机器人辅助经膀胱单纯性前列腺切除术联合环周粘膜吻合术:292例患者的长期泌尿和性功能结果

IF 3 3区 医学 Q2 SURGERY
Luke Shumaker, Zev Leopold, Max Perilstein, Samuel Ricci, Daniel Eun
{"title":"机器人辅助经膀胱单纯性前列腺切除术联合环周粘膜吻合术:292例患者的长期泌尿和性功能结果","authors":"Luke Shumaker, Zev Leopold, Max Perilstein, Samuel Ricci, Daniel Eun","doi":"10.1007/s11701-025-02879-0","DOIUrl":null,"url":null,"abstract":"<p><p>To assess the long-term urinary and sexual function outcomes for men undergoing robotic-assisted simple prostatectomy (RASP) with circumferential mucosal anastomosis performed at a single, high-volume robotics center. RASP cases performed by a single surgeon from June 2013 through June 2024 using the da Vinci<sup>®</sup> Xi robotic system were analyzed. Indications for surgery were bothersome lower urinary tract symptoms (LUTS) refractory to medical management and prostate volume ≥ 80 g. Urinary function and sexual function parameters were assessed by the American Urologic Association Symptoms Score (AUASS) and Sexual Health Inventory for Men (SHIM), respectively at routine 6-month postoperative visits. A uniform phone survey was conducted in September 2024, which assessed long-term functional outcomes by combining AUASS with questions on incontinence, erectile function, and orgasm. A Wilcoxon signed rank test was utilized to compare pre- and postoperative IPSS and SHIM scores with p < 0.05 considered significant. 292 patients underwent RASP during the query interval and were included in the perioperative analysis with a mean follow-up time of 22.6 months (SD ± 15.2). Mean preoperative AUASS was 17.9 (SD ± 7.9). Mean postoperative AUASS was 5.7 (SD ± 5.2); W-statistic 352.0 (p < 0.001). Bother scores preoperative mean was 4.3 (SD ± 1.5), with postoperative values of 1.1 ± 1.4; W-statistic 395.0 (p < 0.001). Sexual Health Inventory for Men (SHIM) scores demonstrated a preoperative mean of 12.8 (SD ± 8.1). Postoperatively, the SHIM mean was 12.6 (SD ± 8.5); W-statistic: 4462.0 (p = 0.57). No patients required reoperation for LUTS, although one patient underwent completion prostatectomy for malignancy identified on RASP pathology. No patients developed bladder neck contracture. Calls were placed to 288 patients (98.6% of total cohort) at a mean follow up of 66 (SD ± 34.7) months postoperatively, of which 198 (68.8%) answered and consented to survey participation. At the time of the follow-up survey, mean IPSS was 2.1 (SD ± 1.9), mean quality of life score was 0.7 (SD ± 0.8). With respect to continence, 196/198 (98.9%) patients experienced no stress incontinence. Two patients (1%) experienced urge incontinence and one patient (0.5%) utilized an incontinence pad. Regarding sexual activity, 157 (79.3%) patients were sexually active at the time of survey compared to 159 (80.3%) prior to surgery. Of those who remained sexually active, 152 (96.8%) were satisfied with postoperative orgasm, and 149 (94.9%) were satisfied with postoperative erectile function. Notably, 11 (7.0%) of men endorsed a \"bothersome or distressing\" orgasm change. RASP has a low complication rate, low risk of urinary incontinence, no significant impact on erectile function, and provides durable improvements in lower urinary tract symptoms. A small portion of men do experience sustained, bothersome orgasm change following RASP.</p>","PeriodicalId":47616,"journal":{"name":"Journal of Robotic Surgery","volume":"19 1","pages":"693"},"PeriodicalIF":3.0000,"publicationDate":"2025-10-16","publicationTypes":"Journal Article","fieldsOfStudy":null,"isOpenAccess":false,"openAccessPdf":"https://www.ncbi.nlm.nih.gov/pmc/articles/PMC12531315/pdf/","citationCount":"0","resultStr":"{\"title\":\"Robot-assisted transvesical simple prostatectomy with circumferential mucosal anastomosis: long-term urinary and sexual function outcomes in a 292 patient cohort.