生乳冷藏期间嗜中性和嗜心理营养细菌群体的抗生素耐药性趋势。

ISRN Microbiology Pub Date : 2012-03-12 Print Date: 2012-01-01 DOI:10.5402/2012/918208
Patricia Munsch-Alatossava, Jean-Pierre Gauchi, Bhawani Chamlagain, Tapani Alatossava
{"title":"生乳冷藏期间嗜中性和嗜心理营养细菌群体的抗生素耐药性趋势。","authors":"Patricia Munsch-Alatossava, Jean-Pierre Gauchi, Bhawani Chamlagain, Tapani Alatossava","doi":"10.5402/2012/918208","DOIUrl":null,"url":null,"abstract":"<p><p>Psychrotrophic bacteria in raw milk are most well known for their spoilage potential and cause significant economic losses in the dairy industry. Despite their ability to produce several exoenzyme types at low temperatures, psychrotrophs that dominate the microflora at the time of spoilage are generally considered benign bacteria. It was recently reported that raw milk-spoiling Gram-negative-psychrotrophs frequently carried antibiotic resistance (AR) features. The present study evaluated AR to four antibiotics (ABs) (gentamicin, ceftazidime, levofloxacin, and trimethoprim-sulfamethoxazole) in mesophilic and psychrotrophic bacterial populations recovered from 18 raw milk samples, after four days storage at 4°C or 6°C. Robust analysis of variance and non parametric statistics (e.g., REGW and NPS) revealed that AR prevalence among psychrotrophs, for milk samples stored at 4°C, often equalled the initial levels and equalled or increased during the cold storage at 6°C, depending on the AB. The study performed at 4°C with an intermediate sampling point at day 2 suggested that (1) different psychrotrophic communities with varying AR levels dominate over time and (2) that AR (determined from relative amounts) was most prevalent, transiently, after 2-day storage in psychrotrophic or mesophilic populations, most importantly at a stage where total counts were below or around 10(5) CFU/mL, at levels at which the milk is acceptable for industrial dairy industrial processes.</p>","PeriodicalId":14849,"journal":{"name":"ISRN Microbiology","volume":"2012 ","pages":"918208"},"PeriodicalIF":0.0000,"publicationDate":"2012-03-12","publicationTypes":"Journal Article","fieldsOfStudy":null,"isOpenAccess":false,"openAccessPdf":"https://www.ncbi.nlm.nih.gov/pmc/articles/PMC3658802/pdf/","citationCount":"0","resultStr":"{\"title\":\"Trends of Antibiotic Resistance in Mesophilic and Psychrotrophic Bacterial Populations during Cold Storage of Raw Milk.\",\"authors\":\"Patricia Munsch-Alatossava, Jean-Pierre Gauchi, Bhawani Chamlagain, Tapani Alatossava\",\"doi\":\"10.5402/2012/918208\",\"DOIUrl\":null,\"url\":null,\"abstract\":\"<p><p>Psychrotrophic bacteria in raw milk are most well known for their spoilage potential and cause significant economic losses in the dairy industry. Despite their ability to produce several exoenzyme types at low temperatures, psychrotrophs that dominate the microflora at the time of spoilage are generally considered benign bacteria. It was recently reported that raw milk-spoiling Gram-negative-psychrotrophs frequently carried antibiotic resistance (AR) features. The present study evaluated AR to four antibiotics (ABs) (gentamicin, ceftazidime, levofloxacin, and trimethoprim-sulfamethoxazole) in mesophilic and psychrotrophic bacterial populations recovered from 18 raw milk samples, after four days storage at 4°C or 6°C. Robust analysis of variance and non parametric statistics (e.g., REGW and NPS) revealed that AR prevalence among psychrotrophs, for milk samples stored at 4°C, often equalled the initial levels and equalled or increased during the cold storage at 6°C, depending on the AB. The study performed at 4°C with an intermediate sampling point at day 2 suggested that (1) different psychrotrophic communities with varying AR levels dominate over time and (2) that AR (determined from relative amounts) was most prevalent, transiently, after 2-day storage in psychrotrophic or mesophilic populations, most importantly at a stage where total counts were below or around 10(5) CFU/mL, at levels at which the milk is acceptable for industrial dairy industrial processes.</p>\",\"PeriodicalId\":14849,\"journal\":{\"name\":\"ISRN Microbiology\",\"volume\":\"2012 \",\"pages\":\"918208\"},\"PeriodicalIF\":0.0000,\"publicationDate\":\"2012-03-12\",\"publicationTypes\":\"Journal Article\",\"fieldsOfStudy\":null,\"isOpenAccess\":false,\"openAccessPdf\":\"https://www.ncbi.nlm.nih.gov/pmc/articles/PMC3658802/pdf/\",\"citationCount\":\"0\",\"resultStr\":null,\"platform\":\"Semanticscholar\",\"paperid\":null,\"PeriodicalName\":\"ISRN Microbiology\",\"FirstCategoryId\":\"1085\",\"ListUrlMain\":\"https://doi.org/10.5402/2012/918208\",\"RegionNum\":0,\"RegionCategory\":null,\"ArticlePicture\":[],\"TitleCN\":null,\"AbstractTextCN\":null,\"PMCID\":null,\"EPubDate\":\"2012/1/1 0:00:00\",\"PubModel\":\"Print\",\"JCR\":\"\",\"JCRName\":\"\",\"Score\":null,\"Total\":0}","platform":"Semanticscholar","paperid":null,"PeriodicalName":"ISRN Microbiology","FirstCategoryId":"1085","ListUrlMain":"https://doi.org/10.5402/2012/918208","RegionNum":0,"RegionCategory":null,"ArticlePicture":[],"TitleCN":null,"AbstractTextCN":null,"PMCID":null,"EPubDate":"2012/1/1 0:00:00","PubModel":"Print","JCR":"","JCRName":"","Score":null,"Total":0}
引用次数: 0

