卡拉古尼科绵羊(Ovis aries, L. 1758)和希腊山羊(Capra hircus, L. 1758)内外侧跖骨两种测量方法的比较

Anatomy research international Pub Date : 2014-01-01 Epub Date: 2014-10-30 DOI:10.1155/2014/529686
Aris Pourlis, Theodoros Chatzis, Panagiotis Katsoulos
{"title":"卡拉古尼科绵羊(Ovis aries, L. 1758)和希腊山羊(Capra hircus, L. 1758)内外侧跖骨两种测量方法的比较","authors":"Aris Pourlis,&nbsp;Theodoros Chatzis,&nbsp;Panagiotis Katsoulos","doi":"10.1155/2014/529686","DOIUrl":null,"url":null,"abstract":"<p><p>The objective of this study was to compare the metapodial lengths of sheep and goats measured with a caliper with those measured using a 2-dimensional digital method. Complementarily, the lengths of medial and lateral metapodials in these species were compared. The limbs of 30 ewes and 30 goats were used. After preparation, the lateral and medial length of the metacarpals and metatarsals were measured twice with a caliper. Afterwards, each bone was scanned and the same lengths were digitally measured twice using commercial software. Data analysis revealed strong linear relationship between the two methods but the absolute relative deviation of the measurements with the caliper was significantly higher than those with the 2-dimensional method (P < 0.05). All lengths measured with the caliper were significantly higher compared to those measured with the 2-dimensional method (P < 0.05). In goats, the lateral length of both metacarpals and metatarsals was significantly higher than medial length (P < 0.05); in sheep the lateral length was significantly higher compared to the medial one only in metatarsal bones (P < 0.05). In conclusion, the 2-dimensional method is more accurate for the measurement of the metapodials' length than the caliper and there is asymmetry between the medial and lateral metapodials in these species. </p>","PeriodicalId":89526,"journal":{"name":"Anatomy research international","volume":"2014 ","pages":"529686"},"PeriodicalIF":0.0000,"publicationDate":"2014-01-01","publicationTypes":"Journal Article","fieldsOfStudy":null,"isOpenAccess":false,"openAccessPdf":"https://sci-hub-pdf.com/10.1155/2014/529686","citationCount":"1","resultStr":"{\"title\":\"Comparison of Two Methods for the Measurement of Medial and Lateral Metapodial Bones in Karagouniko Sheep (Ovis aries, L. 1758) and Hellenic Goat (Capra hircus, L. 1758).\",\"authors\":\"Aris Pourlis,&nbsp;Theodoros Chatzis,&nbsp;Panagiotis Katsoulos\",\"doi\":\"10.1155/2014/529686\",\"DOIUrl\":null,\"url\":null,\"abstract\":\"<p><p>The objective of this study was to compare the metapodial lengths of sheep and goats measured with a caliper with those measured using a 2-dimensional digital method. Complementarily, the lengths of medial and lateral metapodials in these species were compared. The limbs of 30 ewes and 30 goats were used. After preparation, the lateral and medial length of the metacarpals and metatarsals were measured twice with a caliper. Afterwards, each bone was scanned and the same lengths were digitally measured twice using commercial software. Data analysis revealed strong linear relationship between the two methods but the absolute relative deviation of the measurements with the caliper was significantly higher than those with the 2-dimensional method (P < 0.05). All lengths measured with the caliper were significantly higher compared to those measured with the 2-dimensional method (P < 0.05). In goats, the lateral length of both metacarpals and metatarsals was significantly higher than medial length (P < 0.05); in sheep the lateral length was significantly higher compared to the medial one only in metatarsal bones (P < 0.05). In conclusion, the 2-dimensional method is more accurate for the measurement of the metapodials' length than the caliper and there is asymmetry between the medial and lateral metapodials in these species. </p>\",\"PeriodicalId\":89526,\"journal\":{\"name\":\"Anatomy research international\",\"volume\":\"2014 \",\"pages\":\"529686\"},\"PeriodicalIF\":0.0000,\"publicationDate\":\"2014-01-01\",\"publicationTypes\":\"Journal Article\",\"fieldsOfStudy\":null,\"isOpenAccess\":false,\"openAccessPdf\":\"https://sci-hub-pdf.com/10.1155/2014/529686\",\"citationCount\":\"1\",\"resultStr\":null,\"platform\":\"Semanticscholar\",\"paperid\":null,\"PeriodicalName\":\"Anatomy research international\",\"FirstCategoryId\":\"1085\",\"ListUrlMain\":\"https://doi.org/10.1155/2014/529686\",\"RegionNum\":0,\"RegionCategory\":null,\"ArticlePicture\":[],\"TitleCN\":null,\"AbstractTextCN\":null,\"PMCID\":null,\"EPubDate\":\"2014/10/30 0:00:00\",\"PubModel\":\"Epub\",\"JCR\":\"\",\"JCRName\":\"\",\"Score\":null,\"Total\":0}","platform":"Semanticscholar","paperid":null,"PeriodicalName":"Anatomy research international","FirstCategoryId":"1085","ListUrlMain":"https://doi.org/10.1155/2014/529686","RegionNum":0,"RegionCategory":null,"ArticlePicture":[],"TitleCN":null,"AbstractTextCN":null,"PMCID":null,"EPubDate":"2014/10/30 0:00:00","PubModel":"Epub","JCR":"","JCRName":"","Score":null,"Total":0}
引用次数: 1

