细芬烯酮对糖尿病肾病患者肾小球滤过率和蛋白尿影响的实际分析

IF 4.6 2区 医学 Q1 UROLOGY & NEPHROLOGY
Clinical Kidney Journal Pub Date : 2025-09-17 eCollection Date: 2025-10-01 DOI:10.1093/ckj/sfaf292
Kiyomi Ichijo, Ryo Yamaguchi, Hiroyuki Takashima, Hiroki Kobayashi, Takashi Maruyama, Masanori Abe
{"title":"细芬烯酮对糖尿病肾病患者肾小球滤过率和蛋白尿影响的实际分析","authors":"Kiyomi Ichijo, Ryo Yamaguchi, Hiroyuki Takashima, Hiroki Kobayashi, Takashi Maruyama, Masanori Abe","doi":"10.1093/ckj/sfaf292","DOIUrl":null,"url":null,"abstract":"<p><strong>Aims: </strong>Large-scale clinical trials have shown that finerenone reduces the urinary albumin-to-creatinine ratio (UACR) and slows estimated glomerular filtration rate (eGFR) decline, thereby inhibiting a composite cardiovascular and kidney endpoint. However, the efficacy and safety of finerenone in clinical practice remain unknown. This study evaluated eGFR decline and changes in UACR as efficacy endpoints and changes in the serum potassium level as a safety endpoint in patients with diabetic kidney disease (DKD).</p><p><strong>Methods: </strong>This retrospective observational study was conducted in a real-world clinical setting and included patients with DKD. Eligible patients were those diagnosed with chronic kidney disease stage G1 to G4 who had a UACR of ≥30 mg/gCr while taking a renin-angiotensin system inhibitor and who had initiated finerenone. Endpoints included changes in the eGFR slope, UACR, other urinary biomarkers, laboratory and vital parameters, and adverse events.</p><p><strong>Results: </strong>The analysis included 120 patients. Finerenone significantly improved the rate of eGFR decline from -4.99 (-5.75, -4.23) to -0.59 (-1.24, 0.07) mL/min/1.73 m<sup>2</sup>/year (<i>P</i> < .0001). UACR also decreased significantly after finerenone treatment from 908 to 487 mg/gCr (<i>P</i> < .0001). Finerenone improved the eGFR slope across all baseline eGFR and albuminuria categories. The rate of eGFR decline improved regardless of whether sodium-glucose cotransporter 2 inhibitor therapy was used concomitantly. Symptomatic hypotension, acute kidney injury and hyperkalemia leading to drug discontinuation were uncommon.</p><p><strong>Conclusions: </strong>This real-world analysis suggests that finerenone may improve the eGFR slope in patients with DKD without causing significant hyperkalemia, regardless of baseline eGFR and albuminuria values.</p>","PeriodicalId":10435,"journal":{"name":"Clinical Kidney Journal","volume":"18 10","pages":"sfaf292"},"PeriodicalIF":4.6000,"publicationDate":"2025-09-17","publicationTypes":"Journal Article","fieldsOfStudy":null,"isOpenAccess":false,"openAccessPdf":"https://www.ncbi.nlm.nih.gov/pmc/articles/PMC12538289/pdf/","citationCount":"0","resultStr":"{\"title\":\"Real-world analysis of the impact of finerenone on estimated glomerular filtration rate and albuminuria in patients with diabetic kidney disease.