开发和验证在Vero细胞生产的狂犬病疫苗中检测残留宿主细胞DNA的qPCR方法。

IF 4.8 3区 工程技术 Q1 BIOTECHNOLOGY & APPLIED MICROBIOLOGY
Frontiers in Bioengineering and Biotechnology Pub Date : 2025-10-06 eCollection Date: 2025-01-01 DOI:10.3389/fbioe.2025.1611428
Danhua Zhao, Weiying Zong, Wanxin Wu, Yuhua Li, Zongsong Wu, Zhixing Yang, Shouchun Cao
{"title":"开发和验证在Vero细胞生产的狂犬病疫苗中检测残留宿主细胞DNA的qPCR方法。","authors":"Danhua Zhao, Weiying Zong, Wanxin Wu, Yuhua Li, Zongsong Wu, Zhixing Yang, Shouchun Cao","doi":"10.3389/fbioe.2025.1611428","DOIUrl":null,"url":null,"abstract":"<p><p>Residual host cell DNA in biological products, including rabies vaccines, poses potential health risks such as tumorigenesis and infectivity. Regulatory authorities have set limits for residual DNA levels to ensure product safety. Among various detection methods for residual DNA, quantitative PCR (qPCR) is recognized for its high sensitivity and efficiency. This study developed and validated a qPCR assay for detecting residual Vero DNA in rabies vaccines produced in Vero cells. The assay targeted two highly repetitive Vero genomic DNA sequences: the \"172bp\" sequence and the Alu repetitive sequence. The method was optimized and validated for linearity, range, quantitation limit, detection limit and specificity, etc. The qPCR assay for the \"172bp\" sequence exhibited excellent linearity, with a quantification limit of 0.03pg/reaction and a detection limit of 0.003pg/reaction. The relative standard deviation (RSD) across samples ranged from 12.4% to 18.3%, and the recovery rate was between 87.7% and 98.5%. No cross-reactivity was observed with common bacterial and cell strains, indicating a high specificity of the assay. These findings suggest that the qPCR method is a reliable approach for quantifying residual Vero DNA in pharmaceuticals and for regulatory compliance monitoring. The assay method has been adopted by local vaccine manufacturers, and has been included in the Chinese Pharmacopoeia, thus will help to enhance vaccine quality and safety.</p>","PeriodicalId":12444,"journal":{"name":"Frontiers in Bioengineering and Biotechnology","volume":"13 ","pages":"1611428"},"PeriodicalIF":4.8000,"publicationDate":"2025-10-06","publicationTypes":"Journal Article","fieldsOfStudy":null,"isOpenAccess":false,"openAccessPdf":"https://www.ncbi.nlm.nih.gov/pmc/articles/PMC12536431/pdf/","citationCount":"0","resultStr":"{\"title\":\"Development and validation of a qPCR assay for the detection of residual host cell DNA in rabies vaccines produced in Vero cells.\",\"authors\":\"Danhua Zhao, Weiying Zong, Wanxin Wu, Yuhua Li, Zongsong Wu, Zhixing Yang, Shouchun Cao\",\"doi\":\"10.3389/fbioe.2025.1611428\",\"DOIUrl\":null,\"url\":null,\"abstract\":\"<p><p>Residual host cell DNA in biological products, including rabies vaccines, poses potential health risks such as tumorigenesis and infectivity. Regulatory authorities have set limits for residual DNA levels to ensure product safety. Among various detection methods for residual DNA, quantitative PCR (qPCR) is recognized for its high sensitivity and efficiency. This study developed and validated a qPCR assay for detecting residual Vero DNA in rabies vaccines produced in Vero cells. The assay targeted two highly repetitive Vero genomic DNA sequences: the \\\"172bp\\\" sequence and the Alu repetitive sequence. The method was optimized and validated for linearity, range, quantitation limit, detection limit and specificity, etc. The qPCR assay for the \\\"172bp\\\" sequence exhibited excellent linearity, with a quantification limit of 0.03pg/reaction and a detection limit of 0.003pg/reaction. The relative standard deviation (RSD) across samples ranged from 12.4% to 18.3%, and the recovery rate was between 87.7% and 98.5%. No cross-reactivity was observed with common bacterial and cell strains, indicating a high specificity of the assay. These findings suggest that the qPCR method is a reliable approach for quantifying residual Vero DNA in pharmaceuticals and for regulatory compliance monitoring. The assay method has been adopted by local vaccine manufacturers, and has been included in the Chinese Pharmacopoeia, thus will help to enhance vaccine quality and safety.</p>\",\"PeriodicalId\":12444,\"journal\":{\"name\":\"Frontiers in Bioengineering and Biotechnology\",\"volume\":\"13 \",\"pages\":\"1611428\"},\"PeriodicalIF\":4.8000,\"publicationDate\":\"2025-10-06\",\"publicationTypes\":\"Journal Article\",\"fieldsOfStudy\":null,\"isOpenAccess\":false,\"openAccessPdf\":\"https://www.ncbi.nlm.nih.gov/pmc/articles/PMC12536431/pdf/\",\"citationCount\":\"0\",\"resultStr\":null,\"platform\":\"Semanticscholar\",\"paperid\":null,\"PeriodicalName\":\"Frontiers in Bioengineering and Biotechnology\",\"FirstCategoryId\":\"5\",\"ListUrlMain\":\"https://doi.org/10.3389/fbioe.2025.1611428\",\"RegionNum\":3,\"RegionCategory\":\"工程技术\",\"ArticlePicture\":[],\"TitleCN\":null,\"AbstractTextCN\":null,\"PMCID\":null,\"EPubDate\":\"2025/1/1 0:00:00\",\"PubModel\":\"eCollection\",\"JCR\":\"Q1\",\"JCRName\":\"BIOTECHNOLOGY & APPLIED MICROBIOLOGY\",\"Score\":null,\"Total\":0}","platform":"Semanticscholar","paperid":null,"PeriodicalName":"Frontiers in Bioengineering and Biotechnology","FirstCategoryId":"5","ListUrlMain":"https://doi.org/10.3389/fbioe.2025.1611428","RegionNum":3,"RegionCategory":"工程技术","ArticlePicture":[],"TitleCN":null,"AbstractTextCN":null,"PMCID":null,"EPubDate":"2025/1/1 0:00:00","PubModel":"eCollection","JCR":"Q1","JCRName":"BIOTECHNOLOGY & APPLIED MICROBIOLOGY","Score":null,"Total":0}
引用次数: 0

