屈光参差性弱视对4 ~ 8岁儿童FNS和TNO立体测试阈值的影响。

Q3 Medicine
Aishat Ateiza, Helen Davis
{"title":"屈光参差性弱视对4 ~ 8岁儿童FNS和TNO立体测试阈值的影响。","authors":"Aishat Ateiza,&nbsp;Helen Davis","doi":"10.22599/bioj.123","DOIUrl":null,"url":null,"abstract":"<p><strong>Purpose: </strong>To investigate the relationship between stereoacuity and factors associated with anisometropic amblyopia in children aged 4-8 years.</p><p><strong>Methods: </strong>44 participants had their stereoacuity thresholds measured using the Frisby Near Stereotest (FNS) and the TNO Randot Stereotest (TNO). Participants were divided into anisometropic amblyopes and controls (normal uniocular visual acuity (VA) with or without glasses). FNS and TNO stereoacuity thresholds were compared based on different factors, which included interocular acuity difference (IAD), VA levels, and the degree of anisometropia.</p><p><strong>Results: </strong>All 44 participants achieved better stereoacuity with the FNS compared to the TNO (<i>p</i> = 0.045). The control group performed significantly better on the FNS (<i>p</i> = 0.012) and the TNO (<i>p</i> = 0.009) when compared with anisometropic amblyopes. The only statistically significant correlation was found between stereoacuity - as measured with FNS - and IAD (<i>p</i> = 0.009). However, the TNO showed a correlation in the presence of poor VA, larger IADs and a high degree of anisometropia.</p><p><strong>Conclusions: </strong>Stereoacuity thresholds are significantly affected by poor VA, large IAD and high degrees of spherical anisometropia when trying to distinguish the resolution of a target with the TNO yet the same factors do not appear to affect ability to distinguish the disparity of a target with the FNS. Controls also performed worse on the TNO.</p>","PeriodicalId":36083,"journal":{"name":"British and Irish Orthoptic Journal","volume":"15 1","pages":"72-81"},"PeriodicalIF":0.0000,"publicationDate":"2019-04-25","publicationTypes":"Journal Article","fieldsOfStudy":null,"isOpenAccess":false,"openAccessPdf":"https://www.ncbi.nlm.nih.gov/pmc/articles/PMC7510549/pdf/","citationCount":"2","resultStr":"{\"title\":\"The Effects of Anisometropic Amblyopia on the FNS and TNO Stereotest Thresholds in Four- to Eight-Year-Olds.\",\"authors\":\"Aishat Ateiza,&nbsp;Helen Davis\",\"doi\":\"10.22599/bioj.123\",\"DOIUrl\":null,\"url\":null,\"abstract\":\"<p><strong>Purpose: </strong>To investigate the relationship between stereoacuity and factors associated with anisometropic amblyopia in children aged 4-8 years.</p><p><strong>Methods: </strong>44 participants had their stereoacuity thresholds measured using the Frisby Near Stereotest (FNS) and the TNO Randot Stereotest (TNO). Participants were divided into anisometropic amblyopes and controls (normal uniocular visual acuity (VA) with or without glasses). FNS and TNO stereoacuity thresholds were compared based on different factors, which included interocular acuity difference (IAD), VA levels, and the degree of anisometropia.</p><p><strong>Results: </strong>All 44 participants achieved better stereoacuity with the FNS compared to the TNO (<i>p</i> = 0.045). The control group performed significantly better on the FNS (<i>p</i> = 0.012) and the TNO (<i>p</i> = 0.009) when compared with anisometropic amblyopes. The only statistically significant correlation was found between stereoacuity - as measured with FNS - and IAD (<i>p</i> = 0.009). However, the TNO showed a correlation in the presence of poor VA, larger IADs and a high degree of anisometropia.</p><p><strong>Conclusions: </strong>Stereoacuity thresholds are significantly affected by poor VA, large IAD and high degrees of spherical anisometropia when trying to distinguish the resolution of a target with the TNO yet the same factors do not appear to affect ability to distinguish the disparity of a target with the FNS. Controls also performed worse on the TNO.</p>\",\"PeriodicalId\":36083,\"journal\":{\"name\":\"British and Irish Orthoptic Journal\",\"volume\":\"15 1\",\"pages\":\"72-81\"},\"PeriodicalIF\":0.0000,\"publicationDate\":\"2019-04-25\",\"publicationTypes\":\"Journal Article\",\"fieldsOfStudy\":null,\"isOpenAccess\":false,\"openAccessPdf\":\"https://www.ncbi.nlm.nih.gov/pmc/articles/PMC7510549/pdf/\",\"citationCount\":\"2\",\"resultStr\":null,\"platform\":\"Semanticscholar\",\"paperid\":null,\"PeriodicalName\":\"British and Irish Orthoptic Journal\",\"FirstCategoryId\":\"1085\",\"ListUrlMain\":\"https://doi.org/10.22599/bioj.123\",\"RegionNum\":0,\"RegionCategory\":null,\"ArticlePicture\":[],\"TitleCN\":null,\"AbstractTextCN\":null,\"PMCID\":null,\"EPubDate\":\"\",\"PubModel\":\"\",\"JCR\":\"Q3\",\"JCRName\":\"Medicine\",\"Score\":null,\"Total\":0}","platform":"Semanticscholar","paperid":null,"PeriodicalName":"British and Irish Orthoptic Journal","FirstCategoryId":"1085","ListUrlMain":"https://doi.org/10.22599/bioj.123","RegionNum":0,"RegionCategory":null,"ArticlePicture":[],"TitleCN":null,"AbstractTextCN":null,"PMCID":null,"EPubDate":"","PubModel":"","JCR":"Q3","JCRName":"Medicine","Score":null,"Total":0}
引用次数: 2

