人类骨骼中有限的骨小梁密度异质性。

Anatomy research international Pub Date : 2016-01-01 Epub Date: 2016-04-11 DOI:10.1155/2016/9295383
Habiba Chirchir
{"title":"人类骨骼中有限的骨小梁密度异质性。","authors":"Habiba Chirchir","doi":"10.1155/2016/9295383","DOIUrl":null,"url":null,"abstract":"<p><p>There is evidence for variation in trabecular bone density and volume within an individual skeleton, albeit in a few anatomical sites, which is partly dependent on mechanical loading. However, little is known regarding the basic variation in trabecular bone density throughout the skeleton in healthy human adults. This is because research on bone density has been confined to a few skeletal elements, which can be readily measured using available imaging technology particularly in clinical settings. This study comprehensively investigates the distribution of trabecular bone density within the human skeleton in nine skeletal sites (femur, proximal and distal tibia, third metatarsal, humerus, ulna, radius, third metacarpal, and axis) in a sample of N = 20 individuals (11 males and 9 females). pQCT results showed that the proximal ulna (mean = 231.3 mg/cm(3)) and axis vertebra (mean = 234.3 mg/cm(3)) displayed significantly greater (p < 0.01) trabecular bone density than other elements, whereas there was no significant variation among the rest of the elements (p > 0.01). The homogeneity of the majority of elements suggests that these sites are potentially responsive to site-specific genetic factors. Secondly, the lack of correlation between elements (p > 0.05) suggests that density measurements of one anatomical region are not necessarily accurate measures of other anatomical regions. </p>","PeriodicalId":89526,"journal":{"name":"Anatomy research international","volume":"2016 ","pages":"9295383"},"PeriodicalIF":0.0000,"publicationDate":"2016-01-01","publicationTypes":"Journal Article","fieldsOfStudy":null,"isOpenAccess":false,"openAccessPdf":"https://sci-hub-pdf.com/10.1155/2016/9295383","citationCount":"19","resultStr":"{\"title\":\"Limited Trabecular Bone Density Heterogeneity in the Human Skeleton.\",\"authors\":\"Habiba Chirchir\",\"doi\":\"10.1155/2016/9295383\",\"DOIUrl\":null,\"url\":null,\"abstract\":\"<p><p>There is evidence for variation in trabecular bone density and volume within an individual skeleton, albeit in a few anatomical sites, which is partly dependent on mechanical loading. However, little is known regarding the basic variation in trabecular bone density throughout the skeleton in healthy human adults. This is because research on bone density has been confined to a few skeletal elements, which can be readily measured using available imaging technology particularly in clinical settings. This study comprehensively investigates the distribution of trabecular bone density within the human skeleton in nine skeletal sites (femur, proximal and distal tibia, third metatarsal, humerus, ulna, radius, third metacarpal, and axis) in a sample of N = 20 individuals (11 males and 9 females). pQCT results showed that the proximal ulna (mean = 231.3 mg/cm(3)) and axis vertebra (mean = 234.3 mg/cm(3)) displayed significantly greater (p < 0.01) trabecular bone density than other elements, whereas there was no significant variation among the rest of the elements (p > 0.01). The homogeneity of the majority of elements suggests that these sites are potentially responsive to site-specific genetic factors. Secondly, the lack of correlation between elements (p > 0.05) suggests that density measurements of one anatomical region are not necessarily accurate measures of other anatomical regions. </p>\",\"PeriodicalId\":89526,\"journal\":{\"name\":\"Anatomy research international\",\"volume\":\"2016 \",\"pages\":\"9295383\"},\"PeriodicalIF\":0.0000,\"publicationDate\":\"2016-01-01\",\"publicationTypes\":\"Journal Article\",\"fieldsOfStudy\":null,\"isOpenAccess\":false,\"openAccessPdf\":\"https://sci-hub-pdf.com/10.1155/2016/9295383\",\"citationCount\":\"19\",\"resultStr\":null,\"platform\":\"Semanticscholar\",\"paperid\":null,\"PeriodicalName\":\"Anatomy research international\",\"FirstCategoryId\":\"1085\",\"ListUrlMain\":\"https://doi.org/10.1155/2016/9295383\",\"RegionNum\":0,\"RegionCategory\":null,\"ArticlePicture\":[],\"TitleCN\":null,\"AbstractTextCN\":null,\"PMCID\":null,\"EPubDate\":\"2016/4/11 0:00:00\",\"PubModel\":\"Epub\",\"JCR\":\"\",\"JCRName\":\"\",\"Score\":null,\"Total\":0}","platform":"Semanticscholar","paperid":null,"PeriodicalName":"Anatomy research international","FirstCategoryId":"1085","ListUrlMain":"https://doi.org/10.1155/2016/9295383","RegionNum":0,"RegionCategory":null,"ArticlePicture":[],"TitleCN":null,"AbstractTextCN":null,"PMCID":null,"EPubDate":"2016/4/11 0:00:00","PubModel":"Epub","JCR":"","JCRName":"","Score":null,"Total":0}
引用次数: 19