摘要

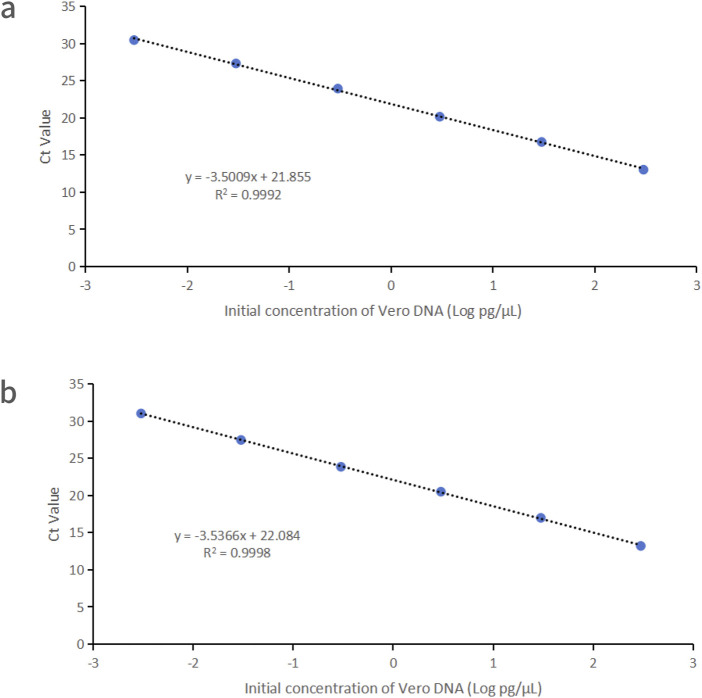
包括狂犬病疫苗在内的生物制品中残留的宿主细胞DNA构成潜在的健康风险,如肿瘤发生和传染性。监管机构已经设定了残留DNA水平的限制,以确保产品安全。在众多的残留DNA检测方法中,定量PCR (qPCR)以其灵敏度高、效率高而被公认。本研究开发并验证了一种qPCR方法,用于检测Vero细胞生产的狂犬病疫苗中残留的Vero DNA。该试验针对两个高度重复的Vero基因组DNA序列:“172bp”序列和Alu重复序列。对方法进行了线性度、范围、定量限、检出限、专属性等优化验证。“172bp”序列的qPCR检测线性良好,定量限为0.03pg/reaction,检出限为0.003pg/reaction。样品间的相对标准偏差(RSD)为12.4% ~ 18.3%,回收率为87.7% ~ 98.5%。未观察到与普通细菌和细胞株的交叉反应性,表明该试验具有很高的特异性。这些发现表明,qPCR方法是一种可靠的方法,用于定量残留的Vero DNA在药品和监管合规监测。该方法已被国内疫苗生产企业采用,并已被纳入《中国药典》,有利于提高疫苗质量和安全性。
本文章由计算机程序翻译,如有差异,请以英文原文为准。

Development and validation of a qPCR assay for the detection of residual host cell DNA in rabies vaccines produced in Vero cells.

