良性甲状腺结节和甲状腺乳头状癌患者血清脂联素和前颗粒蛋白水平。

IF 4.2
Hyemi Kwon, Se Eun Park, Ji-Sup Yun, Cheol-Young Park
{"title":"良性甲状腺结节和甲状腺乳头状癌患者血清脂联素和前颗粒蛋白水平。","authors":"Hyemi Kwon,&nbsp;Se Eun Park,&nbsp;Ji-Sup Yun,&nbsp;Cheol-Young Park","doi":"10.3803/EnM.2020.35.2.396","DOIUrl":null,"url":null,"abstract":"<p><strong>Background: </strong>Obesity is associated with thyroid cancer risk. Adiponectin has insulin-sensitizing and anti-inflammatory effects, while progranulin is associated with inflammation and tumorigenesis. We investigated serum adiponectin and progranulin levels in patients with benign thyroid nodule (benign group) and papillary thyroid cancer (PTC; PTC group). The associations between these levels and the clinicopathological features of PTC were evaluated.</p><p><strong>Methods: </strong>We included 157 patients who underwent thyroid surgery (17% of benign and 83% of PTC group). Clinicopathological features including size, lymph node metastasis, extrathyroidal extension (ETE), multifocality, American Thyroid Association risk stratification were evaluated.</p><p><strong>Results: </strong>The age was 42.0 years, and 69% were female. Serum adiponectin and progranulin levels were 6.3 μg/mL and 101.5 ng/mL in the benign group and 5.4 μg/mL and 106.1 ng/mL in the PTC group, respectively (P=0.6 and P=0.4, respectively). Serum adiponectin levels showed no significant differences according to clinicopathological features of PTC. The proportions of patients with primary tumor size &gt;1 cm were 3%, 5%, 8%, and 8% according to serum progranulin level quartiles, respectively (P=0.03). The proportions of patients with microscopic/gross ETE were 8%/0%, 9%/1%, 11%/1%, and 11%/2% according to serum progranulin level quartiles, respectively. Median serum progranulin level was significantly higher in patients with PTC &gt;1 cm than in patients with papillary thyroid microcarcinoma (P=0.04, 115.3 ng/mL and 104.7 ng/mL, respectively).</p><p><strong>Conclusion: </strong>Serum adiponectin and progranulin levels showed no significant difference between benign and PTC groups. Increased serum progranulin levels were significantly associated with PTC &gt;1 cm and microscopic and gross ETE.</p>","PeriodicalId":520607,"journal":{"name":"Endocrinology and metabolism (Seoul, Korea)","volume":" ","pages":"396-406"},"PeriodicalIF":4.2000,"publicationDate":"2020-06-01","publicationTypes":"Journal Article","fieldsOfStudy":null,"isOpenAccess":false,"openAccessPdf":"https://ftp.ncbi.nlm.nih.gov/pub/pmc/oa_pdf/42/5a/enm-2020-35-2-396.PMC7386120.pdf","citationCount":"9","resultStr":"{\"title\":\"Serum Adiponectin and Progranulin Level in Patients with Benign Thyroid Nodule or Papillary Thyroid Cancer.\",\"authors\":\"Hyemi Kwon,&nbsp;Se Eun Park,&nbsp;Ji-Sup Yun,&nbsp;Cheol-Young Park\",\"doi\":\"10.3803/EnM.2020.35.2.396\",\"DOIUrl\":null,\"url\":null,\"abstract\":\"<p><strong>Background: </strong>Obesity is associated with thyroid cancer risk. Adiponectin has insulin-sensitizing and anti-inflammatory effects, while progranulin is associated with inflammation and tumorigenesis. We investigated serum adiponectin and progranulin levels in patients with benign thyroid nodule (benign group) and papillary thyroid cancer (PTC; PTC group). The associations between these levels and the clinicopathological features of PTC were evaluated.</p><p><strong>Methods: </strong>We included 157 patients who underwent thyroid surgery (17% of benign and 83% of PTC group). Clinicopathological features including size, lymph node metastasis, extrathyroidal extension (ETE), multifocality, American Thyroid Association risk stratification were evaluated.</p><p><strong>Results: </strong>The age was 42.0 years, and 69% were female. Serum adiponectin and progranulin levels were 6.3 μg/mL and 101.5 ng/mL in the benign group and 5.4 μg/mL and 106.1 ng/mL in the PTC group, respectively (P=0.6 and P=0.4, respectively). Serum adiponectin levels showed no significant differences according to clinicopathological features of PTC. The proportions of patients with primary tumor size &gt;1 cm were 3%, 5%, 8%, and 8% according to serum progranulin level quartiles, respectively (P=0.03). The proportions of patients with microscopic/gross ETE were 8%/0%, 9%/1%, 11%/1%, and 11%/2% according to serum progranulin level quartiles, respectively. Median serum progranulin level was significantly higher in patients with PTC &gt;1 cm than in patients with papillary thyroid microcarcinoma (P=0.04, 115.3 ng/mL and 104.7 ng/mL, respectively).</p><p><strong>Conclusion: </strong>Serum adiponectin and progranulin levels showed no significant difference between benign and PTC groups. Increased serum progranulin levels were significantly associated with PTC &gt;1 cm and microscopic and gross ETE.</p>\",\"PeriodicalId\":520607,\"journal\":{\"name\":\"Endocrinology and metabolism (Seoul, Korea)\",\"volume\":\" \",\"pages\":\"396-406\"},\"PeriodicalIF\":4.2000,\"publicationDate\":\"2020-06-01\",\"publicationTypes\":\"Journal Article\",\"fieldsOfStudy\":null,\"isOpenAccess\":false,\"openAccessPdf\":\"https://ftp.ncbi.nlm.nih.gov/pub/pmc/oa_pdf/42/5a/enm-2020-35-2-396.PMC7386120.pdf\",\"citationCount\":\"9\",\"resultStr\":null,\"platform\":\"Semanticscholar\",\"paperid\":null,\"PeriodicalName\":\"Endocrinology and metabolism (Seoul, Korea)\",\"FirstCategoryId\":\"3\",\"ListUrlMain\":\"https://doi.org/10.3803/EnM.2020.35.2.396\",\"RegionNum\":0,\"RegionCategory\":null,\"ArticlePicture\":[],\"TitleCN\":null,\"AbstractTextCN\":null,\"PMCID\":null,\"EPubDate\":\"2020/6/24 0:00:00\",\"PubModel\":\"Epub\",\"JCR\":\"\",\"JCRName\":\"\",\"Score\":null,\"Total\":0}","platform":"Semanticscholar","paperid":null,"PeriodicalName":"Endocrinology and metabolism (Seoul, Korea)","FirstCategoryId":"3","ListUrlMain":"https://doi.org/10.3803/EnM.2020.35.2.396","RegionNum":0,"RegionCategory":null,"ArticlePicture":[],"TitleCN":null,"AbstractTextCN":null,"PMCID":null,"EPubDate":"2020/6/24 0:00:00","PubModel":"Epub","JCR":"","JCRName":"","Score":null,"Total":0}
引用次数: 9

