住院老年脑卒中患者衰弱及其影响因素的多维分析。

IF 3.7 3区 医学 Q2 GERIATRICS & GERONTOLOGY
Clinical Interventions in Aging Pub Date : 2025-10-11 eCollection Date: 2025-01-01 DOI:10.2147/CIA.S546975
Huimin Zhou, Yan Han, Dan Xie, Kai Zheng, Haohao Zhu, Zhenhe Zhou, Yingying Ji
{"title":"住院老年脑卒中患者衰弱及其影响因素的多维分析。","authors":"Huimin Zhou, Yan Han, Dan Xie, Kai Zheng, Haohao Zhu, Zhenhe Zhou, Yingying Ji","doi":"10.2147/CIA.S546975","DOIUrl":null,"url":null,"abstract":"<p><strong>Background: </strong>Frailty is a common geriatric syndrome, and its occurrence in elderly stroke patients may further worsen clinical outcomes, yet the influencing factors and potential causal relationship remain unclear.</p><p><strong>Objective: </strong>This study aimed to identify the influencing factors of frailty in elderly hospitalized stroke patients and to analyze the potential causal relationship between stroke and frailty.</p><p><strong>Methods: </strong>A multicenter cross-sectional survey including 210 elderly stroke patients was conducted, and bidirectional Mendelian randomization analysis was applied to examine the causal relationship between stroke and frailty. Univariate and multivariate logistic regression analyses were used to explore the impact of physiological, psychological, and clinical symptom factors on frailty.</p><p><strong>Results: </strong>The frailty index was positively correlated with stroke, and Mendelian randomization confirmed a bidirectional causal relationship. Univariate analysis showed significant associations between frailty and diabetes, lesion site, lesion location, and brain atrophy. Multivariate logistic regression further identified Fugl-Meyer score, Berg score, and MoCA score as independent risk factors for frailty in elderly hospitalized stroke patients.</p><p><strong>Conclusion: </strong>Frailty is strongly associated with stroke, and elderly stroke patients face an increased risk of frailty during hospitalization. These findings provide a basis for early identification of high-risk patients and the development of targeted intervention strategies in clinical practice, with important implications for stroke rehabilitation and elderly care.</p>","PeriodicalId":48841,"journal":{"name":"Clinical Interventions in Aging","volume":"20 ","pages":"1741-1755"},"PeriodicalIF":3.7000,"publicationDate":"2025-10-11","publicationTypes":"Journal Article","fieldsOfStudy":null,"isOpenAccess":false,"openAccessPdf":"https://www.ncbi.nlm.nih.gov/pmc/articles/PMC12526399/pdf/","citationCount":"0","resultStr":"{\"title\":\"Multidimensional Analysis of Frailty and Its Influencing Factors in Hospitalized Elderly Stroke Patients.\",\"authors\":\"Huimin Zhou, Yan Han, Dan Xie, Kai Zheng, Haohao Zhu, Zhenhe Zhou, Yingying Ji\",\"doi\":\"10.2147/CIA.S546975\",\"DOIUrl\":null,\"url\":null,\"abstract\":\"<p><strong>Background: </strong>Frailty is a common geriatric syndrome, and its occurrence in elderly stroke patients may further worsen clinical outcomes, yet the influencing factors and potential causal relationship remain unclear.</p><p><strong>Objective: </strong>This study aimed to identify the influencing factors of frailty in elderly hospitalized stroke patients and to analyze the potential causal relationship between stroke and frailty.</p><p><strong>Methods: </strong>A multicenter cross-sectional survey including 210 elderly stroke patients was conducted, and bidirectional Mendelian randomization analysis was applied to examine the causal relationship between stroke and frailty. Univariate and multivariate logistic regression analyses were used to explore the impact of physiological, psychological, and clinical symptom factors on frailty.</p><p><strong>Results: </strong>The frailty index was positively correlated with stroke, and Mendelian randomization confirmed a bidirectional causal relationship. Univariate analysis showed significant associations between frailty and diabetes, lesion site, lesion location, and brain atrophy. Multivariate logistic regression further identified Fugl-Meyer score, Berg score, and MoCA score as independent risk factors for frailty in elderly hospitalized stroke patients.</p><p><strong>Conclusion: </strong>Frailty is strongly associated with stroke, and elderly stroke patients face an increased risk of frailty during hospitalization. These findings provide a basis for early identification of high-risk patients and the development of targeted intervention strategies in clinical practice, with important implications for stroke rehabilitation and elderly care.</p>\",\"PeriodicalId\":48841,\"journal\":{\"name\":\"Clinical Interventions in Aging\",\"volume\":\"20 \",\"pages\":\"1741-1755\"},\"PeriodicalIF\":3.7000,\"publicationDate\":\"2025-10-11\",\"publicationTypes\":\"Journal Article\",\"fieldsOfStudy\":null,\"isOpenAccess\":false,\"openAccessPdf\":\"https://www.ncbi.nlm.nih.gov/pmc/articles/PMC12526399/pdf/\",\"citationCount\":\"0\",\"resultStr\":null,\"platform\":\"Semanticscholar\",\"paperid\":null,\"PeriodicalName\":\"Clinical Interventions in Aging\",\"FirstCategoryId\":\"3\",\"ListUrlMain\":\"https://doi.org/10.2147/CIA.S546975\",\"RegionNum\":3,\"RegionCategory\":\"医学\",\"ArticlePicture\":[],\"TitleCN\":null,\"AbstractTextCN\":null,\"PMCID\":null,\"EPubDate\":\"2025/1/1 0:00:00\",\"PubModel\":\"eCollection\",\"JCR\":\"Q2\",\"JCRName\":\"GERIATRICS & GERONTOLOGY\",\"Score\":null,\"Total\":0}","platform":"Semanticscholar","paperid":null,"PeriodicalName":"Clinical Interventions in Aging","FirstCategoryId":"3","ListUrlMain":"https://doi.org/10.2147/CIA.S546975","RegionNum":3,"RegionCategory":"医学","ArticlePicture":[],"TitleCN":null,"AbstractTextCN":null,"PMCID":null,"EPubDate":"2025/1/1 0:00:00","PubModel":"eCollection","JCR":"Q2","JCRName":"GERIATRICS & GERONTOLOGY","Score":null,"Total":0}
引用次数: 0

