儿童造血干细胞移植受者慢性肾脏疾病的5年观察-单中心经验

IF 1.3 Q3 PEDIATRICS
International Journal of Pediatrics Pub Date : 2025-10-14 eCollection Date: 2025-01-01 DOI:10.1155/ijpe/5335429
Katarzyna Gąsowska, Katarzyna Zachwieja, Monika Miklaszewska, Aleksandra Krasowska-Kwiecień, Jolanta Goździk, Dorota Drożdż
{"title":"儿童造血干细胞移植受者慢性肾脏疾病的5年观察-单中心经验","authors":"Katarzyna Gąsowska, Katarzyna Zachwieja, Monika Miklaszewska, Aleksandra Krasowska-Kwiecień, Jolanta Goździk, Dorota Drożdż","doi":"10.1155/ijpe/5335429","DOIUrl":null,"url":null,"abstract":"<p><strong>Background: </strong>Chronic kidney disease (CKD) is a common complication of hematopoietic stem cell transplantation (HSCT). However, the data on its risk factors in the pediatric population is conflicting.</p><p><strong>Methods: </strong>We retrospectively analyzed data from HSCT patients treated between 2005 and 2019, including indications for HSCT, conditioning regimens, and complications observed during a 5-year follow-up period, and calculated estimated glomerular filtration rate (eGFR) values. We used repeated measures ANOVA to model the time course of eGFR as a function of CKD. We built unadjusted and multiple adjusted logistic regression models. We did Kaplan-Meier plots and Cox regression with CKD as a potential risk factor for mortality.</p><p><strong>Results: </strong>At HSCT, the median age (q5-q95) of the 200 (33.5% female) patients was 8.3 (0.64-17.4) years, median creatinine was 33.8 (17.0-65.5) <i>μ</i>mol/L, 49 (24.5%) developed CKD, and 42 (21.0%) died during follow-up. In the unadjusted logistic regression model, CKD was negatively related to baseline eGFR (unadjusted OR per 10 mL/min/1.73 m<sup>2</sup> greater eGFR: 0.87, 95% CI 0.78-0.95; <i>p</i> = 0.004). In the stepwise selection model, greater AKI severity (OR 2.92, 95% CI 1.89-4.15; <i>p</i> < 0.0001), presence of hypertension (OR 2.68, 95% CI 1.02-7.05; <i>p</i> = 0.05), malnutrition (OR 5.42, 95% CI 1.98-14.82; <i>p</i> = 0.001), and iron overload (OR 3.88, 95% CI 1.31-11.51; <i>p</i> = 0.01) were related to CKD during follow-up. Female sex was protective (OR 0.19, 95% CI 0.06-0.61; <i>p</i> = 0.005). CKD status during follow-up was not related to the risk of mortality.</p><p><strong>Conclusion: </strong>Our results underline the need for better nutrition, prevention of iron overload, and adequate blood pressure control to prevent CKD in pediatric patients after HSCT.</p>","PeriodicalId":51591,"journal":{"name":"International Journal of Pediatrics","volume":"2025 ","pages":"5335429"},"PeriodicalIF":1.3000,"publicationDate":"2025-10-14","publicationTypes":"Journal Article","fieldsOfStudy":null,"isOpenAccess":false,"openAccessPdf":"https://www.ncbi.nlm.nih.gov/pmc/articles/PMC12540005/pdf/","citationCount":"0","resultStr":"{\"title\":\"Chronic Kidney Disease in Pediatric Recipients of Hematopoietic Stem Cell Transplantation in a 5-Year Observation-A Single Center Experience.\",\"authors\":\"Katarzyna Gąsowska, Katarzyna Zachwieja, Monika Miklaszewska, Aleksandra Krasowska-Kwiecień, Jolanta Goździk, Dorota Drożdż\",\"doi\":\"10.1155/ijpe/5335429\",\"DOIUrl\":null,\"url\":null,\"abstract\":\"<p><strong>Background: </strong>Chronic kidney disease (CKD) is a common complication of hematopoietic stem cell transplantation (HSCT). However, the data on its risk factors in the pediatric population is conflicting.</p><p><strong>Methods: </strong>We retrospectively analyzed data from HSCT patients treated between 2005 and 2019, including indications for HSCT, conditioning regimens, and complications observed during a 5-year follow-up period, and calculated estimated glomerular filtration rate (eGFR) values. We used repeated measures ANOVA to model the time course of eGFR as a function of CKD. We built unadjusted and multiple adjusted logistic regression models. We did Kaplan-Meier plots and Cox regression with CKD as a potential risk factor for mortality.</p><p><strong>Results: </strong>At HSCT, the median age (q5-q95) of the 200 (33.5% female) patients was 8.3 (0.64-17.4) years, median creatinine was 33.8 (17.0-65.5) <i>μ</i>mol/L, 49 (24.5%) developed CKD, and 42 (21.0%) died during follow-up. In the unadjusted logistic regression model, CKD was negatively related to baseline eGFR (unadjusted OR per 10 mL/min/1.73 m<sup>2</sup> greater eGFR: 0.87, 95% CI 0.78-0.95; <i>p</i> = 0.004). In the stepwise selection model, greater AKI severity (OR 2.92, 95% CI 1.89-4.15; <i>p</i> < 0.0001), presence of hypertension (OR 2.68, 95% CI 1.02-7.05; <i>p</i> = 0.05), malnutrition (OR 5.42, 95% CI 1.98-14.82; <i>p</i> = 0.001), and iron overload (OR 3.88, 95% CI 1.31-11.51; <i>p</i> = 0.01) were related to CKD during follow-up. Female sex was protective (OR 0.19, 95% CI 0.06-0.61; <i>p</i> = 0.005). CKD status during follow-up was not related to the risk of mortality.</p><p><strong>Conclusion: </strong>Our results underline the need for better nutrition, prevention of iron overload, and adequate blood pressure control to prevent CKD in pediatric patients after HSCT.</p>\",\"PeriodicalId\":51591,\"journal\":{\"name\":\"International Journal of Pediatrics\",\"volume\":\"2025 \",\"pages\":\"5335429\"},\"PeriodicalIF\":1.3000,\"publicationDate\":\"2025-10-14\",\"publicationTypes\":\"Journal Article\",\"fieldsOfStudy\":null,\"isOpenAccess\":false,\"openAccessPdf\":\"https://www.ncbi.nlm.nih.gov/pmc/articles/PMC12540005/pdf/\",\"citationCount\":\"0\",\"resultStr\":null,\"platform\":\"Semanticscholar\",\"paperid\":null,\"PeriodicalName\":\"International Journal of Pediatrics\",\"FirstCategoryId\":\"3\",\"ListUrlMain\":\"https://doi.org/10.1155/ijpe/5335429\",\"RegionNum\":0,\"RegionCategory\":null,\"ArticlePicture\":[],\"TitleCN\":null,\"AbstractTextCN\":null,\"PMCID\":null,\"EPubDate\":\"2025/1/1 0:00:00\",\"PubModel\":\"eCollection\",\"JCR\":\"Q3\",\"JCRName\":\"PEDIATRICS\",\"Score\":null,\"Total\":0}","platform":"Semanticscholar","paperid":null,"PeriodicalName":"International Journal of Pediatrics","FirstCategoryId":"3","ListUrlMain":"https://doi.org/10.1155/ijpe/5335429","RegionNum":0,"RegionCategory":null,"ArticlePicture":[],"TitleCN":null,"AbstractTextCN":null,"PMCID":null,"EPubDate":"2025/1/1 0:00:00","PubModel":"eCollection","JCR":"Q3","JCRName":"PEDIATRICS","Score":null,"Total":0}
引用次数: 0