摘要

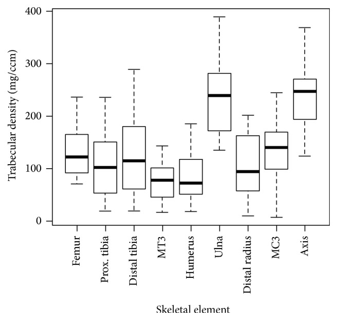
有证据表明,在单个骨骼中,尽管在少数解剖部位,骨小梁骨密度和体积存在差异,这在一定程度上取决于机械载荷。然而,关于健康成人整个骨骼中骨小梁骨密度的基本变化,我们所知甚少。这是因为对骨密度的研究一直局限于少数骨骼元素,这些元素可以很容易地利用现有的成像技术进行测量,特别是在临床环境中。本研究全面调查了人类骨骼中9个骨骼部位(股骨、胫骨近端和远端、第三跖骨、肱骨、尺骨、桡骨、第三掌骨和骨轴)的骨小梁骨密度分布,样本为N = 20人(11男9女)。pQCT结果显示,尺骨近端(平均值为231.3 mg/cm(3))和椎轴(平均值为234.3 mg/cm(3))骨小梁密度显著高于其他部位(p < 0.01),其余部位间差异不显著(p > 0.01)。大多数元件的同质性表明,这些位点可能对位点特异性遗传因素有反应。其次,各元素之间缺乏相关性(p > 0.05),表明一个解剖区域的密度测量不一定是其他解剖区域的准确测量。
本文章由计算机程序翻译,如有差异,请以英文原文为准。

Limited Trabecular Bone Density Heterogeneity in the Human Skeleton.

Limited Trabecular Bone Density Heterogeneity in the Human Skeleton.

Limited Trabecular Bone Density Heterogeneity in the Human Skeleton.

Limited Trabecular Bone Density Heterogeneity in the Human Skeleton.

There is evidence for variation in trabecular bone density and volume within an individual skeleton, albeit in a few anatomical sites, which is partly dependent on mechanical loading. However, little is known regarding the basic variation in trabecular bone density throughout the skeleton in healthy human adults. This is because research on bone density has been confined to a few skeletal elements, which can be readily measured using available imaging technology particularly in clinical settings. This study comprehensively investigates the distribution of trabecular bone density within the human skeleton in nine skeletal sites (femur, proximal and distal tibia, third metatarsal, humerus, ulna, radius, third metacarpal, and axis) in a sample of N = 20 individuals (11 males and 9 females). pQCT results showed that the proximal ulna (mean = 231.3 mg/cm(3)) and axis vertebra (mean = 234.3 mg/cm(3)) displayed significantly greater (p < 0.01) trabecular bone density than other elements, whereas there was no significant variation among the rest of the elements (p > 0.01). The homogeneity of the majority of elements suggests that these sites are potentially responsive to site-specific genetic factors. Secondly, the lack of correlation between elements (p > 0.05) suggests that density measurements of one anatomical region are not necessarily accurate measures of other anatomical regions.

求助全文
通过发布文献求助,成功后即可免费获取论文全文。 去求助
来源期刊
自引率
0.00%
发文量
0
×
引用
GB/T 7714-2015
复制
MLA
复制
APA
复制
导出至
BibTeX EndNote RefMan NoteFirst NoteExpress
×
提示
您的信息不完整,为了账户安全,请先补充。
现在去补充
×
提示
您因"违规操作"
具体请查看互助需知
我知道了
×
提示
确定
请完成安全验证×
copy
已复制链接
快去分享给好友吧!
我知道了
右上角分享
点击右上角分享
0
联系我们:info@booksci.cn Book学术提供免费学术资源搜索服务,方便国内外学者检索中英文文献。致力于提供最便捷和优质的服务体验。 Copyright © 2023 布克学术 All rights reserved.
京ICP备2023020795号-1
ghs 京公网安备 11010802042870号
Book学术文献互助
Book学术文献互助群
群 号:604180095
Book学术官方微信