\",\"authors\":\"Kiyomi Ichijo, Ryo Yamaguchi, Hiroyuki Takashima, Hiroki Kobayashi, Takashi Maruyama, Masanori Abe\",\"doi\":\"10.1093/ckj/sfaf292\",\"DOIUrl\":null,\"url\":null,\"abstract\":\"<p><strong>Aims: </strong>Large-scale clinical trials have shown that finerenone reduces the urinary albumin-to-creatinine ratio (UACR) and slows estimated glomerular filtration rate (eGFR) decline, thereby inhibiting a composite cardiovascular and kidney endpoint. However, the efficacy and safety of finerenone in clinical practice remain unknown. This study evaluated eGFR decline and changes in UACR as efficacy endpoints and changes in the serum potassium level as a safety endpoint in patients with diabetic kidney disease (DKD).</p><p><strong>Methods: </strong>This retrospective observational study was conducted in a real-world clinical setting and included patients with DKD. Eligible patients were those diagnosed with chronic kidney disease stage G1 to G4 who had a UACR of ≥30 mg/gCr while taking a renin-angiotensin system inhibitor and who had initiated finerenone. Endpoints included changes in the eGFR slope, UACR, other urinary biomarkers, laboratory and vital parameters, and adverse events.</p><p><strong>Results: </strong>The analysis included 120 patients. Finerenone significantly improved the rate of eGFR decline from -4.99 (-5.75, -4.23) to -0.59 (-1.24, 0.07) mL/min/1.73 m<sup>2</sup>/year (<i>P</i> < .0001). UACR also decreased significantly after finerenone treatment from 908 to 487 mg/gCr (<i>P</i> < .0001). Finerenone improved the eGFR slope across all baseline eGFR and albuminuria categories. The rate of eGFR decline improved regardless of whether sodium-glucose cotransporter 2 inhibitor therapy was used concomitantly. Symptomatic hypotension, acute kidney injury and hyperkalemia leading to drug discontinuation were uncommon.</p><p><strong>Conclusions: </strong>This real-world analysis suggests that finerenone may improve the eGFR slope in patients with DKD without causing significant hyperkalemia, regardless of baseline eGFR and albuminuria values.</p>\",\"PeriodicalId\":10435,\"journal\":{\"name\":\"Clinical Kidney Journal\",\"volume\":\"18 10\",\"pages\":\"sfaf292\"},\"PeriodicalIF\":4.6000,\"publicationDate\":\"2025-09-17\",\"publicationTypes\":\"Journal Article\",\"fieldsOfStudy\":null,\"isOpenAccess\":false,\"openAccessPdf\":\"https://www.ncbi.nlm.nih.gov/pmc/articles/PMC12538289/pdf/\",\"citationCount\":\"0\",\"resultStr\":null,\"platform\":\"Semanticscholar\",\"paperid\":null,\"PeriodicalName\":\"Clinical Kidney Journal\",\"FirstCategoryId\":\"3\",\"ListUrlMain\":\"https://doi.org/10.1093/ckj/sfaf292\",\"RegionNum\":2,\"RegionCategory\":\"医学\",\"ArticlePicture\":[],\"TitleCN\":null,\"AbstractTextCN\":null,\"PMCID\":null,\"EPubDate\":\"2025/10/1 0:00:00\",\"PubModel\":\"eCollection\",\"JCR\":\"Q1\",\"JCRName\":\"UROLOGY & NEPHROLOGY\",\"Score\":null,\"Total\":0}","platform":"Semanticscholar","paperid":null,"PeriodicalName":"Clinical Kidney Journal","FirstCategoryId":"3","ListUrlMain":"https://doi.org/10.1093/ckj/sfaf292","RegionNum":2,"RegionCategory":"医学","ArticlePicture":[],"TitleCN":null,"AbstractTextCN":null,"PMCID":null,"EPubDate":"2025/10/1 0:00:00","PubModel":"eCollection","JCR":"Q1","JCRName":"UROLOGY & NEPHROLOGY","Score":null,"Total":0}
引用次数: 0