摘要

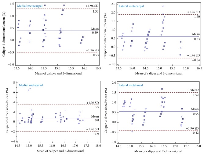
本研究的目的是比较用卡尺测量的绵羊和山羊的跖骨长度与用二维数字方法测量的长度。此外,还比较了这些物种的内侧和外侧跖骨的长度。使用30只母羊和30只山羊的四肢。准备后,用卡尺测量两次掌骨和跖骨的外侧和内侧长度。之后,每块骨头都被扫描,同样的长度用商业软件进行了两次数字测量。数据分析显示,两种方法之间存在较强的线性关系,但卡尺测量的绝对相对偏差显著高于二维方法(P < 0.05)。卡尺测量的所有长度均显著高于二维法测量的长度(P < 0.05)。山羊掌骨和跖骨外侧长度均显著高于内侧长度(P < 0.05);绵羊的外侧长度显著高于内侧长度(P < 0.05)。综上所述,二维法测量跖骨长度比卡尺法更准确,而且这些物种的内侧和外侧跖骨之间存在不对称。
本文章由计算机程序翻译,如有差异,请以英文原文为准。

Comparison of Two Methods for the Measurement of Medial and Lateral Metapodial Bones in Karagouniko Sheep (Ovis aries, L. 1758) and Hellenic Goat (Capra hircus, L. 1758).

Comparison of Two Methods for the Measurement of Medial and Lateral Metapodial Bones in Karagouniko Sheep (Ovis aries, L. 1758) and Hellenic Goat (Capra hircus, L. 1758).

Comparison of Two Methods for the Measurement of Medial and Lateral Metapodial Bones in Karagouniko Sheep (Ovis aries, L. 1758) and Hellenic Goat (Capra hircus, L. 1758).

Comparison of Two Methods for the Measurement of Medial and Lateral Metapodial Bones in Karagouniko Sheep (Ovis aries, L. 1758) and Hellenic Goat (Capra hircus, L. 1758).

The objective of this study was to compare the metapodial lengths of sheep and goats measured with a caliper with those measured using a 2-dimensional digital method. Complementarily, the lengths of medial and lateral metapodials in these species were compared. The limbs of 30 ewes and 30 goats were used. After preparation, the lateral and medial length of the metacarpals and metatarsals were measured twice with a caliper. Afterwards, each bone was scanned and the same lengths were digitally measured twice using commercial software. Data analysis revealed strong linear relationship between the two methods but the absolute relative deviation of the measurements with the caliper was significantly higher than those with the 2-dimensional method (P < 0.05). All lengths measured with the caliper were significantly higher compared to those measured with the 2-dimensional method (P < 0.05). In goats, the lateral length of both metacarpals and metatarsals was significantly higher than medial length (P < 0.05); in sheep the lateral length was significantly higher compared to the medial one only in metatarsal bones (P < 0.05). In conclusion, the 2-dimensional method is more accurate for the measurement of the metapodials' length than the caliper and there is asymmetry between the medial and lateral metapodials in these species.

求助全文
通过发布文献求助,成功后即可免费获取论文全文。 去求助
来源期刊
自引率
0.00%
发文量
0
×
引用
GB/T 7714-2015
复制
MLA
复制
APA
复制
导出至
BibTeX EndNote RefMan NoteFirst NoteExpress
×
提示
您的信息不完整,为了账户安全,请先补充。
现在去补充
×
提示
您因"违规操作"
具体请查看互助需知
我知道了
×
提示
确定
请完成安全验证×
copy
已复制链接
快去分享给好友吧!
我知道了
右上角分享
点击右上角分享
0
联系我们:info@booksci.cn Book学术提供免费学术资源搜索服务,方便国内外学者检索中英文文献。致力于提供最便捷和优质的服务体验。 Copyright © 2023 布克学术 All rights reserved.
京ICP备2023020795号-1
ghs 京公网安备 11010802042870号
Book学术文献互助
Book学术文献互助群
群 号:604180095
Book学术官方微信