摘要

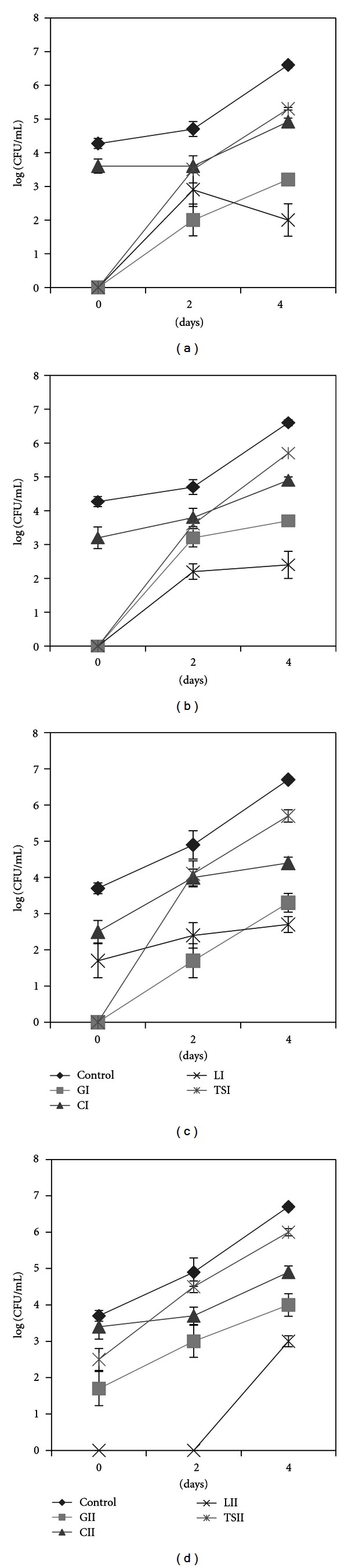
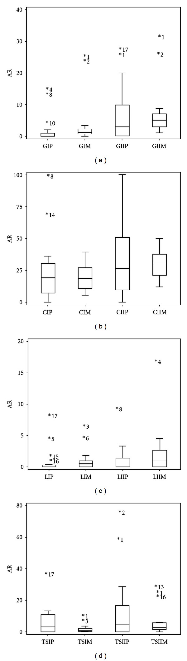
原奶中的嗜心性细菌因其潜在的腐败能力而广为人知,并给乳制品行业造成重大经济损失。尽管它们能在低温下产生几种外酵素,但在变质时主导微生物区系的嗜精神营养菌通常被认为是良性细菌。最近有报道称,生乳腐败的革兰氏阴性心理嗜好菌经常带有抗生素耐药性(AR)特征。本研究评估了在 4°C 或 6°C 下贮存四天后,从 18 个生乳样本中回收的嗜中性和嗜心理细菌群对四种抗生素(庆大霉素、头孢他啶、左氧氟沙星和三甲氧苄氨嘧啶-磺胺甲噁唑)的耐药性。稳健的方差分析和非参数统计(如 REGW 和 NPS)表明,4°C 下贮藏的牛奶样本中精神嗜养菌的 AR 感染率通常与初始水平持平,而在 6°C 的冷藏过程中则与初始水平持平或有所增加,具体取决于 AB。在 4 摄氏度下进行的研究以及第 2 天的中间取样点表明:(1) 随着时间的推移,具有不同 AR 水平的不同嗜精神营养群落占主导地位;(2) 在嗜精神营养群落或中嗜酸性群落中,AR(根据相对数量确定)在贮藏 2 天后最普遍,最重要的是在总计数低于或接近 10(5) CFU/mL 的阶段,即牛奶可被工业乳品加工接受的水平。
本文章由计算机程序翻译,如有差异,请以英文原文为准。

