阻塞性睡眠呼吸暂停患者新型血液学炎症生物标志物与心血管疾病的关联

IF 3.4 2区 医学 Q2 CLINICAL NEUROLOGY
Nature and Science of Sleep Pub Date : 2025-10-17 eCollection Date: 2025-01-01 DOI:10.2147/NSS.S554387
Yanru Ou, Xiufang Wang, Dandan Zong, Ruoyun Ouyang
{"title":"阻塞性睡眠呼吸暂停患者新型血液学炎症生物标志物与心血管疾病的关联","authors":"Yanru Ou, Xiufang Wang, Dandan Zong, Ruoyun Ouyang","doi":"10.2147/NSS.S554387","DOIUrl":null,"url":null,"abstract":"<p><strong>Background: </strong>Heightened inflammatory state is considered a key factor linking obstructive sleep apnea (OSA) with cardiovascular disease (CVD).</p><p><strong>Objective: </strong>This study aimed to assess the level of novel hematologic inflammatory biomarkers including neutrophil-to-lymphocyte ratio (NLR), monocyte-to-lymphocyte ratio (MLR), ratio of neutrophil count to HDL level (NHR), ratio of monocyte count to HDL level (MHR), monocyte count multiplied by neutrophil-to-lymphocyte ratio (SIRI) in OSA patients, and explored the relationships between these inflammatory biomarkers and cardiovascular risk.</p><p><strong>Methods: </strong>This study enrolled 974 patients with OSA and all data were collected after admission. Spearman correlation was used to explore the correlations between sleep parameters and inflammatory indices. Logistic regression and receiver operating characteristic (ROC) analysis were employed to assess the association between the novel hematologic inflammatory indices and CVD in OSA patients.</p><p><strong>Results: </strong>Correlation analysis showed that most inflammatory indices were closely related to nocturnal hypoxia in OSA patients. Multivariate logistic regression suggested that NLR (OR=1.085, 95% CI: 1.017-1.158), MLR (OR=3.708, 95% CI: 1.322-10.404), NHR (OR=1.074, 95% CI: 1.020-1.131), MHR (OR=2.116, 95% CI: 1.205-3.715), and SIRI (OR=1.148, 95% CI: 1.035-1.272) were positively correlated with CVD in OSA patients after adjusting all confounding factors. Moreover, the area under the curve (AUC) of NLR, MLR, NHR, MHR, and SIRI for discriminating OSA patients with CVD was 0.734, 0.735, 0.736, 0.734, and 0.735, respectively, after adjusting for all confounders.</p><p><strong>Conclusion: </strong>Inflammatory indices including NLR, MLR, NHR, MHR, and SIRI were promising biomarkers for CVD in OSA patients, which might aid in the early identification of CVD risk in clinical. These easily obtainable markers may facilitate CVD risk stratification in OSA patients.</p>","PeriodicalId":18896,"journal":{"name":"Nature and Science of Sleep","volume":"17 ","pages":"2715-2728"},"PeriodicalIF":3.4000,"publicationDate":"2025-10-17","publicationTypes":"Journal Article","fieldsOfStudy":null,"isOpenAccess":false,"openAccessPdf":"https://www.ncbi.nlm.nih.gov/pmc/articles/PMC12539413/pdf/","citationCount":"0","resultStr":"{\"title\":\"Association of Novel Hematologic Inflammatory Biomarkers with Cardiovascular Disease in Patients with Obstructive Sleep Apnea.\",\"authors\":\"Yanru Ou, Xiufang Wang, Dandan Zong, Ruoyun Ouyang\",\"doi\":\"10.2147/NSS.S554387\",\"DOIUrl\":null,\"url\":null,\"abstract\":\"<p><strong>Background: </strong>Heightened inflammatory state is considered a key factor linking obstructive sleep apnea (OSA) with cardiovascular disease (CVD).