通过聚氨酯基活性环氧乳化剂和封盖剂增强水性环氧薄膜的增韧和耐腐蚀性能

IF 3.9 3区 材料科学 Q2 MATERIALS SCIENCE, MULTIDISCIPLINARY
Hanyu Guan, Dengyu Zhang, Zhiyong Liu, Yi Ding, Qingbo Liu
{"title":"通过聚氨酯基活性环氧乳化剂和封盖剂增强水性环氧薄膜的增韧和耐腐蚀性能","authors":"Hanyu Guan,&nbsp;Dengyu Zhang,&nbsp;Zhiyong Liu,&nbsp;Yi Ding,&nbsp;Qingbo Liu","doi":"10.1007/s10853-025-11429-w","DOIUrl":null,"url":null,"abstract":"<div><p>The high brittleness and poor barrier properties of waterborne epoxy anti-corrosion films have limited their widespread application. In this study, a flexible epoxy curing agent capable of room-temperature curing was prepared, and the effects of polyurethane (PU) content and capping agents on the toughness and corrosion resistance of films were systematically investigated. The optimized film exhibited an elongation at break of 8.12% and a tensile strength of 47.14 MPa. The incorporation of 15% polyurethane-based reactive epoxy emulsifier (PUEM) notably enhanced the toughness of the film, while the addition of 30% butyl glycidyl ether (BGE) increased the cross-linking density, further improving both mechanical properties and corrosion resistance. Scanning electron microscopy (SEM) revealed the formation of shear bands on the fracture surface upon PU incorporation. Transmission electron microscopy (TEM) demonstrated PU was uniformly distributed within the EP matrix as nanosized microspheres. Moreover, the formation of an interpenetrating polymer network (IPN) structure within the cured epoxy matrix effectively hinders the penetration of corrosive media through micropores and microcracks, thereby offering improved corrosion protection.</p></div>","PeriodicalId":645,"journal":{"name":"Journal of Materials Science","volume":"60 41","pages":"20110 - 20125"},"PeriodicalIF":3.9000,"publicationDate":"2025-10-04","publicationTypes":"Journal Article","fieldsOfStudy":null,"isOpenAccess":false,"openAccessPdf":"","citationCount":"0","resultStr":"{\"title\":\"Toughening and corrosion resistance enhancement of waterborne epoxy films via polyurethane-based reactive epoxy emulsifier and capping agents\",\"authors\":\"Hanyu Guan,&nbsp;Dengyu Zhang,&nbsp;Zhiyong Liu,&nbsp;Yi Ding,&nbsp;Qingbo Liu\",\"doi\":\"10.1007/s10853-025-11429-w\",\"DOIUrl\":null,\"url\":null,\"abstract\":\"<div><p>The high brittleness and poor barrier properties of waterborne epoxy anti-corrosion films have limited their widespread application. In this study, a flexible epoxy curing agent capable of room-temperature curing was prepared, and the effects of polyurethane (PU) content and capping agents on the toughness and corrosion resistance of films were systematically investigated. The optimized film exhibited an elongation at break of 8.12% and a tensile strength of 47.14 MPa. The incorporation of 15% polyurethane-based reactive epoxy emulsifier (PUEM) notably enhanced the toughness of the film, while the addition of 30% butyl glycidyl ether (BGE) increased the cross-linking density, further improving both mechanical properties and corrosion resistance. Scanning electron microscopy (SEM) revealed the formation of shear bands on the fracture surface upon PU incorporation. Transmission electron microscopy (TEM) demonstrated PU was uniformly distributed within the EP matrix as nanosized microspheres. Moreover, the formation of an interpenetrating polymer network (IPN) structure within the cured epoxy matrix effectively hinders the penetration of corrosive media through micropores and microcracks, thereby offering improved corrosion protection.</p></div>\",\"PeriodicalId\":645,\"journal\":{\"name\":\"Journal of Materials Science\",\"volume\":\"60 41\",\"pages\":\"20110 - 20125\"},\"PeriodicalIF\":3.9000,\"publicationDate\":\"2025-10-04\",\"publicationTypes\":\"Journal Article\",\"fieldsOfStudy\":null,\"isOpenAccess\":false,\"openAccessPdf\":\"\",\"citationCount\":\"0\",\"resultStr\":null,\"platform\":\"Semanticscholar\",\"paperid\":null,\"PeriodicalName\":\"Journal of Materials Science\",\"FirstCategoryId\":\"88\",\"ListUrlMain\":\"https://link.springer.com/article/10.1007/s10853-025-11429-w\",\"RegionNum\":3,\"RegionCategory\":\"材料科学\",\"ArticlePicture\":[],\"TitleCN\":null,\"AbstractTextCN\":null,\"PMCID\":null,\"EPubDate\":\"\",\"PubModel\":\"\",\"JCR\":\"Q2\",\"JCRName\":\"MATERIALS SCIENCE, MULTIDISCIPLINARY\",\"Score\":null,\"Total\":0}","platform":"Semanticscholar","paperid":null,"PeriodicalName":"Journal of Materials Science","FirstCategoryId":"88","ListUrlMain":"https://link.springer.com/article/10.1007/s10853-025-11429-w","RegionNum":3,"RegionCategory":"材料科学","ArticlePicture":[],"TitleCN":null,"AbstractTextCN":null,"PMCID":null,"EPubDate":"","PubModel":"","JCR":"Q2","JCRName":"MATERIALS SCIENCE, MULTIDISCIPLINARY","Score":null,"Total":0}
引用次数: 0

