伊朗法尔斯省第一个流行高峰后CoVID-19死亡患者的特征

Q1 Environmental Science
Amir Emami, Fatemeh Javanmardi, Ali Akbari, Mohsen Moghadami, Hamid Bakhtiari, Farshad Falahati, Leila Hashemi Zadeh Fard Haghighi, Tahereh Rezaei
{"title":"伊朗法尔斯省第一个流行高峰后CoVID-19死亡患者的特征","authors":"Amir Emami,&nbsp;Fatemeh Javanmardi,&nbsp;Ali Akbari,&nbsp;Mohsen Moghadami,&nbsp;Hamid Bakhtiari,&nbsp;Farshad Falahati,&nbsp;Leila Hashemi Zadeh Fard Haghighi,&nbsp;Tahereh Rezaei","doi":"10.1080/20008686.2020.1781330","DOIUrl":null,"url":null,"abstract":"<p><p>Emergence of a new coronavirus causes a serious concern whether this can be stopped at all. The ongoing coronavirus disease created a substantial variation in the fatality rate over the world. The current report brought an explore about the epidemiological characteristics of deceased patients and the fatality rate after the first peak in Fars province which is the fourth most populous and large province in Iran. Of the 3702 confirmed cases with coVID-19, 87 patients passed away and so the fatality rate estimated 2.35. Also, it was derived that male sex, old age and underlying diseases especially diabetes were common characteristics of these victims.</p>","PeriodicalId":37446,"journal":{"name":"Infection Ecology and Epidemiology","volume":"10 1","pages":"1781330"},"PeriodicalIF":0.0000,"publicationDate":"2020-06-17","publicationTypes":"Journal Article","fieldsOfStudy":null,"isOpenAccess":false,"openAccessPdf":"https://sci-hub-pdf.com/10.1080/20008686.2020.1781330","citationCount":"12","resultStr":"{\"title\":\"Characteristics of deceased patients with CoVID-19 after the first peak of the epidemic in Fars province, Iran.\",\"authors\":\"Amir Emami,&nbsp;Fatemeh Javanmardi,&nbsp;Ali Akbari,&nbsp;Mohsen Moghadami,&nbsp;Hamid Bakhtiari,&nbsp;Farshad Falahati,&nbsp;Leila Hashemi Zadeh Fard Haghighi,&nbsp;Tahereh Rezaei\",\"doi\":\"10.1080/20008686.2020.1781330\",\"DOIUrl\":null,\"url\":null,\"abstract\":\"<p><p>Emergence of a new coronavirus causes a serious concern whether this can be stopped at all. The ongoing coronavirus disease created a substantial variation in the fatality rate over the world. The current report brought an explore about the epidemiological characteristics of deceased patients and the fatality rate after the first peak in Fars province which is the fourth most populous and large province in Iran. Of the 3702 confirmed cases with coVID-19, 87 patients passed away and so the fatality rate estimated 2.35. Also, it was derived that male sex, old age and underlying diseases especially diabetes were common characteristics of these victims.</p>\",\"PeriodicalId\":37446,\"journal\":{\"name\":\"Infection Ecology and Epidemiology\",\"volume\":\"10 1\",\"pages\":\"1781330\"},\"PeriodicalIF\":0.0000,\"publicationDate\":\"2020-06-17\",\"publicationTypes\":\"Journal Article\",\"fieldsOfStudy\":null,\"isOpenAccess\":false,\"openAccessPdf\":\"https://sci-hub-pdf.com/10.1080/20008686.2020.1781330\",\"citationCount\":\"12\",\"resultStr\":null,\"platform\":\"Semanticscholar\",\"paperid\":null,\"PeriodicalName\":\"Infection Ecology and Epidemiology\",\"FirstCategoryId\":\"1085\",\"ListUrlMain\":\"https://doi.org/10.1080/20008686.2020.1781330\",\"RegionNum\":0,\"RegionCategory\":null,\"ArticlePicture\":[],\"TitleCN\":null,\"AbstractTextCN\":null,\"PMCID\":null,\"EPubDate\":\"\",\"PubModel\":\"\",\"JCR\":\"Q1\",\"JCRName\":\"Environmental Science\",\"Score\":null,\"Total\":0}","platform":"Semanticscholar","paperid":null,"PeriodicalName":"Infection Ecology and Epidemiology","FirstCategoryId":"1085","ListUrlMain":"https://doi.org/10.1080/20008686.2020.1781330","RegionNum":0,"RegionCategory":null,"ArticlePicture":[],"TitleCN":null,"AbstractTextCN":null,"PMCID":null,"EPubDate":"","PubModel":"","JCR":"Q1","JCRName":"Environmental Science","Score":null,"Total":0}
引用次数: 12

