基于ct的放射组学和深度学习预测肺腺癌中EGFR突变状态。

IF 3.5 3区 医学 Q2 ONCOLOGY
Frontiers in Oncology Pub Date : 2025-10-02 eCollection Date: 2025-01-01 DOI:10.3389/fonc.2025.1597548
Xingzhi Jiang, Qian Sun, Can Wang, Wei Li, Wang Chen, Juan Xu, Lei Yu
{"title":"基于ct的放射组学和深度学习预测肺腺癌中EGFR突变状态。","authors":"Xingzhi Jiang, Qian Sun, Can Wang, Wei Li, Wang Chen, Juan Xu, Lei Yu","doi":"10.3389/fonc.2025.1597548","DOIUrl":null,"url":null,"abstract":"<p><strong>Objectives: </strong>Epidermal growth factor receptor (EGFR) mutation status is an essential biomarker guiding targeted therapy selection in lung adenocarcinoma. This study aimed to develop and validate a non-invasive predictive model that integrates radiomics and deep learning using CT images for accurate assessment of EGFR mutation status.</p><p><strong>Methods: </strong>A total of 220 patients with lung adenocarcinoma were retrospectively enrolled and randomly divided into training and testing cohorts at a 7:3 ratio. Radiomics features were extracted from CT images using PyRadiomics, and deep learning features were obtained from five pretrained architectures: ResNet34, ResNet152, DenseNet121, ShuffleNet, and Vision Transformer (ViT). Feature selection used the intraclass correlation coefficient, Spearman correlation, and LASSO regression. The deep learning architectures were compared within the training set using cross-validation, and the best-performing architecture, ViT, was retained for downstream modeling. Based on the selected features, we constructed a radiomics model (Rad model), a ViT-based deep learning model (ViT model), and two fusion models (early fusion and late fusion) integrating radiomics and ViT features. Model performance was evaluated using receiver operating characteristic (ROC) curves, area under the curve (AUC), accuracy, sensitivity, specificity, precision, F1-score, and decision curve analysis (DCA).</p><p><strong>Results: </strong>The fusion models outperformed both radiomics and deep learning models in predicting EGFR mutation status. In the testing set, the early fusion model achieved the highest predictive performance (AUC = 0.910), exceeding the late fusion model (AUC = 0.892), the ViT model (AUC = 0.870), and the Rad model (AUC = 0.792). It also demonstrated superior accuracy (0.848), sensitivity (0.872), and specificity (0.815). Decision curve analysis further confirmed its clinical utility.</p><p><strong>Conclusion: </strong>Our study demonstrated that integrating radiomics and deep learning contributed to EGFR mutation prediction, providing a non-invasive approach to support personalized treatment decisions in lung adenocarcinoma.</p>","PeriodicalId":12482,"journal":{"name":"Frontiers in Oncology","volume":"15 ","pages":"1597548"},"PeriodicalIF":3.5000,"publicationDate":"2025-10-02","publicationTypes":"Journal Article","fieldsOfStudy":null,"isOpenAccess":false,"openAccessPdf":"https://www.ncbi.nlm.nih.gov/pmc/articles/PMC12527853/pdf/","citationCount":"0","resultStr":"{\"title\":\"CT-based radiomics and deep learning to predict EGFR mutation status in lung adenocarcinoma.\",\"authors\":\"Xingzhi Jiang, Qian Sun, Can Wang, Wei Li, Wang Chen, Juan Xu, Lei Yu\",\"doi\":\"10.3389/fonc.2025.1597548\",\"DOIUrl\":null,\"url\":null,\"abstract\":\"<p><strong>Objectives: </strong>Epidermal growth factor receptor (EGFR) mutation status is an essential biomarker guiding targeted therapy selection in lung adenocarcinoma. This study aimed to develop and validate a non-invasive predictive model that integrates radiomics and deep learning using CT images for accurate assessment of EGFR mutation status.</p><p><strong>Methods: </strong>A total of 220 patients with lung adenocarcinoma were retrospectively enrolled and randomly divided into training and testing cohorts at a 7:3 ratio. Radiomics features were extracted from CT images using PyRadiomics, and deep learning features were obtained from five pretrained architectures: ResNet34, ResNet152, DenseNet121, ShuffleNet, and Vision Transformer (ViT). Feature selection used the intraclass correlation coefficient, Spearman correlation, and LASSO regression. The deep learning architectures were compared within the training set using cross-validation, and the best-performing architecture, ViT, was retained for downstream modeling. Based on the selected features, we constructed a radiomics model (Rad model), a ViT-based deep learning model (ViT model), and two fusion models (early fusion and late fusion) integrating radiomics and ViT features. Model performance was evaluated using receiver operating characteristic (ROC) curves, area under the curve (AUC), accuracy, sensitivity, specificity, precision, F1-score, and decision curve analysis (DCA).</p><p><strong>Results: </strong>The fusion models outperformed both radiomics and deep learning models in predicting EGFR mutation status. In the testing set, the early fusion model achieved the highest predictive performance (AUC = 0.910), exceeding the late fusion model (AUC = 0.892), the ViT model (AUC = 0.870), and the Rad model (AUC = 0.792). It also demonstrated superior accuracy (0.848), sensitivity (0.872), and specificity (0.815). Decision curve analysis further confirmed its clinical utility.</p><p><strong>Conclusion: </strong>Our study demonstrated that integrating radiomics and deep learning contributed to EGFR mutation prediction, providing a non-invasive approach to support personalized treatment decisions in lung adenocarcinoma.</p>\",\"PeriodicalId\":12482,\"journal\":{\"name\":\"Frontiers in Oncology\",\"volume\":\"15 \",\"pages\":\"1597548\"},\"PeriodicalIF\":3.5000,\"publicationDate\":\"2025-10-02\",\"publicationTypes\":\"Journal Article\",\"fieldsOfStudy\":null,\"isOpenAccess\":false,\"openAccessPdf\":\"https://www.ncbi.nlm.nih.gov/pmc/articles/PMC12527853/pdf/\",\"citationCount\":\"0\",\"resultStr\":null,\"platform\":\"Semanticscholar\",\"paperid\":null,\"PeriodicalName\":\"Frontiers in Oncology\",\"FirstCategoryId\":\"3\",\"ListUrlMain\":\"https://doi.org/10.3389/fonc.2025.1597548\",\"RegionNum\":3,\"RegionCategory\":\"医学\",\"ArticlePicture\":[],\"TitleCN\":null,\"AbstractTextCN\":null,\"PMCID\":null,\"EPubDate\":\"2025/1/1 0:00:00\",\"PubModel\":\"eCollection\",\"JCR\":\"Q2\",\"JCRName\":\"ONCOLOGY\",\"Score\":null,\"Total\":0}","platform":"Semanticscholar","paperid":null,"PeriodicalName":"Frontiers in Oncology","FirstCategoryId":"3","ListUrlMain":"https://doi.org/10.3389/fonc.2025.1597548","RegionNum":3,"RegionCategory":"医学","ArticlePicture":[],"TitleCN":null,"AbstractTextCN":null,"PMCID":null,"EPubDate":"2025/1/1 0:00:00","PubModel":"eCollection","JCR":"Q2","JCRName":"ONCOLOGY","Score":null,"Total":0}
引用次数: 0

