用不同用药前药物评价麻醉犬术中伤害感受的副交感神经张力活动(PTA)指数。

IF 3.2 Q1 VETERINARY SCIENCES
Christelle Mansour, Nour El Hachem, Patrick Jamous, Georges Saade, Emmanuel Boselli, Bernard Allaouchiche, Jeanne-Marie Bonnet, Stéphane Junot, Rana Chaaya
{"title":"用不同用药前药物评价麻醉犬术中伤害感受的副交感神经张力活动(PTA)指数。","authors":"Christelle Mansour,&nbsp;Nour El Hachem,&nbsp;Patrick Jamous,&nbsp;Georges Saade,&nbsp;Emmanuel Boselli,&nbsp;Bernard Allaouchiche,&nbsp;Jeanne-Marie Bonnet,&nbsp;Stéphane Junot,&nbsp;Rana Chaaya","doi":"10.1080/23144599.2020.1783090","DOIUrl":null,"url":null,"abstract":"<p><p>The dynamic variations of the Parasympathetic Tone Activity (PTA) index were evaluated to assess nociception in dogs undergoing anaesthetic protocols with different premedication drugs. Sixty-six dogs, divided into three groups of 22 dogs each, were given different premedication drugs \"morphine\" (0.2 mg/kg), \"morphine + medetomidine (5 μg/kg)\", \"morphine + acepromazine (0.03 mg/kg)\", then similarly induced and maintained under general anaesthesia. The PTA, HR (heart rate) and MAP (mean arterial pressure) were assessed at S (steady-state), Cut (cutaneous incision), PTA<sub>E</sub> (PTA Event, assessed 1 min before a significant PTA decrease), HDR (Haemodynamic reaction, assessed 5 min before an increase of ≥ 20% in HR and/or MAP). For each group, the dynamic variation of PTA (ΔPTA) was calculated and a Receiver Operating Characteristics (ROC) curve was performed to detect if any of the premedication drugs may alter the performance of PTA index to predict intraoperative haemodynamic reactions. In all groups, a haemodynamic reaction was detected after Cut, PTA<sub>E</sub> and HDR and was preceded with a significant decrease of PTA, except for \"morphine + medetomidine\" group which showed a significant drop of PTA only at PTA<sub>E</sub> and HDR. The ΔPTA showed a fair performance in all groups (a mean [95% CI] AUC of 0.73 [0.62-0.82], 0.70 [0.59-0.79] and 0.71 [0.59-0.80] respectively in morphine, morphine + ACP and morphine + medetomidine). Although ΔPTA was rather altered by the premedication drug, it was able to predict, to a certain extent, haemodynamic reactions in all groups.</p>","PeriodicalId":45744,"journal":{"name":"International Journal of Veterinary Science and Medicine","volume":" ","pages":"49-55"},"PeriodicalIF":3.2000,"publicationDate":"2020-07-07","publicationTypes":"Journal Article","fieldsOfStudy":null,"isOpenAccess":false,"openAccessPdf":"https://sci-hub-pdf.com/10.1080/23144599.2020.1783090","citationCount":"7","resultStr":"{\"title\":\"Performance of the Parasympathetic Tone Activity (PTA) index to assess the intraoperative nociception using different premedication drugs in anaesthetised dogs.