摘要

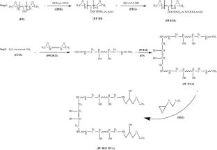
水性环氧防腐膜的高脆性和阻隔性差限制了其广泛应用。本研究制备了一种可室温固化的柔性环氧固化剂,并系统研究了聚氨酯(PU)含量和封盖剂对薄膜韧性和耐腐蚀性的影响。优化后的薄膜断裂伸长率为8.12%,抗拉强度为47.14 MPa。15%聚氨酯基活性环氧乳化剂(PUEM)的加入显著提高了膜的韧性,30%丁基缩水甘油醚(BGE)的加入提高了交联密度,进一步提高了膜的机械性能和耐腐蚀性。扫描电镜(SEM)显示,PU掺入后,断口表面形成剪切带。透射电镜(TEM)显示PU以纳米微球的形式均匀分布在EP基体中。此外,在固化的环氧树脂基体内形成互穿聚合物网络(IPN)结构,有效地阻止了腐蚀介质通过微孔和微裂纹的渗透,从而提高了防腐性能。
本文章由计算机程序翻译,如有差异,请以英文原文为准。

Toughening and corrosion resistance enhancement of waterborne epoxy films via polyurethane-based reactive epoxy emulsifier and capping agents

Toughening and corrosion resistance enhancement of waterborne epoxy films via polyurethane-based reactive epoxy emulsifier and capping agents

The high brittleness and poor barrier properties of waterborne epoxy anti-corrosion films have limited their widespread application. In this study, a flexible epoxy curing agent capable of room-temperature curing was prepared, and the effects of polyurethane (PU) content and capping agents on the toughness and corrosion resistance of films were systematically investigated. The optimized film exhibited an elongation at break of 8.12% and a tensile strength of 47.14 MPa. The incorporation of 15% polyurethane-based reactive epoxy emulsifier (PUEM) notably enhanced the toughness of the film, while the addition of 30% butyl glycidyl ether (BGE) increased the cross-linking density, further improving both mechanical properties and corrosion resistance. Scanning electron microscopy (SEM) revealed the formation of shear bands on the fracture surface upon PU incorporation. Transmission electron microscopy (TEM) demonstrated PU was uniformly distributed within the EP matrix as nanosized microspheres. Moreover, the formation of an interpenetrating polymer network (IPN) structure within the cured epoxy matrix effectively hinders the penetration of corrosive media through micropores and microcracks, thereby offering improved corrosion protection.

求助全文
通过发布文献求助,成功后即可免费获取论文全文。 去求助
来源期刊
Journal of Materials Science
Journal of Materials Science 工程技术-材料科学:综合
CiteScore
7.90
自引率
4.40%
发文量
1297
审稿时长
2.4 months
期刊介绍: The Journal of Materials Science publishes reviews, full-length papers, and short Communications recording original research results on, or techniques for studying the relationship between structure, properties, and uses of materials. The subjects are seen from international and interdisciplinary perspectives covering areas including metals, ceramics, glasses, polymers, electrical materials, composite materials, fibers, nanostructured materials, nanocomposites, and biological and biomedical materials. The Journal of Materials Science is now firmly established as the leading source of primary communication for scientists investigating the structure and properties of all engineering materials.
×
引用
GB/T 7714-2015
复制
MLA
复制
APA
复制
导出至
BibTeX EndNote RefMan NoteFirst NoteExpress
×
提示
您的信息不完整,为了账户安全,请先补充。
现在去补充
×
提示
您因"违规操作"
具体请查看互助需知
我知道了
×
提示
确定
请完成安全验证×
copy
已复制链接
快去分享给好友吧!
我知道了
右上角分享
点击右上角分享
0
联系我们:info@booksci.cn Book学术提供免费学术资源搜索服务,方便国内外学者检索中英文文献。致力于提供最便捷和优质的服务体验。 Copyright © 2023 布克学术 All rights reserved.
京ICP备2023020795号-1
ghs 京公网安备 11010802042870号
Book学术文献互助
Book学术文献互助群
群 号:604180095
Book学术官方微信