摘要

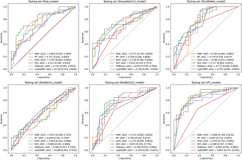
目的:表皮生长因子受体(EGFR)突变状态是指导肺腺癌靶向治疗选择的重要生物标志物。本研究旨在开发和验证一种非侵入性预测模型,该模型将放射组学和深度学习结合起来,利用CT图像准确评估EGFR突变状态。方法:回顾性纳入220例肺腺癌患者,按7:3的比例随机分为训练组和试验组。利用PyRadiomics从CT图像中提取放射组学特征,并从ResNet34、ResNet152、DenseNet121、ShuffleNet和Vision Transformer (ViT)五个预训练架构中获得深度学习特征。特征选择采用类内相关系数、Spearman相关和LASSO回归。使用交叉验证对训练集中的深度学习架构进行比较,并保留表现最佳的架构ViT用于下游建模。基于所选择的特征,我们构建了放射组学模型(Rad模型)、基于ViT的深度学习模型(ViT模型)以及融合放射组学和ViT特征的两种融合模型(早期融合和晚期融合)。采用受试者工作特征(ROC)曲线、曲线下面积(AUC)、准确性、敏感性、特异性、精密度、f1评分和决策曲线分析(DCA)来评价模型的性能。结果:融合模型在预测EGFR突变状态方面优于放射组学和深度学习模型。在测试集中,早期融合模型的预测性能最高(AUC = 0.910),超过了晚期融合模型(AUC = 0.892)、ViT模型(AUC = 0.870)和Rad模型(AUC = 0.792)。该方法具有较高的准确性(0.848)、敏感性(0.872)和特异性(0.815)。决策曲线分析进一步证实了其临床应用价值。结论:我们的研究表明,结合放射组学和深度学习有助于EGFR突变预测,为支持肺腺癌的个性化治疗决策提供了一种非侵入性方法。
本文章由计算机程序翻译,如有差异,请以英文原文为准。

CT-based radiomics and deep learning to predict EGFR mutation status in lung adenocarcinoma.