\",\"authors\":\"Christelle Mansour,&nbsp;Nour El Hachem,&nbsp;Patrick Jamous,&nbsp;Georges Saade,&nbsp;Emmanuel Boselli,&nbsp;Bernard Allaouchiche,&nbsp;Jeanne-Marie Bonnet,&nbsp;Stéphane Junot,&nbsp;Rana Chaaya\",\"doi\":\"10.1080/23144599.2020.1783090\",\"DOIUrl\":null,\"url\":null,\"abstract\":\"<p><p>The dynamic variations of the Parasympathetic Tone Activity (PTA) index were evaluated to assess nociception in dogs undergoing anaesthetic protocols with different premedication drugs. Sixty-six dogs, divided into three groups of 22 dogs each, were given different premedication drugs \\\"morphine\\\" (0.2 mg/kg), \\\"morphine + medetomidine (5 μg/kg)\\\", \\\"morphine + acepromazine (0.03 mg/kg)\\\", then similarly induced and maintained under general anaesthesia. The PTA, HR (heart rate) and MAP (mean arterial pressure) were assessed at S (steady-state), Cut (cutaneous incision), PTA<sub>E</sub> (PTA Event, assessed 1 min before a significant PTA decrease), HDR (Haemodynamic reaction, assessed 5 min before an increase of ≥ 20% in HR and/or MAP). For each group, the dynamic variation of PTA (ΔPTA) was calculated and a Receiver Operating Characteristics (ROC) curve was performed to detect if any of the premedication drugs may alter the performance of PTA index to predict intraoperative haemodynamic reactions. In all groups, a haemodynamic reaction was detected after Cut, PTA<sub>E</sub> and HDR and was preceded with a significant decrease of PTA, except for \\\"morphine + medetomidine\\\" group which showed a significant drop of PTA only at PTA<sub>E</sub> and HDR. The ΔPTA showed a fair performance in all groups (a mean [95% CI] AUC of 0.73 [0.62-0.82], 0.70 [0.59-0.79] and 0.71 [0.59-0.80] respectively in morphine, morphine + ACP and morphine + medetomidine). Although ΔPTA was rather altered by the premedication drug, it was able to predict, to a certain extent, haemodynamic reactions in all groups.</p>\",\"PeriodicalId\":45744,\"journal\":{\"name\":\"International Journal of Veterinary Science and Medicine\",\"volume\":\" \",\"pages\":\"49-55\"},\"PeriodicalIF\":3.2000,\"publicationDate\":\"2020-07-07\",\"publicationTypes\":\"Journal Article\",\"fieldsOfStudy\":null,\"isOpenAccess\":false,\"openAccessPdf\":\"https://sci-hub-pdf.com/10.1080/23144599.2020.1783090\",\"citationCount\":\"7\",\"resultStr\":null,\"platform\":\"Semanticscholar\",\"paperid\":null,\"PeriodicalName\":\"International Journal of Veterinary Science and Medicine\",\"FirstCategoryId\":\"1085\",\"ListUrlMain\":\"https://doi.org/10.1080/23144599.2020.1783090\",\"RegionNum\":0,\"RegionCategory\":null,\"ArticlePicture\":[],\"TitleCN\":null,\"AbstractTextCN\":null,\"PMCID\":null,\"EPubDate\":\"\",\"PubModel\":\"\",\"JCR\":\"Q1\",\"JCRName\":\"VETERINARY SCIENCES\",\"Score\":null,\"Total\":0}","platform":"Semanticscholar","paperid":null,"PeriodicalName":"International Journal of Veterinary Science and Medicine","FirstCategoryId":"1085","ListUrlMain":"https://doi.org/10.1080/23144599.2020.1783090","RegionNum":0,"RegionCategory":null,"ArticlePicture":[],"TitleCN":null,"AbstractTextCN":null,"PMCID":null,"EPubDate":"","PubModel":"","JCR":"Q1","JCRName":"VETERINARY SCIENCES","Score":null,"Total":0}
引用次数: 7