</p><p><strong>Objective: </strong>This study aimed to assess the level of novel hematologic inflammatory biomarkers including neutrophil-to-lymphocyte ratio (NLR), monocyte-to-lymphocyte ratio (MLR), ratio of neutrophil count to HDL level (NHR), ratio of monocyte count to HDL level (MHR), monocyte count multiplied by neutrophil-to-lymphocyte ratio (SIRI) in OSA patients, and explored the relationships between these inflammatory biomarkers and cardiovascular risk.</p><p><strong>Methods: </strong>This study enrolled 974 patients with OSA and all data were collected after admission. Spearman correlation was used to explore the correlations between sleep parameters and inflammatory indices. Logistic regression and receiver operating characteristic (ROC) analysis were employed to assess the association between the novel hematologic inflammatory indices and CVD in OSA patients.</p><p><strong>Results: </strong>Correlation analysis showed that most inflammatory indices were closely related to nocturnal hypoxia in OSA patients. Multivariate logistic regression suggested that NLR (OR=1.085, 95% CI: 1.017-1.158), MLR (OR=3.708, 95% CI: 1.322-10.404), NHR (OR=1.074, 95% CI: 1.020-1.131), MHR (OR=2.116, 95% CI: 1.205-3.715), and SIRI (OR=1.148, 95% CI: 1.035-1.272) were positively correlated with CVD in OSA patients after adjusting all confounding factors. Moreover, the area under the curve (AUC) of NLR, MLR, NHR, MHR, and SIRI for discriminating OSA patients with CVD was 0.734, 0.735, 0.736, 0.734, and 0.735, respectively, after adjusting for all confounders.</p><p><strong>Conclusion: </strong>Inflammatory indices including NLR, MLR, NHR, MHR, and SIRI were promising biomarkers for CVD in OSA patients, which might aid in the early identification of CVD risk in clinical. These easily obtainable markers may facilitate CVD risk stratification in OSA patients.</p>\",\"PeriodicalId\":18896,\"journal\":{\"name\":\"Nature and Science of Sleep\",\"volume\":\"17 \",\"pages\":\"2715-2728\"},\"PeriodicalIF\":3.4000,\"publicationDate\":\"2025-10-17\",\"publicationTypes\":\"Journal Article\",\"fieldsOfStudy\":null,\"isOpenAccess\":false,\"openAccessPdf\":\"https://www.ncbi.nlm.nih.gov/pmc/articles/PMC12539413/pdf/\",\"citationCount\":\"0\",\"resultStr\":null,\"platform\":\"Semanticscholar\",\"paperid\":null,\"PeriodicalName\":\"Nature and Science of Sleep\",\"FirstCategoryId\":\"3\",\"ListUrlMain\":\"https://doi.org/10.2147/NSS.S554387\",\"RegionNum\":2,\"RegionCategory\":\"医学\",\"ArticlePicture\":[],\"TitleCN\":null,\"AbstractTextCN\":null,\"PMCID\":null,\"EPubDate\":\"2025/1/1 0:00:00\",\"PubModel\":\"eCollection\",\"JCR\":\"Q2\",\"JCRName\":\"CLINICAL NEUROLOGY\",\"Score\":null,\"Total\":0}","platform":"Semanticscholar","paperid":null,"PeriodicalName":"Nature and Science of Sleep","FirstCategoryId":"3","ListUrlMain":"https://doi.org/10.2147/NSS.S554387","RegionNum":2,"RegionCategory":"医学","ArticlePicture":[],"TitleCN":null,"AbstractTextCN":null,"PMCID":null,"EPubDate":"2025/1/1 0:00:00","PubModel":"eCollection","JCR":"Q2","JCRName":"CLINICAL NEUROLOGY","Score":null,"Total":0}
引用次数: 0