摘要

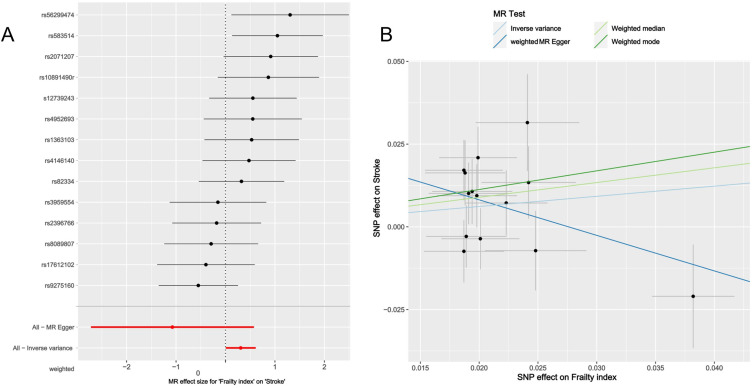
背景:虚弱是一种常见的老年综合征,其在老年脑卒中患者中的发生可能进一步恶化临床预后,其影响因素和潜在的因果关系尚不清楚。目的:探讨老年住院脑卒中患者体弱的影响因素,分析脑卒中与体弱的潜在因果关系。方法:对210例老年脑卒中患者进行多中心横断面调查,采用双向孟德尔随机化分析,探讨脑卒中与虚弱的因果关系。采用单因素和多因素logistic回归分析探讨生理、心理和临床症状因素对虚弱的影响。结果:衰弱指数与脑卒中呈正相关,孟德尔随机化证实两者存在双向因果关系。单因素分析显示,虚弱与糖尿病、病变部位、病变位置和脑萎缩之间存在显著关联。多因素logistic回归进一步证实Fugl-Meyer评分、Berg评分和MoCA评分是老年住院脑卒中患者虚弱的独立危险因素。结论:虚弱与脑卒中密切相关,老年脑卒中患者住院期间虚弱的风险增加。这些发现为临床实践中早期识别高危患者和制定有针对性的干预策略提供了依据,对脑卒中康复和老年护理具有重要意义。
本文章由计算机程序翻译,如有差异,请以英文原文为准。