Development and validation of a qPCR assay for the detection of residual host cell DNA in rabies vaccines produced in Vero cells.

Development and validation of a qPCR assay for the detection of residual host cell DNA in rabies vaccines produced in Vero cells.

Development and validation of a qPCR assay for the detection of residual host cell DNA in rabies vaccines produced in Vero cells.

Residual host cell DNA in biological products, including rabies vaccines, poses potential health risks such as tumorigenesis and infectivity. Regulatory authorities have set limits for residual DNA levels to ensure product safety. Among various detection methods for residual DNA, quantitative PCR (qPCR) is recognized for its high sensitivity and efficiency. This study developed and validated a qPCR assay for detecting residual Vero DNA in rabies vaccines produced in Vero cells. The assay targeted two highly repetitive Vero genomic DNA sequences: the "172bp" sequence and the Alu repetitive sequence. The method was optimized and validated for linearity, range, quantitation limit, detection limit and specificity, etc. The qPCR assay for the "172bp" sequence exhibited excellent linearity, with a quantification limit of 0.03pg/reaction and a detection limit of 0.003pg/reaction. The relative standard deviation (RSD) across samples ranged from 12.4% to 18.3%, and the recovery rate was between 87.7% and 98.5%. No cross-reactivity was observed with common bacterial and cell strains, indicating a high specificity of the assay. These findings suggest that the qPCR method is a reliable approach for quantifying residual Vero DNA in pharmaceuticals and for regulatory compliance monitoring. The assay method has been adopted by local vaccine manufacturers, and has been included in the Chinese Pharmacopoeia, thus will help to enhance vaccine quality and safety.

求助全文
通过发布文献求助,成功后即可免费获取论文全文。 去求助
来源期刊
Frontiers in Bioengineering and Biotechnology
Frontiers in Bioengineering and Biotechnology Chemical Engineering-Bioengineering
CiteScore
8.30
自引率
5.30%
发文量
2270
审稿时长
12 weeks
期刊介绍: The translation of new discoveries in medicine to clinical routine has never been easy. During the second half of the last century, thanks to the progress in chemistry, biochemistry and pharmacology, we have seen the development and the application of a large number of drugs and devices aimed at the treatment of symptoms, blocking unwanted pathways and, in the case of infectious diseases, fighting the micro-organisms responsible. However, we are facing, today, a dramatic change in the therapeutic approach to pathologies and diseases. Indeed, the challenge of the present and the next decade is to fully restore the physiological status of the diseased organism and to completely regenerate tissue and organs when they are so seriously affected that treatments cannot be limited to the repression of symptoms or to the repair of damage. This is being made possible thanks to the major developments made in basic cell and molecular biology, including stem cell science, growth factor delivery, gene isolation and transfection, the advances in bioengineering and nanotechnology, including development of new biomaterials, biofabrication technologies and use of bioreactors, and the big improvements in diagnostic tools and imaging of cells, tissues and organs. In today`s world, an enhancement of communication between multidisciplinary experts, together with the promotion of joint projects and close collaborations among scientists, engineers, industry people, regulatory agencies and physicians are absolute requirements for the success of any attempt to develop and clinically apply a new biological therapy or an innovative device involving the collective use of biomaterials, cells and/or bioactive molecules. “Frontiers in Bioengineering and Biotechnology” aspires to be a forum for all people involved in the process by bridging the gap too often existing between a discovery in the basic sciences and its clinical application.
×
引用
GB/T 7714-2015
复制
MLA
复制
APA
复制
导出至
BibTeX EndNote RefMan NoteFirst NoteExpress
×
提示
您的信息不完整,为了账户安全,请先补充。
现在去补充
×
提示
您因"违规操作"
具体请查看互助需知
我知道了
×
提示
确定
请完成安全验证×
copy
已复制链接
快去分享给好友吧!
我知道了
右上角分享
点击右上角分享
0
联系我们:info@booksci.cn Book学术提供免费学术资源搜索服务,方便国内外学者检索中英文文献。致力于提供最便捷和优质的服务体验。 Copyright © 2023 布克学术 All rights reserved.
京ICP备2023020795号-1
ghs 京公网安备 11010802042870号
Book学术文献互助
Book学术文献互助群
群 号:604180095
Book学术官方微信