\",\"authors\":\"Luke Shumaker, Zev Leopold, Max Perilstein, Samuel Ricci, Daniel Eun\",\"doi\":\"10.1007/s11701-025-02879-0\",\"DOIUrl\":null,\"url\":null,\"abstract\":\"<p><p>To assess the long-term urinary and sexual function outcomes for men undergoing robotic-assisted simple prostatectomy (RASP) with circumferential mucosal anastomosis performed at a single, high-volume robotics center. RASP cases performed by a single surgeon from June 2013 through June 2024 using the da Vinci<sup>®</sup> Xi robotic system were analyzed. Indications for surgery were bothersome lower urinary tract symptoms (LUTS) refractory to medical management and prostate volume ≥ 80 g. Urinary function and sexual function parameters were assessed by the American Urologic Association Symptoms Score (AUASS) and Sexual Health Inventory for Men (SHIM), respectively at routine 6-month postoperative visits. A uniform phone survey was conducted in September 2024, which assessed long-term functional outcomes by combining AUASS with questions on incontinence, erectile function, and orgasm. A Wilcoxon signed rank test was utilized to compare pre- and postoperative IPSS and SHIM scores with p < 0.05 considered significant. 292 patients underwent RASP during the query interval and were included in the perioperative analysis with a mean follow-up time of 22.6 months (SD ± 15.2). Mean preoperative AUASS was 17.9 (SD ± 7.9). Mean postoperative AUASS was 5.7 (SD ± 5.2); W-statistic 352.0 (p < 0.001). Bother scores preoperative mean was 4.3 (SD ± 1.5), with postoperative values of 1.1 ± 1.4; W-statistic 395.0 (p < 0.001). Sexual Health Inventory for Men (SHIM) scores demonstrated a preoperative mean of 12.8 (SD ± 8.1). Postoperatively, the SHIM mean was 12.6 (SD ± 8.5); W-statistic: 4462.0 (p = 0.57). No patients required reoperation for LUTS, although one patient underwent completion prostatectomy for malignancy identified on RASP pathology. No patients developed bladder neck contracture. Calls were placed to 288 patients (98.6% of total cohort) at a mean follow up of 66 (SD ± 34.7) months postoperatively, of which 198 (68.8%) answered and consented to survey participation. At the time of the follow-up survey, mean IPSS was 2.1 (SD ± 1.9), mean quality of life score was 0.7 (SD ± 0.8). With respect to continence, 196/198 (98.9%) patients experienced no stress incontinence. Two patients (1%) experienced urge incontinence and one patient (0.5%) utilized an incontinence pad. Regarding sexual activity, 157 (79.3%) patients were sexually active at the time of survey compared to 159 (80.3%) prior to surgery. Of those who remained sexually active, 152 (96.8%) were satisfied with postoperative orgasm, and 149 (94.9%) were satisfied with postoperative erectile function. Notably, 11 (7.0%) of men endorsed a \\\"bothersome or distressing\\\" orgasm change. RASP has a low complication rate, low risk of urinary incontinence, no significant impact on erectile function, and provides durable improvements in lower urinary tract symptoms. A small portion of men do experience sustained, bothersome orgasm change following RASP.</p>\",\"PeriodicalId\":47616,\"journal\":{\"name\":\"Journal of Robotic Surgery\",\"volume\":\"19 1\",\"pages\":\"693\"},\"PeriodicalIF\":3.0000,\"publicationDate\":\"2025-10-16\",\"publicationTypes\":\"Journal Article\",\"fieldsOfStudy\":null,\"isOpenAccess\":false,\"openAccessPdf\":\"https://www.ncbi.nlm.nih.gov/pmc/articles/PMC12531315/pdf/\",\"citationCount\":\"0\",\"resultStr\":null,\"platform\":\"Semanticscholar\",\"paperid\":null,\"PeriodicalName\":\"Journal of Robotic Surgery\",\"FirstCategoryId\":\"3\",\"ListUrlMain\":\"https://doi.org/10.1007/s11701-025-02879-0\",\"RegionNum\":3,\"RegionCategory\":\"医学\",\"ArticlePicture\":[],\"TitleCN\":null,\"AbstractTextCN\":null,\"PMCID\":null,\"EPubDate\":\"\",\"PubModel\":\"\",\"JCR\":\"Q2\",\"JCRName\":\"SURGERY\",\"Score\":null,\"Total\":0}","platform":"Semanticscholar","paperid":null,"PeriodicalName":"Journal of Robotic Surgery","FirstCategoryId":"3","ListUrlMain":"https://doi.org/10.1007/s11701-025-02879-0","RegionNum":3,"RegionCategory":"医学","ArticlePicture":[],"TitleCN":null,"AbstractTextCN":null,"PMCID":null,"EPubDate":"","PubModel":"","JCR":"Q2","JCRName":"SURGERY","Score":null,"Total":0}
引用次数: 0