摘要

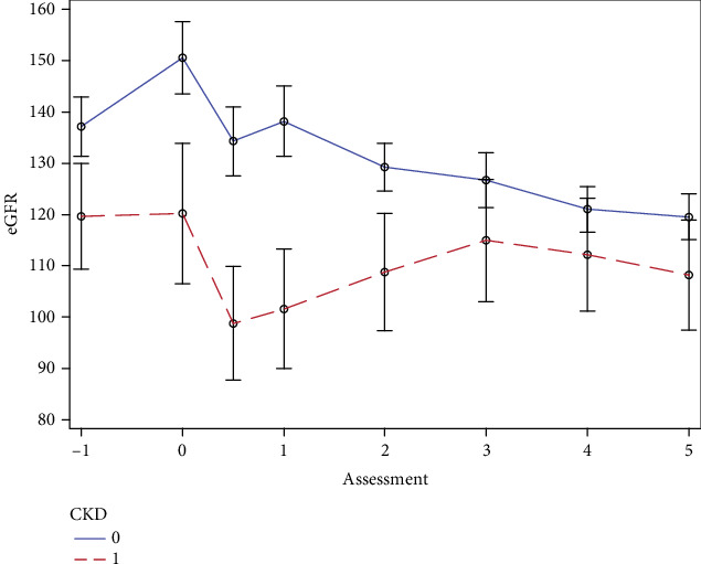
背景:慢性肾脏疾病(CKD)是造血干细胞移植(HSCT)的常见并发症。然而,关于儿童人群的风险因素的数据是相互矛盾的。方法:回顾性分析2005年至2019年接受HSCT治疗的患者数据,包括5年随访期间观察到的HSCT适应症、调理方案和并发症,并计算肾小球滤过率(eGFR)估计值。我们使用重复测量方差分析来模拟eGFR的时间过程作为CKD的函数。我们建立了未调整和多调整的逻辑回归模型。我们将CKD作为死亡率的潜在危险因素进行了Kaplan-Meier图和Cox回归分析。结果:在HSCT中,200例患者(33.5%为女性)的中位年龄(q5-q95)为8.3(0.64-17.4)岁,中位肌酐为33.8 (17.0-65.5)μmol/L, 49例(24.5%)发生CKD, 42例(21.0%)在随访中死亡。在未经调整的logistic回归模型中,CKD与基线eGFR呈负相关(未经调整的OR每10 mL/min/1.73 m2 eGFR增加:0.87,95% CI 0.78-0.95; p = 0.004)。在逐步选择模型中,随访期间,较高的AKI严重程度(OR 2.92, 95% CI 1.89-4.15, p < 0.0001)、高血压(OR 2.68, 95% CI 1.02-7.05, p = 0.05)、营养不良(OR 5.42, 95% CI 1.98-14.82, p = 0.001)和铁超载(OR 3.88, 95% CI 1.31-11.51, p = 0.01)与CKD相关。女性具有保护作用(OR 0.19, 95% CI 0.06-0.61; p = 0.005)。随访期间CKD状态与死亡风险无关。结论:我们的研究结果强调,需要更好的营养,预防铁超载,适当的血压控制,以防止儿童肾移植后CKD的发生。
本文章由计算机程序翻译,如有差异,请以英文原文为准。