摘要

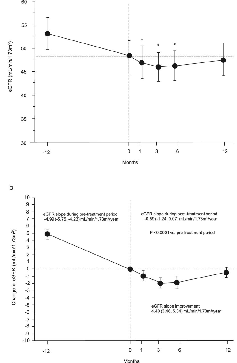
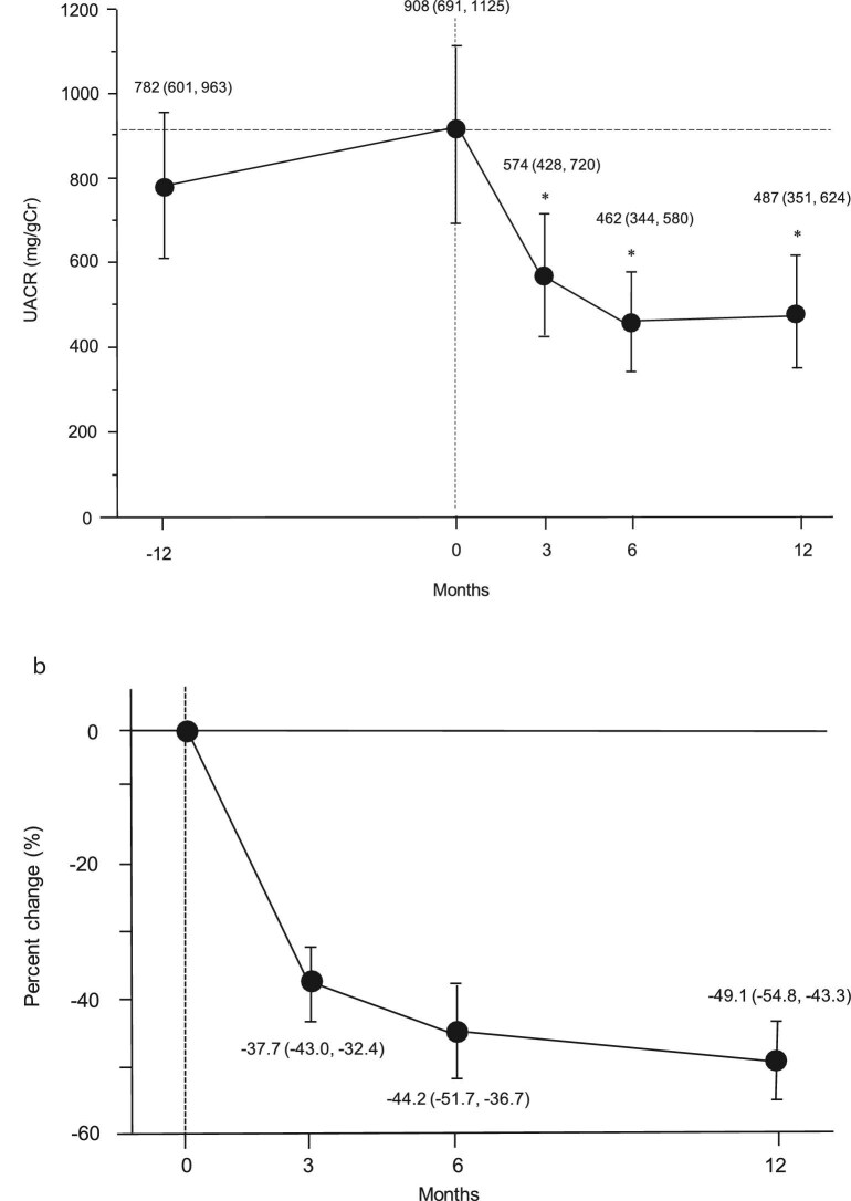
目的:大规模临床试验表明,细芬烯酮可降低尿白蛋白与肌酐比值(UACR),减缓肾小球滤过率(eGFR)的下降,从而抑制心血管和肾脏的复合终点。然而,芬烯酮在临床实践中的有效性和安全性尚不清楚。该研究评估了糖尿病肾病(DKD)患者eGFR下降和UACR变化作为疗效终点,血清钾水平变化作为安全性终点。方法:这项回顾性观察性研究是在现实世界的临床环境中进行的,纳入了DKD患者。符合条件的患者是诊断为慢性肾脏疾病G1至G4期,在服用肾素-血管紧张素系统抑制剂时UACR≥30mg /gCr,并已开始使用细芬烯酮的患者。终点包括eGFR斜率、UACR、其他尿液生物标志物、实验室和重要参数以及不良事件的变化。结果:纳入120例患者。结论:这一现实世界的分析表明,无论基线eGFR和蛋白尿值如何,芬尼酮可以改善DKD患者的eGFR斜率,而不会引起显著的高钾血症。
本文章由计算机程序翻译,如有差异,请以英文原文为准。

Real-world analysis of the impact of finerenone on estimated glomerular filtration rate and albuminuria in patients with diabetic kidney disease.