Trends of Antibiotic Resistance in Mesophilic and Psychrotrophic Bacterial Populations during Cold Storage of Raw Milk.

Trends of Antibiotic Resistance in Mesophilic and Psychrotrophic Bacterial Populations during Cold Storage of Raw Milk.

Trends of Antibiotic Resistance in Mesophilic and Psychrotrophic Bacterial Populations during Cold Storage of Raw Milk.

Trends of Antibiotic Resistance in Mesophilic and Psychrotrophic Bacterial Populations during Cold Storage of Raw Milk.

Psychrotrophic bacteria in raw milk are most well known for their spoilage potential and cause significant economic losses in the dairy industry. Despite their ability to produce several exoenzyme types at low temperatures, psychrotrophs that dominate the microflora at the time of spoilage are generally considered benign bacteria. It was recently reported that raw milk-spoiling Gram-negative-psychrotrophs frequently carried antibiotic resistance (AR) features. The present study evaluated AR to four antibiotics (ABs) (gentamicin, ceftazidime, levofloxacin, and trimethoprim-sulfamethoxazole) in mesophilic and psychrotrophic bacterial populations recovered from 18 raw milk samples, after four days storage at 4°C or 6°C. Robust analysis of variance and non parametric statistics (e.g., REGW and NPS) revealed that AR prevalence among psychrotrophs, for milk samples stored at 4°C, often equalled the initial levels and equalled or increased during the cold storage at 6°C, depending on the AB. The study performed at 4°C with an intermediate sampling point at day 2 suggested that (1) different psychrotrophic communities with varying AR levels dominate over time and (2) that AR (determined from relative amounts) was most prevalent, transiently, after 2-day storage in psychrotrophic or mesophilic populations, most importantly at a stage where total counts were below or around 10(5) CFU/mL, at levels at which the milk is acceptable for industrial dairy industrial processes.

求助全文
通过发布文献求助,成功后即可免费获取论文全文。 去求助
来源期刊
自引率
0.00%
发文量
0
×
引用
GB/T 7714-2015
复制
MLA
复制
APA
复制
导出至
BibTeX EndNote RefMan NoteFirst NoteExpress
×
提示
您的信息不完整,为了账户安全,请先补充。
现在去补充
×
提示
您因"违规操作"
具体请查看互助需知
我知道了
×
提示
确定
请完成安全验证×
copy
已复制链接
快去分享给好友吧!
我知道了
右上角分享
点击右上角分享
0
联系我们:info@booksci.cn Book学术提供免费学术资源搜索服务,方便国内外学者检索中英文文献。致力于提供最便捷和优质的服务体验。 Copyright © 2023 布克学术 All rights reserved.
京ICP备2023020795号-1
ghs 京公网安备 11010802042870号
Book学术文献互助
Book学术文献互助群
群 号:604180095
Book学术官方微信