Chronic Kidney Disease in Pediatric Recipients of Hematopoietic Stem Cell Transplantation in a 5-Year Observation-A Single Center Experience.

Chronic Kidney Disease in Pediatric Recipients of Hematopoietic Stem Cell Transplantation in a 5-Year Observation-A Single Center Experience.

Chronic Kidney Disease in Pediatric Recipients of Hematopoietic Stem Cell Transplantation in a 5-Year Observation-A Single Center Experience.

Background: Chronic kidney disease (CKD) is a common complication of hematopoietic stem cell transplantation (HSCT). However, the data on its risk factors in the pediatric population is conflicting.

Methods: We retrospectively analyzed data from HSCT patients treated between 2005 and 2019, including indications for HSCT, conditioning regimens, and complications observed during a 5-year follow-up period, and calculated estimated glomerular filtration rate (eGFR) values. We used repeated measures ANOVA to model the time course of eGFR as a function of CKD. We built unadjusted and multiple adjusted logistic regression models. We did Kaplan-Meier plots and Cox regression with CKD as a potential risk factor for mortality.

Results: At HSCT, the median age (q5-q95) of the 200 (33.5% female) patients was 8.3 (0.64-17.4) years, median creatinine was 33.8 (17.0-65.5) μmol/L, 49 (24.5%) developed CKD, and 42 (21.0%) died during follow-up. In the unadjusted logistic regression model, CKD was negatively related to baseline eGFR (unadjusted OR per 10 mL/min/1.73 m2 greater eGFR: 0.87, 95% CI 0.78-0.95; p = 0.004). In the stepwise selection model, greater AKI severity (OR 2.92, 95% CI 1.89-4.15; p < 0.0001), presence of hypertension (OR 2.68, 95% CI 1.02-7.05; p = 0.05), malnutrition (OR 5.42, 95% CI 1.98-14.82; p = 0.001), and iron overload (OR 3.88, 95% CI 1.31-11.51; p = 0.01) were related to CKD during follow-up. Female sex was protective (OR 0.19, 95% CI 0.06-0.61; p = 0.005). CKD status during follow-up was not related to the risk of mortality.

Conclusion: Our results underline the need for better nutrition, prevention of iron overload, and adequate blood pressure control to prevent CKD in pediatric patients after HSCT.

求助全文
通过发布文献求助,成功后即可免费获取论文全文。 去求助
来源期刊
CiteScore
3.90
自引率
0.00%
发文量
0
审稿时长
4 weeks
期刊介绍: International Journal of Pediatrics is a peer-reviewed, open access journal that publishes original researcharticles, review articles, and clinical studies in all areas of pediatric research. The journal accepts submissions presented as an original article, short communication, case report, review article, systematic review, or letter to the editor.
×
引用
GB/T 7714-2015
复制
MLA
复制
APA
复制
导出至
BibTeX EndNote RefMan NoteFirst NoteExpress
×
提示
您的信息不完整,为了账户安全,请先补充。
现在去补充
×
提示
您因"违规操作"
具体请查看互助需知
我知道了
×
提示
确定
请完成安全验证×
copy
已复制链接
快去分享给好友吧!
我知道了
右上角分享
点击右上角分享
0
联系我们:info@booksci.cn Book学术提供免费学术资源搜索服务,方便国内外学者检索中英文文献。致力于提供最便捷和优质的服务体验。 Copyright © 2023 布克学术 All rights reserved.
京ICP备2023020795号-1
ghs 京公网安备 11010802042870号
Book学术文献互助
Book学术文献互助群
群 号:604180095
Book学术官方微信