摘要

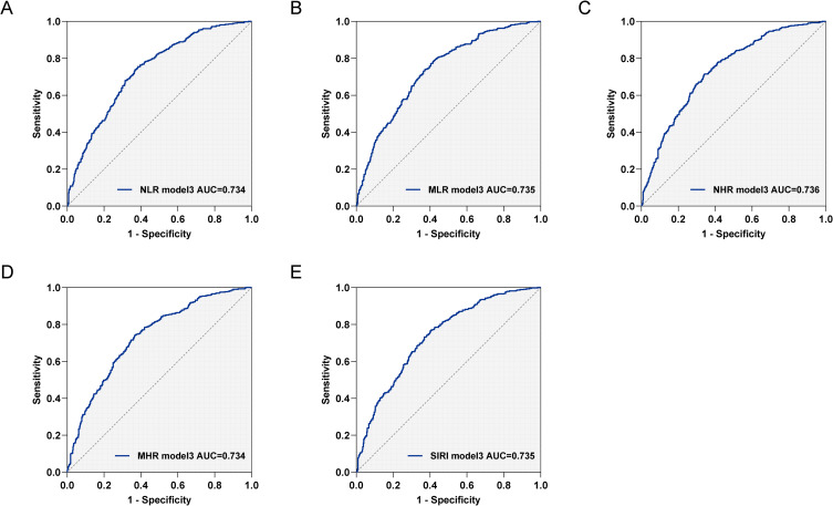
背景:炎症状态升高被认为是将阻塞性睡眠呼吸暂停(OSA)与心血管疾病(CVD)联系起来的关键因素。目的:本研究旨在评估OSA患者中性粒细胞与淋巴细胞比值(NLR)、单核细胞与淋巴细胞比值(MLR)、中性粒细胞计数与HDL水平比值(NHR)、单核细胞计数与HDL水平比值(MHR)、单核细胞计数与中性粒细胞与淋巴细胞比值(SIRI)等新型血液学炎症生物标志物的水平,并探讨这些炎症生物标志物与心血管风险的关系。方法:本研究纳入974例OSA患者,入院后收集所有资料。采用Spearman相关性探讨睡眠参数与炎症指标之间的相关性。采用Logistic回归和受试者工作特征(ROC)分析评估OSA患者新型血液学炎症指标与CVD的相关性。结果:相关分析显示,大多数炎症指标与OSA患者夜间缺氧密切相关。多因素logistic回归分析显示,调整所有混杂因素后,NLR (OR=1.085, 95% CI: 1.017-1.158)、MLR (OR=3.708, 95% CI: 1.322-10.404)、NHR (OR=1.074, 95% CI: 1.020-1.131)、MHR (OR=2.116, 95% CI: 1.205-3.715)、SIRI (OR=1.148, 95% CI: 1.035-1.272)与OSA患者CVD呈正相关。此外,在校正所有混杂因素后,NLR、MLR、NHR、MHR和SIRI区分OSA患者与CVD的曲线下面积(AUC)分别为0.734、0.735、0.736、0.734和0.735。结论:NLR、MLR、NHR、MHR、SIRI等炎症指标是OSA患者CVD的重要生物标志物,有助于临床早期识别CVD风险。这些容易获得的标志物可能有助于OSA患者的CVD风险分层。
本文章由计算机程序翻译,如有差异,请以英文原文为准。

Association of Novel Hematologic Inflammatory Biomarkers with Cardiovascular Disease in Patients with Obstructive Sleep Apnea.

Association of Novel Hematologic Inflammatory Biomarkers with Cardiovascular Disease in Patients with Obstructive Sleep Apnea.

Association of Novel Hematologic Inflammatory Biomarkers with Cardiovascular Disease in Patients with Obstructive Sleep Apnea.

Association of Novel Hematologic Inflammatory Biomarkers with Cardiovascular Disease in Patients with Obstructive Sleep Apnea.

Background: Heightened inflammatory state is considered a key factor linking obstructive sleep apnea (OSA) with cardiovascular disease (CVD).

Objective: This study aimed to assess the level of novel hematologic inflammatory biomarkers including neutrophil-to-lymphocyte ratio (NLR), monocyte-to-lymphocyte ratio (MLR), ratio of neutrophil count to HDL level (NHR), ratio of monocyte count to HDL level (MHR), monocyte count multiplied by neutrophil-to-lymphocyte ratio (SIRI) in OSA patients, and explored the relationships between these inflammatory biomarkers and cardiovascular risk.

