膈超声评价慢性阻塞性肺疾病急性加重期机械通气预后的预测价值分析。

IF 2.8 3区 医学 Q2 RESPIRATORY SYSTEM
Leilei Qu, Wenping Zhao, Wei Zhang, Jiping Li
{"title":"膈超声评价慢性阻塞性肺疾病急性加重期机械通气预后的预测价值分析。","authors":"Leilei Qu, Wenping Zhao, Wei Zhang, Jiping Li","doi":"10.1186/s12890-025-03567-3","DOIUrl":null,"url":null,"abstract":"<p><strong>Background: </strong>Chronic obstructive pulmonary disease (COPD) exacerbations often necessitate mechanical ventilation. Weaning from ventilation poses challenges, especially due to diaphragmatic dysfunction. We evaluated the predictive value of diaphragmatic ultrasound for mechanical ventilation outcomes in COPD patients during acute exacerbations.</p><p><strong>Methods: </strong>A retrospective analysis was conducted on 200 patients experiencing acute COPD exacerbations between June 2020 and September 2023. We identified these patients using the ICD-10 codes for COPD (J44.x) and acute exacerbations from our electronic medical record system.Patients underwent diaphragmatic ultrasound assessments and were then grouped based on weaning success or failure. The study investigated parameters such as the E-T index, diaphragmatic displacement (DD), and diaphragmatic thickening fraction (DTF), correlating them with weaning outcomes. Correlation and receiver operating characteristic (ROC) analyses were employed to ascertain predictive values.</p><p><strong>Results: </strong>The E-T index, DD, and DTF were significantly higher in the success group, indicating these parameters as predictors of successful weaning. The E-T index (rho = -0.254, P < 0.001), DD (rho = -0.269, P < 0.001), and DTF (rho = -0.201, P = 0.004) negatively correlated with weaning failure. Conversely, the diaphragmatic Rapid Shallow Breathing Index (D-RSBI) positively correlated with failure (rho = 0.179, P = 0.011). Higher LUS scores predicted weaning failure (P = 0.029). Combined analysis of ultrasound indicators demonstrated an area under the curve (AUC) of 0.905, highlighting the model's predictive utility.Additional correlations showed that higher PaCO₂ before weaning was linked with lower DD, suggesting an association between impaired diaphragmatic mechanics and elevated CO₂ levels.</p><p><strong>Conclusion: </strong>Diaphragmatic ultrasound was a valuable tool for assessing readiness for mechanical ventilation weaning in COPD exacerbations, enhancing the precision of clinical decisions.Our findings also suggest that a threshold E-T index of ∼ 1.915 and DTF of ∼ 42.475% may have clinical relevance in identifying successful weaners.</p>","PeriodicalId":9148,"journal":{"name":"BMC Pulmonary Medicine","volume":"25 1","pages":"478"},"PeriodicalIF":2.8000,"publicationDate":"2025-10-17","publicationTypes":"Journal Article","fieldsOfStudy":null,"isOpenAccess":false,"openAccessPdf":"https://www.ncbi.nlm.nih.gov/pmc/articles/PMC12535007/pdf/","citationCount":"0","resultStr":"{\"title\":\"Predictive value analysis of diaphragmatic ultrasound evaluation for mechanical ventilation outcomes in patients with acute exacerbation of chronic obstructive pulmonary disease.\",\"authors\":\"Leilei Qu, Wenping Zhao, Wei Zhang, Jiping Li\",\"doi\":\"10.1186/s12890-025-03567-3\",\"DOIUrl\":null,\"url\":null,\"abstract\":\"<p><strong>Background: </strong>Chronic obstructive pulmonary disease (COPD) exacerbations often necessitate mechanical ventilation. Weaning from ventilation poses challenges, especially due to diaphragmatic dysfunction. We evaluated the predictive value of diaphragmatic ultrasound for mechanical ventilation outcomes in COPD patients during acute exacerbations.</p><p><strong>Methods: </strong>A retrospective analysis was conducted on 200 patients experiencing acute COPD exacerbations between June 2020 and September 2023. We identified these patients using the ICD-10 codes for COPD (J44.x) and acute exacerbations from our electronic medical record system.Patients underwent diaphragmatic ultrasound assessments and were then grouped based on weaning success or failure. The study investigated parameters such as the E-T index, diaphragmatic displacement (DD), and diaphragmatic thickening fraction (DTF), correlating them with weaning outcomes. Correlation and receiver operating characteristic (ROC) analyses were employed to ascertain predictive values.</p><p><strong>Results: </strong>The E-T index, DD, and DTF were significantly higher in the success group, indicating these parameters as predictors of successful weaning. The E-T index (rho = -0.254, P < 0.001), DD (rho = -0.269, P < 0.001), and DTF (rho = -0.201, P = 0.004) negatively correlated with weaning failure. Conversely, the diaphragmatic Rapid Shallow Breathing Index (D-RSBI) positively correlated with failure (rho = 0.179, P = 0.011). Higher LUS scores predicted weaning failure (P = 0.029). Combined analysis of ultrasound indicators demonstrated an area under the curve (AUC) of 0.905, highlighting the model's predictive utility.Additional correlations showed that higher PaCO₂ before weaning was linked with lower DD, suggesting an association between impaired diaphragmatic mechanics and elevated CO₂ levels.</p><p><strong>Conclusion: </strong>Diaphragmatic ultrasound was a valuable tool for assessing readiness for mechanical ventilation weaning in COPD exacerbations, enhancing the precision of clinical decisions.Our findings also suggest that a threshold E-T index of ∼ 1.915 and DTF of ∼ 42.475% may have clinical relevance in identifying successful weaners.</p>\",\"PeriodicalId\":9148,\"journal\":{\"name\":\"BMC Pulmonary Medicine\",\"volume\":\"25 1\",\"pages\":\"478\"},\"PeriodicalIF\":2.8000,\"publicationDate\":\"2025-10-17\",\"publicationTypes\":\"Journal Article\",\"fieldsOfStudy\":null,\"isOpenAccess\":false,\"openAccessPdf\":\"https://www.ncbi.nlm.nih.gov/pmc/articles/PMC12535007/pdf/\",\"citationCount\":\"0\",\"resultStr\":null,\"platform\":\"Semanticscholar\",\"paperid\":null,\"PeriodicalName\":\"BMC Pulmonary Medicine\",\"FirstCategoryId\":\"3\",\"ListUrlMain\":\"https://doi.org/10.1186/s12890-025-03567-3\",\"RegionNum\":3,\"RegionCategory\":\"医学\",\"ArticlePicture\":[],\"TitleCN\":null,\"AbstractTextCN\":null,\"PMCID\":null,\"EPubDate\":\"\",\"PubModel\":\"\",\"JCR\":\"Q2\",\"JCRName\":\"RESPIRATORY SYSTEM\",\"Score\":null,\"Total\":0}","platform":"Semanticscholar","paperid":null,"PeriodicalName":"BMC Pulmonary Medicine","FirstCategoryId":"3","ListUrlMain":"https://doi.org/10.1186/s12890-025-03567-3","RegionNum":3,"RegionCategory":"医学","ArticlePicture":[],"TitleCN":null,"AbstractTextCN":null,"PMCID":null,"EPubDate":"","PubModel":"","JCR":"Q2","JCRName":"RESPIRATORY SYSTEM","Score":null,"Total":0}
引用次数: 0