Multidimensional Analysis of Frailty and Its Influencing Factors in Hospitalized Elderly Stroke Patients.

Multidimensional Analysis of Frailty and Its Influencing Factors in Hospitalized Elderly Stroke Patients.

Multidimensional Analysis of Frailty and Its Influencing Factors in Hospitalized Elderly Stroke Patients.

Multidimensional Analysis of Frailty and Its Influencing Factors in Hospitalized Elderly Stroke Patients.

Background: Frailty is a common geriatric syndrome, and its occurrence in elderly stroke patients may further worsen clinical outcomes, yet the influencing factors and potential causal relationship remain unclear.

Objective: This study aimed to identify the influencing factors of frailty in elderly hospitalized stroke patients and to analyze the potential causal relationship between stroke and frailty.

Methods: A multicenter cross-sectional survey including 210 elderly stroke patients was conducted, and bidirectional Mendelian randomization analysis was applied to examine the causal relationship between stroke and frailty. Univariate and multivariate logistic regression analyses were used to explore the impact of physiological, psychological, and clinical symptom factors on frailty.

Results: The frailty index was positively correlated with stroke, and Mendelian randomization confirmed a bidirectional causal relationship. Univariate analysis showed significant associations between frailty and diabetes, lesion site, lesion location, and brain atrophy. Multivariate logistic regression further identified Fugl-Meyer score, Berg score, and MoCA score as independent risk factors for frailty in elderly hospitalized stroke patients.

Conclusion: Frailty is strongly associated with stroke, and elderly stroke patients face an increased risk of frailty during hospitalization. These findings provide a basis for early identification of high-risk patients and the development of targeted intervention strategies in clinical practice, with important implications for stroke rehabilitation and elderly care.

求助全文
通过发布文献求助,成功后即可免费获取论文全文。 去求助
来源期刊
Clinical Interventions in Aging
Clinical Interventions in Aging GERIATRICS & GERONTOLOGY-
CiteScore
6.80
自引率
2.80%
发文量
193
审稿时长
6-12 weeks
期刊介绍: Clinical Interventions in Aging, is an online, peer reviewed, open access journal focusing on concise rapid reporting of original research and reviews in aging. Special attention will be given to papers reporting on actual or potential clinical applications leading to improved prevention or treatment of disease or a greater understanding of pathological processes that result from maladaptive changes in the body associated with aging. This journal is directed at a wide array of scientists, engineers, pharmacists, pharmacologists and clinical specialists wishing to maintain an up to date knowledge of this exciting and emerging field.
×
引用
GB/T 7714-2015
复制
MLA
复制
APA
复制
导出至
BibTeX EndNote RefMan NoteFirst NoteExpress
×
提示
您的信息不完整,为了账户安全,请先补充。
现在去补充
×
提示
您因"违规操作"
具体请查看互助需知
我知道了
×
提示
确定
请完成安全验证×
copy
已复制链接
快去分享给好友吧!
我知道了
右上角分享
点击右上角分享
0
联系我们:info@booksci.cn Book学术提供免费学术资源搜索服务,方便国内外学者检索中英文文献。致力于提供最便捷和优质的服务体验。 Copyright © 2023 布克学术 All rights reserved.
京ICP备2023020795号-1
ghs 京公网安备 11010802042870号
Book学术文献互助
Book学术文献互助群
群 号:604180095
Book学术官方微信