Methods: This study enrolled 974 patients with OSA and all data were collected after admission. Spearman correlation was used to explore the correlations between sleep parameters and inflammatory indices. Logistic regression and receiver operating characteristic (ROC) analysis were employed to assess the association between the novel hematologic inflammatory indices and CVD in OSA patients.

Results: Correlation analysis showed that most inflammatory indices were closely related to nocturnal hypoxia in OSA patients. Multivariate logistic regression suggested that NLR (OR=1.085, 95% CI: 1.017-1.158), MLR (OR=3.708, 95% CI: 1.322-10.404), NHR (OR=1.074, 95% CI: 1.020-1.131), MHR (OR=2.116, 95% CI: 1.205-3.715), and SIRI (OR=1.148, 95% CI: 1.035-1.272) were positively correlated with CVD in OSA patients after adjusting all confounding factors. Moreover, the area under the curve (AUC) of NLR, MLR, NHR, MHR, and SIRI for discriminating OSA patients with CVD was 0.734, 0.735, 0.736, 0.734, and 0.735, respectively, after adjusting for all confounders.

Conclusion: Inflammatory indices including NLR, MLR, NHR, MHR, and SIRI were promising biomarkers for CVD in OSA patients, which might aid in the early identification of CVD risk in clinical. These easily obtainable markers may facilitate CVD risk stratification in OSA patients.

求助全文
通过发布文献求助,成功后即可免费获取论文全文。 去求助
来源期刊
Nature and Science of Sleep
Nature and Science of Sleep Neuroscience-Behavioral Neuroscience
CiteScore
5.70
自引率
5.90%
发文量
245
审稿时长
16 weeks
期刊介绍: Nature and Science of Sleep is an international, peer-reviewed, open access journal covering all aspects of sleep science and sleep medicine, including the neurophysiology and functions of sleep, the genetics of sleep, sleep and society, biological rhythms, dreaming, sleep disorders and therapy, and strategies to optimize healthy sleep. Specific topics covered in the journal include: The functions of sleep in humans and other animals Physiological and neurophysiological changes with sleep The genetics of sleep and sleep differences The neurotransmitters, receptors and pathways involved in controlling both sleep and wakefulness Behavioral and pharmacological interventions aimed at improving sleep, and improving wakefulness Sleep changes with development and with age Sleep and reproduction (e.g., changes across the menstrual cycle, with pregnancy and menopause) The science and nature of dreams Sleep disorders Impact of sleep and sleep disorders on health, daytime function and quality of life Sleep problems secondary to clinical disorders Interaction of society with sleep (e.g., consequences of shift work, occupational health, public health) The microbiome and sleep Chronotherapy Impact of circadian rhythms on sleep, physiology, cognition and health Mechanisms controlling circadian rhythms, centrally and peripherally Impact of circadian rhythm disruptions (including night shift work, jet lag and social jet lag) on sleep, physiology, cognition and health Behavioral and pharmacological interventions aimed at reducing adverse effects of circadian-related sleep disruption Assessment of technologies and biomarkers for measuring sleep and/or circadian rhythms Epigenetic markers of sleep or circadian disruption.
×
引用
GB/T 7714-2015
复制
MLA
复制
APA
复制
导出至
BibTeX EndNote RefMan NoteFirst NoteExpress
×
提示
您的信息不完整,为了账户安全,请先补充。
现在去补充
×
提示
您因"违规操作"
具体请查看互助需知
我知道了
×
提示
确定
请完成安全验证×
copy
已复制链接
快去分享给好友吧!
我知道了
右上角分享
点击右上角分享
0
联系我们:info@booksci.cn Book学术提供免费学术资源搜索服务,方便国内外学者检索中英文文献。致力于提供最便捷和优质的服务体验。 Copyright © 2023 布克学术 All rights reserved.
京ICP备2023020795号-1
ghs 京公网安备 11010802042870号
Book学术文献互助
Book学术文献互助群
群 号:604180095
Book学术官方微信