摘要

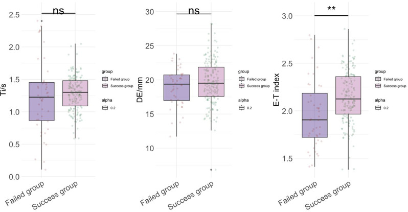
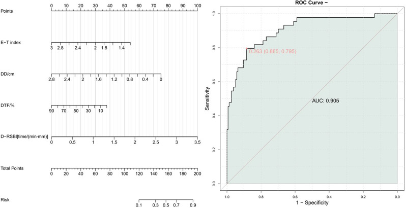
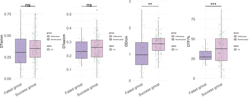
背景:慢性阻塞性肺疾病(COPD)急性加重常常需要机械通气。脱离通气带来了挑战,特别是由于膈肌功能障碍。我们评估了膈超声对COPD患者急性加重期机械通气结果的预测价值。方法:对2020年6月至2023年9月期间200例急性COPD加重患者进行回顾性分析。我们使用电子病历系统中的慢性阻塞性肺病(J44.x)和急性加重的ICD-10代码来识别这些患者。患者接受膈超声评估,然后根据断奶成功或失败进行分组。该研究调查了E-T指数、膈位移(DD)和膈增厚分数(DTF)等参数,并将它们与断奶结果相关联。采用相关分析和受试者工作特征(ROC)分析确定预测值。结果:成功组的E-T指数、DD和DTF明显高于成功组,说明这些参数是成功断奶的预测指标。结论:横膈膜超声是评估COPD加重期机械通气脱机准备程度的一种有价值的工具,可提高临床决策的准确性。我们的研究结果还表明,阈值E-T指数为1.915,DTF为42.475%,可能与确定成功断奶具有临床相关性。
本文章由计算机程序翻译,如有差异,请以英文原文为准。

Predictive value analysis of diaphragmatic ultrasound evaluation for mechanical ventilation outcomes in patients with acute exacerbation of chronic obstructive pulmonary disease.