摘要

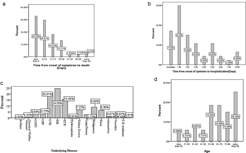
一种新型冠状病毒的出现引发了人们对这种情况能否完全阻止的严重担忧。持续的冠状病毒疾病造成了世界各地死亡率的巨大变化。本报告探讨了伊朗第四大人口大省法尔斯省死亡患者的流行病学特征和第一个高峰后的死亡率。在确诊的3702例新冠肺炎患者中,有87人死亡,死亡率估计为2.35。此外,得出的结论是,男性、老年和潜在疾病,特别是糖尿病,是这些受害者的共同特征。
本文章由计算机程序翻译,如有差异,请以英文原文为准。

Characteristics of deceased patients with CoVID-19 after the first peak of the epidemic in Fars province, Iran.

Characteristics of deceased patients with CoVID-19 after the first peak of the epidemic in Fars province, Iran.

Emergence of a new coronavirus causes a serious concern whether this can be stopped at all. The ongoing coronavirus disease created a substantial variation in the fatality rate over the world. The current report brought an explore about the epidemiological characteristics of deceased patients and the fatality rate after the first peak in Fars province which is the fourth most populous and large province in Iran. Of the 3702 confirmed cases with coVID-19, 87 patients passed away and so the fatality rate estimated 2.35. Also, it was derived that male sex, old age and underlying diseases especially diabetes were common characteristics of these victims.

求助全文
通过发布文献求助,成功后即可免费获取论文全文。 去求助
来源期刊
Infection Ecology and Epidemiology
Infection Ecology and Epidemiology Environmental Science-Environmental Science (miscellaneous)
CiteScore
8.70
自引率
0.00%
发文量
4
审稿时长
12 weeks
期刊介绍: Infection Ecology & Epidemiology aims to stimulate inter-disciplinary collaborations dealing with a range of subjects, from the plethora of zoonotic infections in humans, over diseases with implication in wildlife ecology, to advanced virology and bacteriology. The journal specifically welcomes papers from studies where researchers from multiple medical and ecological disciplines are collaborating so as to increase our knowledge of the emergence, spread and effect of new and re-emerged infectious diseases in humans, domestic animals and wildlife. Main areas of interest include, but are not limited to: 1.Zoonotic microbioorganisms 2.Vector borne infections 3.Gastrointestinal pathogens 4.Antimicrobial resistance 5.Zoonotic microbioorganisms in changing environment
×
引用
GB/T 7714-2015
复制
MLA
复制
APA
复制
导出至
BibTeX EndNote RefMan NoteFirst NoteExpress
×
提示
您的信息不完整,为了账户安全,请先补充。
现在去补充
×
提示
您因"违规操作"
具体请查看互助需知
我知道了
×
提示
确定
请完成安全验证×
copy
已复制链接
快去分享给好友吧!
我知道了
右上角分享
点击右上角分享
0
联系我们:info@booksci.cn Book学术提供免费学术资源搜索服务,方便国内外学者检索中英文文献。致力于提供最便捷和优质的服务体验。 Copyright © 2023 布克学术 All rights reserved.
京ICP备2023020795号-1
ghs 京公网安备 11010802042870号
Book学术文献互助
Book学术文献互助群
群 号:604180095
Book学术官方微信