Real-world analysis of the impact of finerenone on estimated glomerular filtration rate and albuminuria in patients with diabetic kidney disease.

Real-world analysis of the impact of finerenone on estimated glomerular filtration rate and albuminuria in patients with diabetic kidney disease.

Real-world analysis of the impact of finerenone on estimated glomerular filtration rate and albuminuria in patients with diabetic kidney disease.

Aims: Large-scale clinical trials have shown that finerenone reduces the urinary albumin-to-creatinine ratio (UACR) and slows estimated glomerular filtration rate (eGFR) decline, thereby inhibiting a composite cardiovascular and kidney endpoint. However, the efficacy and safety of finerenone in clinical practice remain unknown. This study evaluated eGFR decline and changes in UACR as efficacy endpoints and changes in the serum potassium level as a safety endpoint in patients with diabetic kidney disease (DKD).

Methods: This retrospective observational study was conducted in a real-world clinical setting and included patients with DKD. Eligible patients were those diagnosed with chronic kidney disease stage G1 to G4 who had a UACR of ≥30 mg/gCr while taking a renin-angiotensin system inhibitor and who had initiated finerenone. Endpoints included changes in the eGFR slope, UACR, other urinary biomarkers, laboratory and vital parameters, and adverse events.

Results: The analysis included 120 patients. Finerenone significantly improved the rate of eGFR decline from -4.99 (-5.75, -4.23) to -0.59 (-1.24, 0.07) mL/min/1.73 m2/year (P < .0001). UACR also decreased significantly after finerenone treatment from 908 to 487 mg/gCr (P < .0001). Finerenone improved the eGFR slope across all baseline eGFR and albuminuria categories. The rate of eGFR decline improved regardless of whether sodium-glucose cotransporter 2 inhibitor therapy was used concomitantly. Symptomatic hypotension, acute kidney injury and hyperkalemia leading to drug discontinuation were uncommon.

Conclusions: This real-world analysis suggests that finerenone may improve the eGFR slope in patients with DKD without causing significant hyperkalemia, regardless of baseline eGFR and albuminuria values.

求助全文
通过发布文献求助,成功后即可免费获取论文全文。 去求助
来源期刊
Clinical Kidney Journal
Clinical Kidney Journal Medicine-Transplantation
CiteScore
6.70
自引率
10.90%
发文量
242
审稿时长
8 weeks
期刊介绍: About the Journal Clinical Kidney Journal: Clinical and Translational Nephrology (ckj), an official journal of the ERA-EDTA (European Renal Association-European Dialysis and Transplant Association), is a fully open access, online only journal publishing bimonthly. The journal is an essential educational and training resource integrating clinical, translational and educational research into clinical practice. ckj aims to contribute to a translational research culture among nephrologists and kidney pathologists that helps close the gap between basic researchers and practicing clinicians and promote sorely needed innovation in the Nephrology field. All research articles in this journal have undergone peer review.
×
引用
GB/T 7714-2015
复制
MLA
复制
APA
复制
导出至
BibTeX EndNote RefMan NoteFirst NoteExpress
×
提示
您的信息不完整,为了账户安全,请先补充。
现在去补充
×
提示
您因"违规操作"
具体请查看互助需知
我知道了
×
提示
确定
请完成安全验证×
copy
已复制链接
快去分享给好友吧!
我知道了
右上角分享
点击右上角分享
0
联系我们:info@booksci.cn Book学术提供免费学术资源搜索服务,方便国内外学者检索中英文文献。致力于提供最便捷和优质的服务体验。 Copyright © 2023 布克学术 All rights reserved.
京ICP备2023020795号-1
ghs 京公网安备 11010802042870号
Book学术文献互助
Book学术文献互助群
群 号:604180095
Book学术官方微信