白杨叶α-淀粉酶体外抑制活性研究。

ISRN Pharmacology Pub Date : 2012-01-01 Epub Date: 2012-03-20 DOI:10.5402/2012/515634
R Sangeetha, N Vedasree
{"title":"白杨叶α-淀粉酶体外抑制活性研究。","authors":"R Sangeetha,&nbsp;N Vedasree","doi":"10.5402/2012/515634","DOIUrl":null,"url":null,"abstract":"<p><p>Postprandial hyperglycemia is a prime characteristic of diabetes mellitus and has been a focus in the therapy for diabetes. One of the therapeutic approaches which involve decreasing hyperglycemia aims at inhibiting the enzyme α-amylase. The leaves of T. populnea were studied for the presence of amylase inhibitors. The fractions obtained by successive fractionation using solvents of varying polarity were studied for the presence of primary and secondary metabolites. The total phenolic content of the different fractions was determined by HPLC and was correlated with their amylase inhibitory potential. Similarly, the protein content of the extracts was also estimated to understand the nature of the inhibitor present. This study shows that the leaves of T. populnea were effective in inhibiting α-amylase, thereby proving to be potential hyperglycemic agents.</p>","PeriodicalId":14662,"journal":{"name":"ISRN Pharmacology","volume":"2012 ","pages":"515634"},"PeriodicalIF":0.0000,"publicationDate":"2012-01-01","publicationTypes":"Journal Article","fieldsOfStudy":null,"isOpenAccess":false,"openAccessPdf":"https://sci-hub-pdf.com/10.5402/2012/515634","citationCount":"50","resultStr":"{\"title\":\"In Vitro  α-Amylase Inhibitory Activity of the Leaves of Thespesia populnea.\",\"authors\":\"R Sangeetha,&nbsp;N Vedasree\",\"doi\":\"10.5402/2012/515634\",\"DOIUrl\":null,\"url\":null,\"abstract\":\"<p><p>Postprandial hyperglycemia is a prime characteristic of diabetes mellitus and has been a focus in the therapy for diabetes. One of the therapeutic approaches which involve decreasing hyperglycemia aims at inhibiting the enzyme α-amylase. The leaves of T. populnea were studied for the presence of amylase inhibitors. The fractions obtained by successive fractionation using solvents of varying polarity were studied for the presence of primary and secondary metabolites. The total phenolic content of the different fractions was determined by HPLC and was correlated with their amylase inhibitory potential. Similarly, the protein content of the extracts was also estimated to understand the nature of the inhibitor present. This study shows that the leaves of T. populnea were effective in inhibiting α-amylase, thereby proving to be potential hyperglycemic agents.</p>\",\"PeriodicalId\":14662,\"journal\":{\"name\":\"ISRN Pharmacology\",\"volume\":\"2012 \",\"pages\":\"515634\"},\"PeriodicalIF\":0.0000,\"publicationDate\":\"2012-01-01\",\"publicationTypes\":\"Journal Article\",\"fieldsOfStudy\":null,\"isOpenAccess\":false,\"openAccessPdf\":\"https://sci-hub-pdf.com/10.5402/2012/515634\",\"citationCount\":\"50\",\"resultStr\":null,\"platform\":\"Semanticscholar\",\"paperid\":null,\"PeriodicalName\":\"ISRN Pharmacology\",\"FirstCategoryId\":\"1085\",\"ListUrlMain\":\"https://doi.org/10.5402/2012/515634\",\"RegionNum\":0,\"RegionCategory\":null,\"ArticlePicture\":[],\"TitleCN\":null,\"AbstractTextCN\":null,\"PMCID\":null,\"EPubDate\":\"2012/3/20 0:00:00\",\"PubModel\":\"Epub\",\"JCR\":\"\",\"JCRName\":\"\",\"Score\":null,\"Total\":0}","platform":"Semanticscholar","paperid":null,"PeriodicalName":"ISRN Pharmacology","FirstCategoryId":"1085","ListUrlMain":"https://doi.org/10.5402/2012/515634","RegionNum":0,"RegionCategory":null,"ArticlePicture":[],"TitleCN":null,"AbstractTextCN":null,"PMCID":null,"EPubDate":"2012/3/20 0:00:00","PubModel":"Epub","JCR":"","JCRName":"","Score":null,"Total":0}
引用次数: 50

摘要

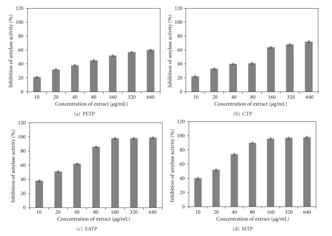
餐后高血糖是糖尿病的主要特征,一直是糖尿病治疗的热点。降低高血糖的治疗方法之一是抑制α-淀粉酶。研究了白杨叶片中淀粉酶抑制剂的存在。用不同极性的溶剂连续分馏得到的馏分研究了初级和次级代谢物的存在。采用高效液相色谱法测定不同馏分的总酚含量,并测定其淀粉酶抑制电位。同样,也估计了提取物的蛋白质含量,以了解存在的抑制剂的性质。本研究表明,白杨叶具有抑制α-淀粉酶的作用,是一种潜在的高血糖药物。
本文章由计算机程序翻译,如有差异,请以英文原文为准。

In Vitro  α-Amylase Inhibitory Activity of the Leaves of Thespesia populnea.

In Vitro  α-Amylase Inhibitory Activity of the Leaves of Thespesia populnea.

In Vitro  α-Amylase Inhibitory Activity of the Leaves of Thespesia populnea.

In Vitro  α-Amylase Inhibitory Activity of the Leaves of Thespesia populnea.

Postprandial hyperglycemia is a prime characteristic of diabetes mellitus and has been a focus in the therapy for diabetes. One of the therapeutic approaches which involve decreasing hyperglycemia aims at inhibiting the enzyme α-amylase. The leaves of T. populnea were studied for the presence of amylase inhibitors. The fractions obtained by successive fractionation using solvents of varying polarity were studied for the presence of primary and secondary metabolites. The total phenolic content of the different fractions was determined by HPLC and was correlated with their amylase inhibitory potential. Similarly, the protein content of the extracts was also estimated to understand the nature of the inhibitor present. This study shows that the leaves of T. populnea were effective in inhibiting α-amylase, thereby proving to be potential hyperglycemic agents.

求助全文
通过发布文献求助,成功后即可免费获取论文全文。 去求助
来源期刊
自引率
0.00%
发文量
0
×
引用
GB/T 7714-2015
复制
MLA
复制
APA
复制
导出至
BibTeX EndNote RefMan NoteFirst NoteExpress
×
提示
您的信息不完整,为了账户安全,请先补充。
现在去补充
×
提示
您因"违规操作"
具体请查看互助需知
我知道了
×
提示
确定
请完成安全验证×
copy
已复制链接
快去分享给好友吧!
我知道了
右上角分享
点击右上角分享
0
联系我们:info@booksci.cn Book学术提供免费学术资源搜索服务,方便国内外学者检索中英文文献。致力于提供最便捷和优质的服务体验。 Copyright © 2023 布克学术 All rights reserved.
京ICP备2023020795号-1
ghs 京公网安备 11010802042870号
Book学术文献互助
Book学术文献互助群
群 号:604180095
Book学术官方微信