摘要

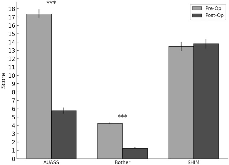
评估在单个大容量机器人中心进行机器人辅助简单前列腺切除术(RASP)伴周黏膜吻合术的男性的长期泌尿和性功能结果。分析2013年6月至2024年6月由一名外科医生使用达芬奇®Xi机器人系统进行的RASP病例。手术指征为难以治疗的下尿路症状(LUTS)和前列腺体积≥80g。术后6个月常规随访时,分别采用美国泌尿协会症状评分(AUASS)和男性性健康量表(SHIM)评估泌尿功能和性功能参数。2024年9月进行了一项统一的电话调查,通过将AUASS与失禁、勃起功能和性高潮等问题结合起来评估长期功能结果。采用Wilcoxon符号秩检验比较术前和术后IPSS和SHIM评分
本文章由计算机程序翻译,如有差异,请以英文原文为准。

Robot-assisted transvesical simple prostatectomy with circumferential mucosal anastomosis: long-term urinary and sexual function outcomes in a 292 patient cohort.

Robot-assisted transvesical simple prostatectomy with circumferential mucosal anastomosis: long-term urinary and sexual function outcomes in a 292 patient cohort.

Robot-assisted transvesical simple prostatectomy with circumferential mucosal anastomosis: long-term urinary and sexual function outcomes in a 292 patient cohort.

To assess the long-term urinary and sexual function outcomes for men undergoing robotic-assisted simple prostatectomy (RASP) with circumferential mucosal anastomosis performed at a single, high-volume robotics center. RASP cases performed by a single surgeon from June 2013 through June 2024 using the da Vinci® Xi robotic system were analyzed. Indications for surgery were bothersome lower urinary tract symptoms (LUTS) refractory to medical management and prostate volume ≥ 80 g. Urinary function and sexual function parameters were assessed by the American Urologic Association Symptoms Score (AUASS) and Sexual Health Inventory for Men (SHIM), respectively at routine 6-month postoperative visits. A uniform phone survey was conducted in September 2024, which assessed long-term functional outcomes by combining AUASS with questions on incontinence, erectile function, and orgasm. A Wilcoxon signed rank test was utilized to compare pre- and postoperative IPSS and SHIM scores with p < 0.05 considered significant. 292 patients underwent RASP during the query interval and were included in the perioperative analysis with a mean follow-up time of 22.6 months (SD ± 15.2). Mean preoperative AUASS was 17.9 (SD ± 7.9). Mean postoperative AUASS was 5.7 (SD ± 5.2); W-statistic 352.0 (p < 0.001). Bother scores preoperative mean was 4.3 (SD ± 1.5), with postoperative values of 1.1 ± 1.4; W-statistic 395.0 (p < 0.001). Sexual Health Inventory for Men (SHIM) scores demonstrated a preoperative mean of 12.8 (SD ± 8.1). Postoperatively, the SHIM mean was 12.6 (SD ± 8.5); W-statistic: 4462.0 (p = 0.57). No patients required reoperation for LUTS, although one patient underwent completion prostatectomy for malignancy identified on RASP pathology. No patients developed bladder neck contracture. Calls were placed to 288 patients (98.6% of total cohort) at a mean follow up of 66 (SD ± 34.7) months postoperatively, of which 198 (68.8%) answered and consented to survey participation. At the time of the follow-up survey, mean IPSS was 2.1 (SD ± 1.9), mean quality of life score was 0.7 (SD ± 0.8). With respect to continence, 196/198 (98.9%) patients experienced no stress incontinence. Two patients (1%) experienced urge incontinence and one patient (0.5%) utilized an incontinence pad. Regarding sexual activity, 157 (79.3%) patients were sexually active at the time of survey compared to 159 (80.3%) prior to surgery. Of those who remained sexually active, 152 (96.8%) were satisfied with postoperative orgasm, and 149 (94.9%) were satisfied with postoperative erectile function. Notably, 11 (7.0%) of men endorsed a "bothersome or distressing" orgasm change. RASP has a low complication rate, low risk of urinary incontinence, no significant impact on erectile function, and provides durable improvements in lower urinary tract symptoms. A small portion of men do experience sustained, bothersome orgasm change following RASP.

求助全文
通过发布文献求助,成功后即可免费获取论文全文。 去求助
来源期刊
CiteScore
4.20
自引率
8.70%
发文量
145
期刊介绍: The aim of the Journal of Robotic Surgery is to become the leading worldwide journal for publication of articles related to robotic surgery, encompassing surgical simulation and integrated imaging techniques. The journal provides a centralized, focused resource for physicians wishing to publish their experience or those wishing to avail themselves of the most up-to-date findings.The journal reports on advance in a wide range of surgical specialties including adult and pediatric urology, general surgery, cardiac surgery, gynecology, ENT, orthopedics and neurosurgery.The use of robotics in surgery is broad-based and will undoubtedly expand over the next decade as new technical innovations and techniques increase the applicability of its use. The journal intends to capture this trend as it develops.
×
引用
GB/T 7714-2015
复制
MLA
复制
APA
复制
导出至
BibTeX EndNote RefMan NoteFirst NoteExpress
×
提示
您的信息不完整,为了账户安全,请先补充。
现在去补充
×
提示
您因"违规操作"
具体请查看互助需知
我知道了
×
提示
确定
请完成安全验证×
copy
已复制链接
快去分享给好友吧!
我知道了
右上角分享
点击右上角分享
0
联系我们:info@booksci.cn Book学术提供免费学术资源搜索服务,方便国内外学者检索中英文文献。致力于提供最便捷和优质的服务体验。 Copyright © 2023 布克学术 All rights reserved.
京ICP备2023020795号-1
ghs 京公网安备 11010802042870号
Book学术文献互助
Book学术文献互助群
群 号:604180095
Book学术官方微信