摘要

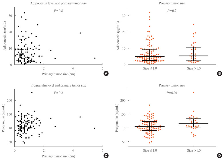
背景:肥胖与甲状腺癌风险相关。脂联素具有胰岛素增敏和抗炎作用,而前颗粒蛋白与炎症和肿瘤发生有关。我们研究了良性甲状腺结节(良性组)和甲状腺乳头状癌(PTC;PTC组织)。评估这些水平与PTC临床病理特征之间的关系。方法:我们纳入157例接受甲状腺手术的患者(17%为良性甲状腺手术,83%为PTC手术)。临床病理特征包括大小,淋巴结转移,甲状腺外展(ETE),多灶性,美国甲状腺协会危险分层进行评估。结果:年龄42.0岁,女性占69%。良性组血清脂联素、前蛋白水平分别为6.3、101.5 ng/mL, PTC组血清脂联素、前蛋白水平分别为5.4、106.1 ng/mL (P=0.6、0.4)。根据PTC的临床病理特征,血清脂联素水平无显著差异。原发肿瘤大小为1 cm的患者按血清颗粒前蛋白水平四分位数分别为3%、5%、8%和8% (P=0.03)。根据血清颗粒前蛋白水平四分位数,镜下/肉眼te患者的比例分别为8%/0%、9%/1%、11%/1%和11%/2%。PTC患者血清前颗粒蛋白水平中位数显著高于甲状腺乳头状微癌患者(P=0.04, 115.3 ng/mL和104.7 ng/mL)。结论:良性组与PTC组血清脂联素、前颗粒蛋白水平无显著性差异。血清颗粒前蛋白水平升高与PTC及1cm、镜下和肉眼ETE显著相关。
本文章由计算机程序翻译,如有差异,请以英文原文为准。

