华东地区青年痤疮患者的社会回避及心理社会因素探讨

IF 2.2 4区 医学 Q3 DERMATOLOGY
Clinical, Cosmetic and Investigational Dermatology Pub Date : 2025-10-11 eCollection Date: 2025-01-01 DOI:10.2147/CCID.S549119
Fen Xu, Nor Aziyan Yahaya, Yunxian Zhou, Junya Chen, Jia Yin Ruan, Yue Sun, Mei-Chan Chong
{"title":"华东地区青年痤疮患者的社会回避及心理社会因素探讨","authors":"Fen Xu, Nor Aziyan Yahaya, Yunxian Zhou, Junya Chen, Jia Yin Ruan, Yue Sun, Mei-Chan Chong","doi":"10.2147/CCID.S549119","DOIUrl":null,"url":null,"abstract":"<p><strong>Background: </strong>Acne is highly prevalent among young adults, and in East Asian contexts-where appearance standards, social media exposure, and the cultural construct of \"face\" (mianzi) are particularly prominent-visible skin lesions may incur amplified social burdens. However, evidence from China remains scarce regarding the key drivers of social avoidance in this population: specifically, whether anxiety, body image disturbance, income level, and lesion distribution exert independent effects, beyond the influence of acne severity itself. This study aims to fill this research gap by examining a sample of young adults with acne from East China.</p><p><strong>Objective: </strong>To investigate social avoidance and its associations with body image disturbance, anxiety, and sociodemographic factors in Chinese young adults with acne.</p><p><strong>Methods: </strong>A cross-sectional study of 201 acne patients (18-29 years) in East China assessed social avoidance (SADS-SA), body image (BIDQ), and anxiety (GAD-7). Pearson correlation analyzed associations among variables, and multivariable linear regression explored independent effects of social avoidance.</p><p><strong>Results: </strong>Mean social-avoidance score was 5.71±3.79 and correlated with BIDQ (r = 0.343, <i>P</i> < 0.01) and GAD-7 (r = 0.546, <i>P</i> < 0.01). In multivariable models, higher income (≥5000 CNY) was negatively associated with avoidance (B =-2.640; β=-0.288; <i>P</i> = 0.022), whereas combined facial/neck + torso was positively associated with avoidance (B = 1.098; β= 0.122; <i>P</i> = 0.040); torso-only was negatively associated with avoidance (B =-3.889; β=-0.175; <i>P</i> = 0.003). Anxiety showed the strongest independent association with social avoidance (B = 0.330; β= 0.458; <i>P</i> < 0.001), while body image disturbance showed no significant direct association (<i>P</i> = 0.053).</p><p><strong>Conclusion: </strong>In Chinese young adults with acne, anxiety is strongly associated with social avoidance-not acne severity itself. Higher income acts protectively, and combined facial/neck and torso distribution indicates greater risk. These findings support the integration of brief anxiety screening, targeted psychosocial interventions, and focused care for patients with visible lesions into dermatological care to reduce social avoidance.</p>","PeriodicalId":10447,"journal":{"name":"Clinical, Cosmetic and Investigational Dermatology","volume":"18 ","pages":"2617-2627"},"PeriodicalIF":2.2000,"publicationDate":"2025-10-11","publicationTypes":"Journal Article","fieldsOfStudy":null,"isOpenAccess":false,"openAccessPdf":"https://www.ncbi.nlm.nih.gov/pmc/articles/PMC12523553/pdf/","citationCount":"0","resultStr":"{\"title\":\"Exploring Social Avoidance and Psychosocial Factors in Young Adults with Acne in East China.\",\"authors\":\"Fen Xu, Nor Aziyan Yahaya, Yunxian Zhou, Junya Chen, Jia Yin Ruan, Yue Sun, Mei-Chan Chong\",\"doi\":\"10.2147/CCID.S549119\",\"DOIUrl\":null,\"url\":null,\"abstract\":\"<p><strong>Background: </strong>Acne is highly prevalent among young adults, and in East Asian contexts-where appearance standards, social media exposure, and the cultural construct of \\\"face\\\" (mianzi) are particularly prominent-visible skin lesions may incur amplified social burdens. However, evidence from China remains scarce regarding the key drivers of social avoidance in this population: specifically, whether anxiety, body image disturbance, income level, and lesion distribution exert independent effects, beyond the influence of acne severity itself. This study aims to fill this research gap by examining a sample of young adults with acne from East China.</p><p><strong>Objective: </strong>To investigate social avoidance and its associations with body image disturbance, anxiety, and sociodemographic factors in Chinese young adults with acne.</p><p><strong>Methods: </strong>A cross-sectional study of 201 acne patients (18-29 years) in East China assessed social avoidance (SADS-SA), body image (BIDQ), and anxiety (GAD-7). Pearson correlation analyzed associations among variables, and multivariable linear regression explored independent effects of social avoidance.</p><p><strong>Results: </strong>Mean social-avoidance score was 5.71±3.79 and correlated with BIDQ (r = 0.343, <i>P</i> < 0.01) and GAD-7 (r = 0.546, <i>P</i> < 0.01). In multivariable models, higher income (≥5000 CNY) was negatively associated with avoidance (B =-2.640; β=-0.288; <i>P</i> = 0.022), whereas combined facial/neck + torso was positively associated with avoidance (B = 1.098; β= 0.122; <i>P</i> = 0.040); torso-only was negatively associated with avoidance (B =-3.889; β=-0.175; <i>P</i> = 0.003). Anxiety showed the strongest independent association with social avoidance (B = 0.330; β= 0.458; <i>P</i> < 0.001), while body image disturbance showed no significant direct association (<i>P</i> = 0.053).</p><p><strong>Conclusion: </strong>In Chinese young adults with acne, anxiety is strongly associated with social avoidance-not acne severity itself. Higher income acts protectively, and combined facial/neck and torso distribution indicates greater risk. These findings support the integration of brief anxiety screening, targeted psychosocial interventions, and focused care for patients with visible lesions into dermatological care to reduce social avoidance.</p>\",\"PeriodicalId\":10447,\"journal\":{\"name\":\"Clinical, Cosmetic and Investigational Dermatology\",\"volume\":\"18 \",\"pages\":\"2617-2627\"},\"PeriodicalIF\":2.2000,\"publicationDate\":\"2025-10-11\",\"publicationTypes\":\"Journal Article\",\"fieldsOfStudy\":null,\"isOpenAccess\":false,\"openAccessPdf\":\"https://www.ncbi.nlm.nih.gov/pmc/articles/PMC12523553/pdf/\",\"citationCount\":\"0\",\"resultStr\":null,\"platform\":\"Semanticscholar\",\"paperid\":null,\"PeriodicalName\":\"Clinical, Cosmetic and Investigational Dermatology\",\"FirstCategoryId\":\"3\",\"ListUrlMain\":\"https://doi.org/10.2147/CCID.S549119\",\"RegionNum\":4,\"RegionCategory\":\"医学\",\"ArticlePicture\":[],\"TitleCN\":null,\"AbstractTextCN\":null,\"PMCID\":null,\"EPubDate\":\"2025/1/1 0:00:00\",\"PubModel\":\"eCollection\",\"JCR\":\"Q3\",\"JCRName\":\"DERMATOLOGY\",\"Score\":null,\"Total\":0}","platform":"Semanticscholar","paperid":null,"PeriodicalName":"Clinical, Cosmetic and Investigational Dermatology","FirstCategoryId":"3","ListUrlMain":"https://doi.org/10.2147/CCID.S549119","RegionNum":4,"RegionCategory":"医学","ArticlePicture":[],"TitleCN":null,"AbstractTextCN":null,"PMCID":null,"EPubDate":"2025/1/1 0:00:00","PubModel":"eCollection","JCR":"Q3","JCRName":"DERMATOLOGY","Score":null,"Total":0}
引用次数: 0