摘要

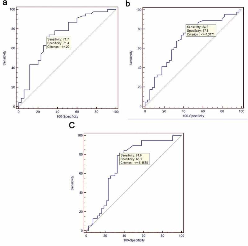
采用不同麻醉前药物对麻醉犬的副交感神经张力活动(PTA)指数进行动态变化评价。66只犬分为3组,每组22只犬,分别给予不同的用药前药物“吗啡”(0.2 mg/kg)、“吗啡+美托咪定(5 μg/kg)”、“吗啡+乙酰丙嗪(0.03 mg/kg)”,然后进行相同的诱导和全身麻醉维持。在S(稳态)、Cut(皮肤切口)、PTAE (PTA事件,在PTA显著降低前1分钟评估)、HDR(血流动力学反应,在HR和/或MAP升高≥20%前5分钟评估)时评估PTA、HR(心率)和MAP(平均动脉压)。计算各组患者PTA (ΔPTA)的动态变化,并绘制受试者工作特征(Receiver Operating characteristic, ROC)曲线,检测用药前药物是否会改变PTA指数的表现,以预测术中血流动力学反应。除吗啡+美托咪定组PTA仅在PTAE和HDR时显著下降外,其余各组均在Cut、PTAE和HDR后出现血流动力学反应,且在此之前PTA均显著下降。ΔPTA在吗啡组、吗啡+ ACP组和吗啡+美托咪定组的平均[95% CI] AUC分别为0.73[0.62-0.82]、0.70[0.59-0.79]和0.71[0.59-0.80]。虽然ΔPTA在用药前药物的作用下发生了很大的变化,但在一定程度上,它能够预测所有组的血流动力学反应。
本文章由计算机程序翻译,如有差异,请以英文原文为准。

Performance of the Parasympathetic Tone Activity (PTA) index to assess the intraoperative nociception using different premedication drugs in anaesthetised dogs.

Performance of the Parasympathetic Tone Activity (PTA) index to assess the intraoperative nociception using different premedication drugs in anaesthetised dogs.

Performance of the Parasympathetic Tone Activity (PTA) index to assess the intraoperative nociception using different premedication drugs in anaesthetised dogs.

Performance of the Parasympathetic Tone Activity (PTA) index to assess the intraoperative nociception using different premedication drugs in anaesthetised dogs.

The dynamic variations of the Parasympathetic Tone Activity (PTA) index were evaluated to assess nociception in dogs undergoing anaesthetic protocols with different premedication drugs. Sixty-six dogs, divided into three groups of 22 dogs each, were given different premedication drugs "morphine" (0.2 mg/kg), "morphine + medetomidine (5 μg/kg)", "morphine + acepromazine (0.03 mg/kg)", then similarly induced and maintained under general anaesthesia. The PTA, HR (heart rate) and MAP (mean arterial pressure) were assessed at S (steady-state), Cut (cutaneous incision), PTAE (PTA Event, assessed 1 min before a significant PTA decrease), HDR (Haemodynamic reaction, assessed 5 min before an increase of ≥ 20% in HR and/or MAP). For each group, the dynamic variation of PTA (ΔPTA) was calculated and a Receiver Operating Characteristics (ROC) curve was performed to detect if any of the premedication drugs may alter the performance of PTA index to predict intraoperative haemodynamic reactions. In all groups, a haemodynamic reaction was detected after Cut, PTAE and HDR and was preceded with a significant decrease of PTA, except for "morphine + medetomidine" group which showed a significant drop of PTA only at PTAE and HDR. The ΔPTA showed a fair performance in all groups (a mean [95% CI] AUC of 0.73 [0.62-0.82], 0.70 [0.59-0.79] and 0.71 [0.59-0.80] respectively in morphine, morphine + ACP and morphine + medetomidine). Although ΔPTA was rather altered by the premedication drug, it was able to predict, to a certain extent, haemodynamic reactions in all groups.

求助全文
通过发布文献求助,成功后即可免费获取论文全文。 去求助
来源期刊
CiteScore
4.80
自引率
0.00%
发文量
12
审稿时长
24 weeks
×
引用
GB/T 7714-2015
复制
MLA
复制
APA
复制
导出至
BibTeX EndNote RefMan NoteFirst NoteExpress
×
提示
您的信息不完整,为了账户安全,请先补充。
现在去补充
×
提示
您因"违规操作"
具体请查看互助需知
我知道了
×
提示
确定
请完成安全验证×
copy
已复制链接
快去分享给好友吧!
我知道了
右上角分享
点击右上角分享
0
联系我们:info@booksci.cn Book学术提供免费学术资源搜索服务,方便国内外学者检索中英文文献。致力于提供最便捷和优质的服务体验。 Copyright © 2023 布克学术 All rights reserved.
京ICP备2023020795号-1
ghs 京公网安备 11010802042870号
Book学术文献互助
Book学术文献互助群
群 号:604180095
Book学术官方微信