献求助,成功后即可免费获取论文全文。 去求助
来源期刊
British and Irish Orthoptic Journal
British and Irish Orthoptic Journal Health Professions-Optometry
CiteScore
1.50
自引率
0.00%
发文量
13
审稿时长
18 weeks
×
引用
GB/T 7714-2015
复制
MLA
复制
APA
复制
导出至
BibTeX EndNote RefMan NoteFirst NoteExpress
×
提示
您的信息不完整,为了账户安全,请先补充。
现在去补充
×
提示
您因"违规操作"
具体请查看互助需知
我知道了
×
提示
确定
请完成安全验证×
copy
已复制链接
快去分享给好友吧!
我知道了
右上角分享
点击右上角分享
0
联系我们:info@booksci.cn Book学术提供免费学术资源搜索服务,方便国内外学者检索中英文文献。致力于提供最便捷和优质的服务体验。 Copyright © 2023 布克学术 All rights reserved.
京ICP备2023020795号-1
ghs 京公网安备 11010802042870号
Book学术文献互助
Book学术文献互助群
群 号:604180095
Book学术官方微信