摘要

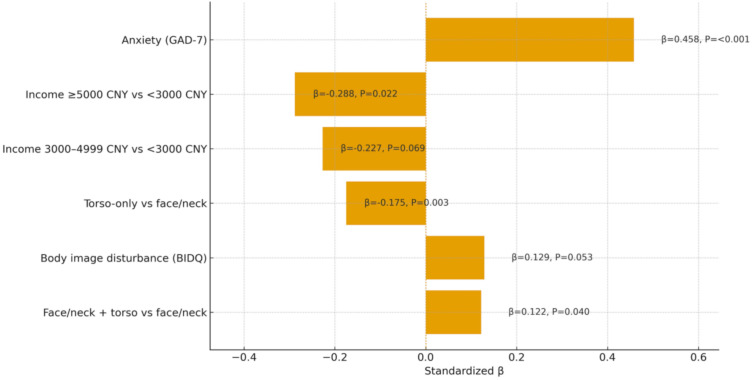
背景:痤疮在年轻人中非常普遍,在东亚环境中,外表标准、社交媒体曝光和“面子”的文化建构尤为突出,可见的皮肤损伤可能会带来更大的社会负担。然而,来自中国的证据仍然缺乏关于这一人群中社交回避的关键驱动因素:特别是,焦虑、身体形象障碍、收入水平和病变分布是否会产生独立的影响,而不是痤疮严重程度本身的影响。本研究旨在填补这一研究空白,通过检查来自华东地区的痤疮年轻人的样本。目的:探讨中国青年痤疮患者的社交回避及其与身体形象障碍、焦虑和社会人口学因素的关系。方法:对华东地区201例痤疮患者(18-29岁)进行横断面研究,评估社会回避(SADS-SA)、身体意象(BIDQ)和焦虑(GAD-7)。Pearson相关分析各变量间的相关性,多变量线性回归分析社会回避的独立影响。结果:社交回避得分均值为5.71±3.79,与BIDQ (r = 0.343, P < 0.01)、GAD-7 (r = 0.546, P < 0.01)相关。在多变量模型中,高收入(≥5000元)与逃避负相关(B =-2.640; β=-0.288; P = 0.022),而面部/颈部+躯干组合与逃避正相关(B = 1.098; β= 0.122; P = 0.040);仅躯干与回避呈负相关(B =-3.889; β=-0.175; P = 0.003)。焦虑与社交回避的独立相关性最强(B = 0.330; β= 0.458; P < 0.001),而身体形象障碍与社交回避的直接相关性不显著(P = 0.053)。结论:在中国患有痤疮的年轻成年人中,焦虑与社交回避密切相关,而不是痤疮严重程度本身。较高的收入具有保护作用,面部/颈部和躯干的综合分布表明风险更大。这些发现支持将短暂的焦虑筛查、有针对性的社会心理干预和对可见病变患者的重点护理纳入皮肤病学护理,以减少社会回避。
本文章由计算机程序翻译,如有差异,请以英文原文为准。