Predictive value analysis of diaphragmatic ultrasound evaluation for mechanical ventilation outcomes in patients with acute exacerbation of chronic obstructive pulmonary disease.

Predictive value analysis of diaphragmatic ultrasound evaluation for mechanical ventilation outcomes in patients with acute exacerbation of chronic obstructive pulmonary disease.

Predictive value analysis of diaphragmatic ultrasound evaluation for mechanical ventilation outcomes in patients with acute exacerbation of chronic obstructive pulmonary disease.

Background: Chronic obstructive pulmonary disease (COPD) exacerbations often necessitate mechanical ventilation. Weaning from ventilation poses challenges, especially due to diaphragmatic dysfunction. We evaluated the predictive value of diaphragmatic ultrasound for mechanical ventilation outcomes in COPD patients during acute exacerbations.

Methods: A retrospective analysis was conducted on 200 patients experiencing acute COPD exacerbations between June 2020 and September 2023. We identified these patients using the ICD-10 codes for COPD (J44.x) and acute exacerbations from our electronic medical record system.Patients underwent diaphragmatic ultrasound assessments and were then grouped based on weaning success or failure. The study investigated parameters such as the E-T index, diaphragmatic displacement (DD), and diaphragmatic thickening fraction (DTF), correlating them with weaning outcomes. Correlation and receiver operating characteristic (ROC) analyses were employed to ascertain predictive values.

Results: The E-T index, DD, and DTF were significantly higher in the success group, indicating these parameters as predictors of successful weaning. The E-T index (rho = -0.254, P < 0.001), DD (rho = -0.269, P < 0.001), and DTF (rho = -0.201, P = 0.004) negatively correlated with weaning failure. Conversely, the diaphragmatic Rapid Shallow Breathing Index (D-RSBI) positively correlated with failure (rho = 0.179, P = 0.011). Higher LUS scores predicted weaning failure (P = 0.029). Combined analysis of ultrasound indicators demonstrated an area under the curve (AUC) of 0.905, highlighting the model's predictive utility.Additional correlations showed that higher PaCO₂ before weaning was linked with lower DD, suggesting an association between impaired diaphragmatic mechanics and elevated CO₂ levels.

Conclusion: Diaphragmatic ultrasound was a valuable tool for assessing readiness for mechanical ventilation weaning in COPD exacerbations, enhancing the precision of clinical decisions.Our findings also suggest that a threshold E-T index of ∼ 1.915 and DTF of ∼ 42.475% may have clinical relevance in identifying successful weaners.

求助全文
通过发布文献求助,成功后即可免费获取论文全文。 去求助
来源期刊
BMC Pulmonary Medicine
BMC Pulmonary Medicine RESPIRATORY SYSTEM-
CiteScore
4.40
自引率
3.20%
发文量
423
审稿时长
6-12 weeks
期刊介绍: BMC Pulmonary Medicine is an open access, peer-reviewed journal that considers articles on all aspects of the prevention, diagnosis and management of pulmonary and associated disorders, as well as related molecular genetics, pathophysiology, and epidemiology.
×
引用
GB/T 7714-2015
复制
MLA
复制
APA
复制
导出至
BibTeX EndNote RefMan NoteFirst NoteExpress
×
提示
您的信息不完整,为了账户安全,请先补充。
现在去补充
×
提示
您因"违规操作"
具体请查看互助需知
我知道了
×
提示
确定
请完成安全验证×
copy
已复制链接
快去分享给好友吧!
我知道了
右上角分享
点击右上角分享
0
联系我们:info@booksci.cn Book学术提供免费学术资源搜索服务,方便国内外学者检索中英文文献。致力于提供最便捷和优质的服务体验。 Copyright © 2023 布克学术 All rights reserved.
京ICP备2023020795号-1
ghs 京公网安备 11010802042870号
Book学术文献互助
Book学术文献互助群
群 号:604180095
Book学术官方微信