CT-based radiomics and deep learning to predict EGFR mutation status in lung adenocarcinoma.

CT-based radiomics and deep learning to predict EGFR mutation status in lung adenocarcinoma.

CT-based radiomics and deep learning to predict EGFR mutation status in lung adenocarcinoma.

Objectives: Epidermal growth factor receptor (EGFR) mutation status is an essential biomarker guiding targeted therapy selection in lung adenocarcinoma. This study aimed to develop and validate a non-invasive predictive model that integrates radiomics and deep learning using CT images for accurate assessment of EGFR mutation status.

Methods: A total of 220 patients with lung adenocarcinoma were retrospectively enrolled and randomly divided into training and testing cohorts at a 7:3 ratio. Radiomics features were extracted from CT images using PyRadiomics, and deep learning features were obtained from five pretrained architectures: ResNet34, ResNet152, DenseNet121, ShuffleNet, and Vision Transformer (ViT). Feature selection used the intraclass correlation coefficient, Spearman correlation, and LASSO regression. The deep learning architectures were compared within the training set using cross-validation, and the best-performing architecture, ViT, was retained for downstream modeling. Based on the selected features, we constructed a radiomics model (Rad model), a ViT-based deep learning model (ViT model), and two fusion models (early fusion and late fusion) integrating radiomics and ViT features. Model performance was evaluated using receiver operating characteristic (ROC) curves, area under the curve (AUC), accuracy, sensitivity, specificity, precision, F1-score, and decision curve analysis (DCA).

Results: The fusion models outperformed both radiomics and deep learning models in predicting EGFR mutation status. In the testing set, the early fusion model achieved the highest predictive performance (AUC = 0.910), exceeding the late fusion model (AUC = 0.892), the ViT model (AUC = 0.870), and the Rad model (AUC = 0.792). It also demonstrated superior accuracy (0.848), sensitivity (0.872), and specificity (0.815). Decision curve analysis further confirmed its clinical utility.

Conclusion: Our study demonstrated that integrating radiomics and deep learning contributed to EGFR mutation prediction, providing a non-invasive approach to support personalized treatment decisions in lung adenocarcinoma.

求助全文
通过发布文献求助,成功后即可免费获取论文全文。 去求助
来源期刊
Frontiers in Oncology
Frontiers in Oncology Biochemistry, Genetics and Molecular Biology-Cancer Research
CiteScore
6.20
自引率
10.60%
发文量
6641
审稿时长
14 weeks
期刊介绍: Cancer Imaging and Diagnosis is dedicated to the publication of results from clinical and research studies applied to cancer diagnosis and treatment. The section aims to publish studies from the entire field of cancer imaging: results from routine use of clinical imaging in both radiology and nuclear medicine, results from clinical trials, experimental molecular imaging in humans and small animals, research on new contrast agents in CT, MRI, ultrasound, publication of new technical applications and processing algorithms to improve the standardization of quantitative imaging and image guided interventions for the diagnosis and treatment of cancer.
×
引用
GB/T 7714-2015
复制
MLA
复制
APA
复制
导出至
BibTeX EndNote RefMan NoteFirst NoteExpress
×
提示
您的信息不完整,为了账户安全,请先补充。
现在去补充
×
提示
您因"违规操作"
具体请查看互助需知
我知道了
×
提示
确定
请完成安全验证×
copy
已复制链接
快去分享给好友吧!
我知道了
右上角分享
点击右上角分享
0
联系我们:info@booksci.cn Book学术提供免费学术资源搜索服务,方便国内外学者检索中英文文献。致力于提供最便捷和优质的服务体验。 Copyright © 2023 布克学术 All rights reserved.
京ICP备2023020795号-1
ghs 京公网安备 11010802042870号
Book学术文献互助
Book学术文献互助群
群 号:604180095
Book学术官方微信