Exploring Social Avoidance and Psychosocial Factors in Young Adults with Acne in East China.

Exploring Social Avoidance and Psychosocial Factors in Young Adults with Acne in East China.

Exploring Social Avoidance and Psychosocial Factors in Young Adults with Acne in East China.

Background: Acne is highly prevalent among young adults, and in East Asian contexts-where appearance standards, social media exposure, and the cultural construct of "face" (mianzi) are particularly prominent-visible skin lesions may incur amplified social burdens. However, evidence from China remains scarce regarding the key drivers of social avoidance in this population: specifically, whether anxiety, body image disturbance, income level, and lesion distribution exert independent effects, beyond the influence of acne severity itself. This study aims to fill this research gap by examining a sample of young adults with acne from East China.

Objective: To investigate social avoidance and its associations with body image disturbance, anxiety, and sociodemographic factors in Chinese young adults with acne.

Methods: A cross-sectional study of 201 acne patients (18-29 years) in East China assessed social avoidance (SADS-SA), body image (BIDQ), and anxiety (GAD-7). Pearson correlation analyzed associations among variables, and multivariable linear regression explored independent effects of social avoidance.

Results: Mean social-avoidance score was 5.71±3.79 and correlated with BIDQ (r = 0.343, P < 0.01) and GAD-7 (r = 0.546, P < 0.01). In multivariable models, higher income (≥5000 CNY) was negatively associated with avoidance (B =-2.640; β=-0.288; P = 0.022), whereas combined facial/neck + torso was positively associated with avoidance (B = 1.098; β= 0.122; P = 0.040); torso-only was negatively associated with avoidance (B =-3.889; β=-0.175; P = 0.003). Anxiety showed the strongest independent association with social avoidance (B = 0.330; β= 0.458; P < 0.001), while body image disturbance showed no significant direct association (P = 0.053).

Conclusion: In Chinese young adults with acne, anxiety is strongly associated with social avoidance-not acne severity itself. Higher income acts protectively, and combined facial/neck and torso distribution indicates greater risk. These findings support the integration of brief anxiety screening, targeted psychosocial interventions, and focused care for patients with visible lesions into dermatological care to reduce social avoidance.

求助全文
通过发布文献求助,成功后即可免费获取论文全文。 去求助
来源期刊
CiteScore
2.80
自引率
4.30%
发文量
353
审稿时长
16 weeks
期刊介绍: Clinical, Cosmetic and Investigational Dermatology is an international, peer-reviewed, open access journal that focuses on the latest clinical and experimental research in all aspects of skin disease and cosmetic interventions. Normal and pathological processes in skin development and aging, their modification and treatment, as well as basic research into histology of dermal and dermal structures that provide clinical insights and potential treatment options are key topics for the journal. Patient satisfaction, preference, quality of life, compliance, persistence and their role in developing new management options to optimize outcomes for target conditions constitute major areas of interest. The journal is characterized by the rapid reporting of clinical studies, reviews and original research in skin research and skin care. All areas of dermatology will be covered; contributions will be welcomed from all clinicians and basic science researchers globally.
×
引用
GB/T 7714-2015
复制
MLA
复制
APA
复制
导出至
BibTeX EndNote RefMan NoteFirst NoteExpress
×
提示
您的信息不完整,为了账户安全,请先补充。
现在去补充
×
提示
您因"违规操作"
具体请查看互助需知
我知道了
×
提示
确定
请完成安全验证×
copy
已复制链接
快去分享给好友吧!
我知道了
右上角分享
点击右上角分享
0
联系我们:info@booksci.cn Book学术提供免费学术资源搜索服务,方便国内外学者检索中英文文献。致力于提供最便捷和优质的服务体验。 Copyright © 2023 布克学术 All rights reserved.
京ICP备2023020795号-1
ghs 京公网安备 11010802042870号
Book学术文献互助
Book学术文献互助群
群 号:604180095
Book学术官方微信