摘要

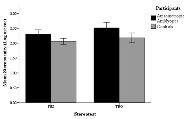
目的:探讨4 ~ 8岁儿童立体视敏度与屈光参差性弱视相关因素的关系。方法:采用Frisby近立体测试(FNS)和TNO随机立体测试(TNO)测量44例被试的立体视敏阈值。参与者被分为各向异性弱视和对照组(正常的单眼视力(VA),戴或不戴眼镜)。比较FNS和TNO的立体视敏锐度阈值,包括眼间视敏锐度差(IAD)、VA水平和屈光参差程度。结果:与TNO相比,所有44名参与者在FNS中获得了更好的立体视力(p = 0.045)。对照组在FNS (p = 0.012)和TNO (p = 0.009)上均优于各向异性弱视。唯一有统计学意义的相关性是在立体视锐度(用FNS测量)和IAD之间(p = 0.009)。然而,TNO在VA差、IADs较大和高度屈光参差的情况下显示出相关性。结论:在用TNO区分目标分辨率时,低VA、大IAD和高程度的球面屈光参差对立体视灵敏度阈值有显著影响,但这些因素似乎不影响用FNS区分目标的差异的能力。控制组在TNO上的表现也更差。
本文章由计算机程序翻译,如有差异,请以英文原文为准。

The Effects of Anisometropic Amblyopia on the FNS and TNO Stereotest Thresholds in Four- to Eight-Year-Olds.

The Effects of Anisometropic Amblyopia on the FNS and TNO Stereotest Thresholds in Four- to Eight-Year-Olds.

The Effects of Anisometropic Amblyopia on the FNS and TNO Stereotest Thresholds in Four- to Eight-Year-Olds.

The Effects of Anisometropic Amblyopia on the FNS and TNO Stereotest Thresholds in Four- to Eight-Year-Olds.

Purpose: To investigate the relationship between stereoacuity and factors associated with anisometropic amblyopia in children aged 4-8 years.

Methods: 44 participants had their stereoacuity thresholds measured using the Frisby Near Stereotest (FNS) and the TNO Randot Stereotest (TNO). Participants were divided into anisometropic amblyopes and controls (normal uniocular visual acuity (VA) with or without glasses). FNS and TNO stereoacuity thresholds were compared based on different factors, which included interocular acuity difference (IAD), VA levels, and the degree of anisometropia.

Results: All 44 participants achieved better stereoacuity with the FNS compared to the TNO (p = 0.045). The control group performed significantly better on the FNS (p = 0.012) and the TNO (p = 0.009) when compared with anisometropic amblyopes. The only statistically significant correlation was found between stereoacuity - as measured with FNS - and IAD (p = 0.009). However, the TNO showed a correlation in the presence of poor VA, larger IADs and a high degree of anisometropia.

Conclusions: Stereoacuity thresholds are significantly affected by poor VA, large IAD and high degrees of spherical anisometropia when trying to distinguish the resolution of a target with the TNO yet the same factors do not appear to affect ability to distinguish the disparity of a target with the FNS. Controls also performed worse on the TNO.

求助全文
通过发布文献求助,成功后即可免费获取论文全文。 去求助
来源期刊
British and Irish Orthoptic Journal
British and Irish Orthoptic Journal Health Professions-Optometry
CiteScore
1.50
自引率
0.00%
发文量
13
审稿时长
18 weeks
×
引用
GB/T 7714-2015
复制
MLA
复制
APA
复制
导出至
BibTeX EndNote RefMan NoteFirst NoteExpress
×
提示
您的信息不完整,为了账户安全,请先补充。
现在去补充
×
提示
您因"违规操作"
具体请查看互助需知
我知道了
×
提示
确定
请完成安全验证×
copy
已复制链接
快去分享给好友吧!
我知道了
右上角分享
点击右上角分享
0
联系我们:info@booksci.cn Book学术提供免费学术资源搜索服务,方便国内外学者检索中英文文献。致力于提供最便捷和优质的服务体验。 Copyright © 2023 布克学术 All rights reserved.
京ICP备2023020795号-1
ghs 京公网安备 11010802042870号
Book学术文献互助
Book学术文献互助群
群 号:604180095
Book学术官方微信