Serum Adiponectin and Progranulin Level in Patients with Benign Thyroid Nodule or Papillary Thyroid Cancer.

Serum Adiponectin and Progranulin Level in Patients with Benign Thyroid Nodule or Papillary Thyroid Cancer.

Serum Adiponectin and Progranulin Level in Patients with Benign Thyroid Nodule or Papillary Thyroid Cancer.

Serum Adiponectin and Progranulin Level in Patients with Benign Thyroid Nodule or Papillary Thyroid Cancer.

Background: Obesity is associated with thyroid cancer risk. Adiponectin has insulin-sensitizing and anti-inflammatory effects, while progranulin is associated with inflammation and tumorigenesis. We investigated serum adiponectin and progranulin levels in patients with benign thyroid nodule (benign group) and papillary thyroid cancer (PTC; PTC group). The associations between these levels and the clinicopathological features of PTC were evaluated.

Methods: We included 157 patients who underwent thyroid surgery (17% of benign and 83% of PTC group). Clinicopathological features including size, lymph node metastasis, extrathyroidal extension (ETE), multifocality, American Thyroid Association risk stratification were evaluated.

Results: The age was 42.0 years, and 69% were female. Serum adiponectin and progranulin levels were 6.3 μg/mL and 101.5 ng/mL in the benign group and 5.4 μg/mL and 106.1 ng/mL in the PTC group, respectively (P=0.6 and P=0.4, respectively). Serum adiponectin levels showed no significant differences according to clinicopathological features of PTC. The proportions of patients with primary tumor size >1 cm were 3%, 5%, 8%, and 8% according to serum progranulin level quartiles, respectively (P=0.03). The proportions of patients with microscopic/gross ETE were 8%/0%, 9%/1%, 11%/1%, and 11%/2% according to serum progranulin level quartiles, respectively. Median serum progranulin level was significantly higher in patients with PTC >1 cm than in patients with papillary thyroid microcarcinoma (P=0.04, 115.3 ng/mL and 104.7 ng/mL, respectively).

Conclusion: Serum adiponectin and progranulin levels showed no significant difference between benign and PTC groups. Increased serum progranulin levels were significantly associated with PTC >1 cm and microscopic and gross ETE.

求助全文
通过发布文献求助,成功后即可免费获取论文全文。 去求助
来源期刊
自引率
0.00%
发文量
0
×
引用
GB/T 7714-2015
复制
MLA
复制
APA
复制
导出至
BibTeX EndNote RefMan NoteFirst NoteExpress
×
提示
您的信息不完整,为了账户安全,请先补充。
现在去补充
×
提示
您因"违规操作"
具体请查看互助需知
我知道了
×
提示
确定
请完成安全验证×
copy
已复制链接
快去分享给好友吧!
我知道了
右上角分享
点击右上角分享
0
联系我们:info@booksci.cn Book学术提供免费学术资源搜索服务,方便国内外学者检索中英文文献。致力于提供最便捷和优质的服务体验。 Copyright © 2023 布克学术 All rights reserved.
京ICP备2023020795号-1
ghs 京公网安备 11010802042870号
Book学术文献互助
Book学术文献互助群
群 号:604180095
Book学术官方微信